Номер 925, страница 252 - гдз по алгебре 9 класс учебник Солтан, Солтан

Авторы: Солтан Г. Н., Солтан А. Е., Жумадилова А. Ж.
Тип: Учебник
Издательство: Кокшетау
Год издания: 2019 - 2025
Цвет обложки:
ISBN: 978-601-317-424-2
Рекомендовано Министерством образования и науки Республики Казахстан
Популярные ГДЗ в 9 классе
Уравнения, неравенства и их системы. Повторение курса алгебры 7-9 классов - номер 925, страница 252.
№925 (с. 252)
Условие. №925 (с. 252)
скриншот условия

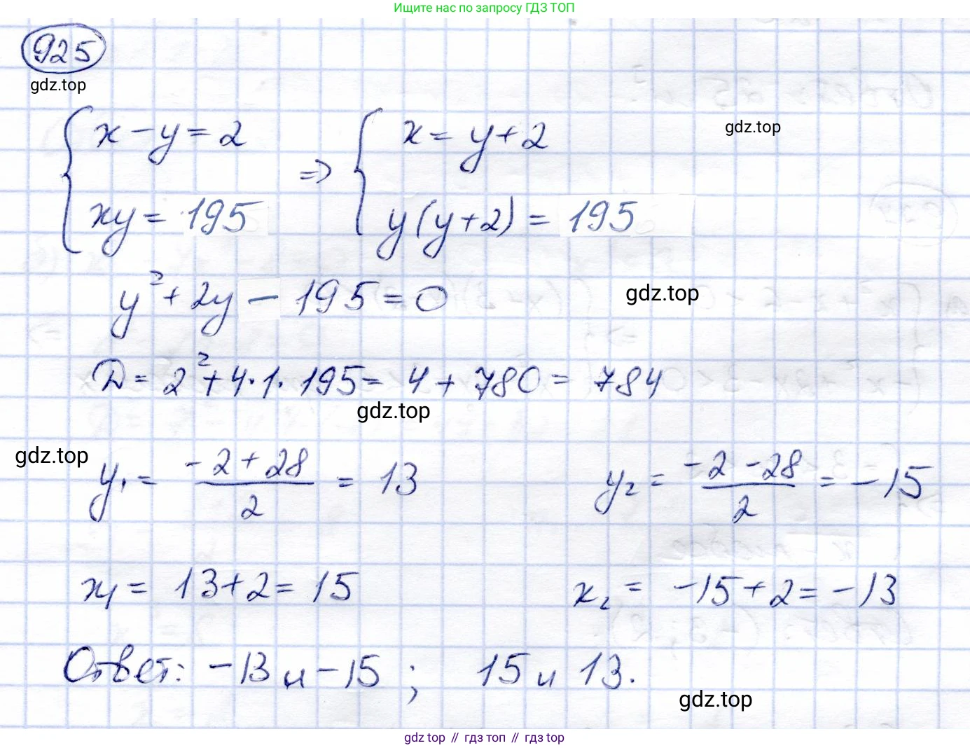
925. Найдите два числа, разность которых равна 2, а произведение –195.
Решение. №925 (с. 252)

Решение 2 (rus). №925 (с. 252)
Обозначим искомые числа как $x$ и $y$.Согласно условию задачи, мы можем составить систему из двух уравнений.
Первое условие: разность чисел равна 2. Это можно записать как:
$x - y = 2$
Второе условие: произведение чисел равно -195. Это можно записать как:
$x \cdot y = -195$
Теперь у нас есть система из двух уравнений с двумя неизвестными:
$\begin{cases} x - y = 2 \\ x \cdot y = -195 \end{cases}$
Для решения этой системы выразим переменную $x$ из первого уравнения:
$x = y + 2$
Подставим полученное выражение для $x$ во второе уравнение системы:
$(y + 2) \cdot y = -195$
Раскроем скобки и преобразуем уравнение, чтобы получить стандартное квадратное уравнение вида $ay^2 + by + c = 0$:
$y^2 + 2y = -195$
$y^2 + 2y + 195 = 0$
Чтобы найти корни этого уравнения, вычислим его дискриминант ($D$) по формуле $D = b^2 - 4ac$, где $a=1$, $b=2$, $c=195$:
$D = 2^2 - 4 \cdot 1 \cdot 195 = 4 - 780 = -776$
Так как дискриминант $D$ является отрицательным числом ($D < 0$), данное квадратное уравнение не имеет корней в множестве действительных чисел.
Следовательно, не существует двух действительных чисел, которые бы одновременно удовлетворяли заданным условиям.
Ответ: Таких действительных чисел не существует.
Другие задания:
Помогло решение? Оставьте отзыв в комментариях ниже.
Присоединяйтесь к Телеграм-группе @top_gdz
ПрисоединитьсяМы подготовили для вас ответ c подробным объяснением домашего задания по алгебре за 9 класс, для упражнения номер 925 расположенного на странице 252 к учебнику 2019 года издания для учащихся школ и гимназий.
Теперь на нашем сайте ГДЗ.ТОП вы всегда легко и бесплатно найдёте условие с правильным ответом на вопрос «Как решить ДЗ» и «Как сделать» задание по алгебре к упражнению №925 (с. 252), авторов: Солтан (Генадий Николаевич), Солтан (Алла Евгеньевна), Жумадилова (Аманбала Жумадиловна), учебного пособия издательства Кокшетау.