Номер 929, страница 253 - гдз по алгебре 9 класс учебник Солтан, Солтан

Авторы: Солтан Г. Н., Солтан А. Е., Жумадилова А. Ж.
Тип: Учебник
Издательство: Кокшетау
Год издания: 2019 - 2025
Цвет обложки:
ISBN: 978-601-317-424-2
Рекомендовано Министерством образования и науки Республики Казахстан
Популярные ГДЗ в 9 классе
Уравнения, неравенства и их системы. Повторение курса алгебры 7-9 классов - номер 929, страница 253.
№929 (с. 253)
Условие. №929 (с. 253)
скриншот условия

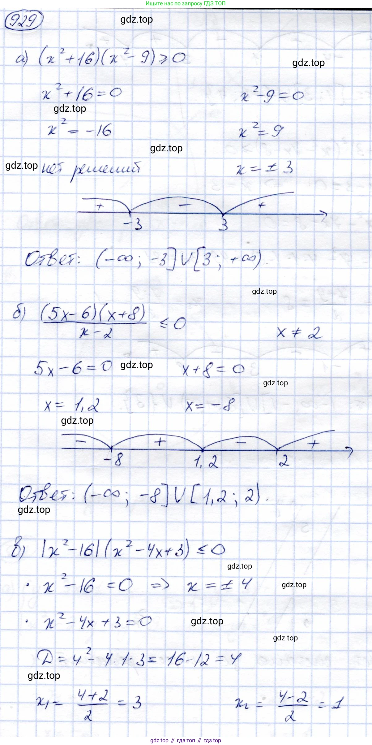
929. Решите неравенство:
a) $(x^2 + 16)(x^2 - 9) \ge 0;$
б) $\frac{(5x - 6)(x + 8)}{x - 2} \le 0;$
в) $|x^2 - 16|(x^2 - 4x + 3) \le 0;$
г) $(x - 3)^2(x^2 - 7x - 8) \ge 0.$
Решение. №929 (с. 253)


Решение 2 (rus). №929 (с. 253)
а) Рассмотрим неравенство $(x^2 + 16)(x^2 - 9) \ge 0$.
Множитель $(x^2 + 16)$ всегда положителен при любом действительном значении $x$, так как $x^2 \ge 0$ и, следовательно, $x^2 + 16 \ge 16$.
Поскольку $x^2 + 16 > 0$, мы можем разделить обе части неравенства на этот множитель, не меняя знака неравенства. Получим:
$x^2 - 9 \ge 0$
Разложим левую часть на множители по формуле разности квадратов: $a^2 - b^2 = (a - b)(a + b)$.
$(x - 3)(x + 3) \ge 0$
Корнями уравнения $(x - 3)(x + 3) = 0$ являются $x = 3$ и $x = -3$.
Эти точки разбивают числовую прямую на три интервала. Так как это парабола $y = x^2 - 9$ с ветвями, направленными вверх, она принимает неотрицательные значения на крайних интервалах, то есть когда $x$ находится левее $-3$ или правее $3$, включая сами точки.
Следовательно, решением является объединение промежутков $(-\infty, -3]$ и $[3, +\infty)$.
Ответ: $x \in (-\infty, -3] \cup [3, +\infty)$.
б) Рассмотрим неравенство $\frac{(5x - 6)(x + 8)}{x - 2} \le 0$.
Для решения используем метод интервалов. Сначала найдем точки, в которых числитель и знаменатель обращаются в ноль.
Нули числителя (эти точки включаются в решение, так как неравенство нестрогое):
$5x - 6 = 0 \implies x = \frac{6}{5} = 1.2$
$x + 8 = 0 \implies x = -8$
Нуль знаменателя (эта точка исключается из решения, так как на ноль делить нельзя):
$x - 2 = 0 \implies x = 2$
Нанесем эти точки на числовую ось: $-8$, $1.2$, $2$. Точки $-8$ и $1.2$ будут "закрашенными", а точка $2$ - "выколотой".
Определим знаки выражения на получившихся интервалах: $(-\infty, -8]$, $[-8, 1.2]$, $[1.2, 2)$, $(2, +\infty)$.
- При $x > 2$ (например, $x=3$): $\frac{(+)(+)}{(+)} > 0$
- При $1.2 < x < 2$ (например, $x=1.5$): $\frac{(+)(+)}{(-)} < 0$
- При $-8 < x < 1.2$ (например, $x=0$): $\frac{(-)(+)}{(-)} > 0$
- При $x < -8$ (например, $x=-10$): $\frac{(-)(-)}{(-)} < 0$
Нас интересуют промежутки, где выражение меньше или равно нулю ($\le 0$). Это $(-\infty, -8]$ и $[1.2, 2)$.
Ответ: $x \in (-\infty, -8] \cup [1.2, 2)$.
в) Рассмотрим неравенство $|x^2 - 16|(x^2 - 4x + 3) \le 0$.
Множитель $|x^2 - 16|$ по определению модуля всегда неотрицателен, то есть $|x^2 - 16| \ge 0$.
Произведение неотрицательного выражения на другое выражение будет меньше или равно нулю в двух случаях:
1. Когда неотрицательный множитель равен нулю. В этом случае все произведение равно нулю, что удовлетворяет знаку $\le$.
$|x^2 - 16| = 0 \implies x^2 - 16 = 0 \implies (x-4)(x+4)=0$.
Отсюда получаем два решения: $x = 4$ и $x = -4$.
2. Когда второй множитель меньше или равен нулю, а первый строго больше нуля.
$x^2 - 4x + 3 \le 0$
Найдем корни квадратного трехчлена $x^2 - 4x + 3 = 0$. По теореме Виета, корни $x_1 = 1$ и $x_2 = 3$.
Так как это парабола с ветвями вверх, она принимает неположительные значения между своими корнями (включая корни).
Таким образом, решение этого неравенства есть отрезок $[1, 3]$.
Объединяя решения из обоих случаев, получаем итоговый ответ.
Ответ: $x \in \{-4\} \cup [1, 3] \cup \{4\}$.
г) Рассмотрим неравенство $(x - 3)^2(x^2 - 7x - 8) \ge 0$.
Множитель $(x - 3)^2$ всегда неотрицателен, так как является квадратом выражения, то есть $(x - 3)^2 \ge 0$ для всех $x$.
Произведение неотрицательного выражения на другое выражение будет больше или равно нулю в двух случаях:
1. Когда неотрицательный множитель равен нулю.
$(x - 3)^2 = 0 \implies x - 3 = 0 \implies x = 3$.
При $x=3$ левая часть неравенства равна 0, что удовлетворяет знаку $\ge$, поэтому $x=3$ является решением.
2. Когда второй множитель больше или равен нулю, а первый строго больше нуля.
$x^2 - 7x - 8 \ge 0$
Найдем корни уравнения $x^2 - 7x - 8 = 0$ через дискриминант.
$D = b^2 - 4ac = (-7)^2 - 4(1)(-8) = 49 + 32 = 81 = 9^2$.
$x_{1,2} = \frac{-b \pm \sqrt{D}}{2a} = \frac{7 \pm 9}{2}$.
$x_1 = \frac{7 - 9}{2} = -1$, $x_2 = \frac{7 + 9}{2} = 8$.
Так как это парабола с ветвями вверх, она принимает неотрицательные значения на промежутках вне корней (включая корни).
Решением этого неравенства является $x \in (-\infty, -1] \cup [8, +\infty)$.
Объединяя решения из обоих случаев (промежутки и изолированную точку $x=3$), получаем итоговый ответ.
Ответ: $x \in (-\infty, -1] \cup \{3\} \cup [8, +\infty)$.
Другие задания:
Помогло решение? Оставьте отзыв в комментариях ниже.
Присоединяйтесь к Телеграм-группе @top_gdz
ПрисоединитьсяМы подготовили для вас ответ c подробным объяснением домашего задания по алгебре за 9 класс, для упражнения номер 929 расположенного на странице 253 к учебнику 2019 года издания для учащихся школ и гимназий.
Теперь на нашем сайте ГДЗ.ТОП вы всегда легко и бесплатно найдёте условие с правильным ответом на вопрос «Как решить ДЗ» и «Как сделать» задание по алгебре к упражнению №929 (с. 253), авторов: Солтан (Генадий Николаевич), Солтан (Алла Евгеньевна), Жумадилова (Аманбала Жумадиловна), учебного пособия издательства Кокшетау.