Номер 924, страница 252 - гдз по алгебре 9 класс учебник Солтан, Солтан

Авторы: Солтан Г. Н., Солтан А. Е., Жумадилова А. Ж.
Тип: Учебник
Издательство: Кокшетау
Год издания: 2019 - 2025
Цвет обложки:
ISBN: 978-601-317-424-2
Рекомендовано Министерством образования и науки Республики Казахстан
Популярные ГДЗ в 9 классе
Уравнения, неравенства и их системы. Повторение курса алгебры 7-9 классов - номер 924, страница 252.
№924 (с. 252)
Условие. №924 (с. 252)
скриншот условия

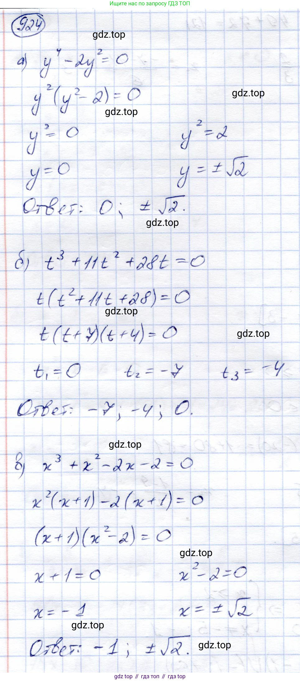
924. Найдите корни уравнения:
а) $y^4 - 2y^2 = 0;$
б) $t^3 + 11t^2 + 28t = 0;$
в) $x^3 + x^2 - 2x - 2 = 0;$
г) $k^3 + k^2 - 16k - 16 = 0.$
Решение. №924 (с. 252)


Решение 2 (rus). №924 (с. 252)
а) $y^4 - 2y^2 = 0$
Это уравнение решается вынесением общего множителя за скобки. Вынесем $y^2$:
$y^2(y^2 - 2) = 0$
Произведение равно нулю, если хотя бы один из множителей равен нулю. Отсюда получаем два уравнения:
1) $y^2 = 0$, что дает корень $y_1 = 0$.
2) $y^2 - 2 = 0$. Перенесем 2 в правую часть: $y^2 = 2$. Из этого уравнения получаем еще два корня: $y_2 = \sqrt{2}$ и $y_3 = -\sqrt{2}$.
Таким образом, у уравнения три корня.
Ответ: $-\sqrt{2}; 0; \sqrt{2}$.
б) $t^3 + 11t^2 + 28t = 0$
Вынесем общий множитель $t$ за скобки:
$t(t^2 + 11t + 28) = 0$
Это уравнение эквивалентно совокупности двух уравнений:
1) $t_1 = 0$.
2) $t^2 + 11t + 28 = 0$. Это квадратное уравнение. Решим его через дискриминант:
$D = b^2 - 4ac = 11^2 - 4 \cdot 1 \cdot 28 = 121 - 112 = 9$.
Так как $D > 0$, уравнение имеет два корня:
$t_2 = \frac{-b - \sqrt{D}}{2a} = \frac{-11 - \sqrt{9}}{2 \cdot 1} = \frac{-11 - 3}{2} = \frac{-14}{2} = -7$.
$t_3 = \frac{-b + \sqrt{D}}{2a} = \frac{-11 + \sqrt{9}}{2 \cdot 1} = \frac{-11 + 3}{2} = \frac{-8}{2} = -4$.
Уравнение имеет три корня.
Ответ: $-7; -4; 0$.
в) $x^3 + x^2 - 2x - 2 = 0$
Решим это уравнение методом группировки. Сгруппируем первые два слагаемых и последние два:
$(x^3 + x^2) + (-2x - 2) = 0$
Вынесем общие множители из каждой скобки:
$x^2(x + 1) - 2(x + 1) = 0$
Теперь вынесем общий множитель $(x+1)$ за скобки:
$(x + 1)(x^2 - 2) = 0$
Произведение равно нулю, если один из множителей равен нулю:
1) $x + 1 = 0$, откуда $x_1 = -1$.
2) $x^2 - 2 = 0$, откуда $x^2 = 2$. Получаем еще два корня: $x_2 = \sqrt{2}$ и $x_3 = -\sqrt{2}$.
Уравнение имеет три корня.
Ответ: $-\sqrt{2}; -1; \sqrt{2}$.
г) $k^3 + k^2 - 16k - 16 = 0$
Применим метод группировки слагаемых:
$(k^3 + k^2) + (-16k - 16) = 0$
Вынесем общие множители из каждой группы:
$k^2(k + 1) - 16(k + 1) = 0$
Вынесем общий множитель $(k+1)$:
$(k + 1)(k^2 - 16) = 0$
Второй множитель $k^2 - 16$ является разностью квадратов, которую можно разложить как $(k-4)(k+4)$.
$(k + 1)(k - 4)(k + 4) = 0$
Приравниваем каждый множитель к нулю, чтобы найти корни:
1) $k + 1 = 0 \implies k_1 = -1$.
2) $k - 4 = 0 \implies k_2 = 4$.
3) $k + 4 = 0 \implies k_3 = -4$.
Уравнение имеет три корня.
Ответ: $-4; -1; 4$.
Другие задания:
Помогло решение? Оставьте отзыв в комментариях ниже.
Присоединяйтесь к Телеграм-группе @top_gdz
ПрисоединитьсяМы подготовили для вас ответ c подробным объяснением домашего задания по алгебре за 9 класс, для упражнения номер 924 расположенного на странице 252 к учебнику 2019 года издания для учащихся школ и гимназий.
Теперь на нашем сайте ГДЗ.ТОП вы всегда легко и бесплатно найдёте условие с правильным ответом на вопрос «Как решить ДЗ» и «Как сделать» задание по алгебре к упражнению №924 (с. 252), авторов: Солтан (Генадий Николаевич), Солтан (Алла Евгеньевна), Жумадилова (Аманбала Жумадиловна), учебного пособия издательства Кокшетау.