Номер 919, страница 252 - гдз по алгебре 9 класс учебник Солтан, Солтан

Авторы: Солтан Г. Н., Солтан А. Е., Жумадилова А. Ж.
Тип: Учебник
Издательство: Кокшетау
Год издания: 2019 - 2025
Цвет обложки:
ISBN: 978-601-317-424-2
Рекомендовано Министерством образования и науки Республики Казахстан
Популярные ГДЗ в 9 классе
Числовые и алгебраические выражения и их преобразования. Повторение курса алгебры 7-9 классов - номер 919, страница 252.
№919 (с. 252)
Условие. №919 (с. 252)
скриншот условия

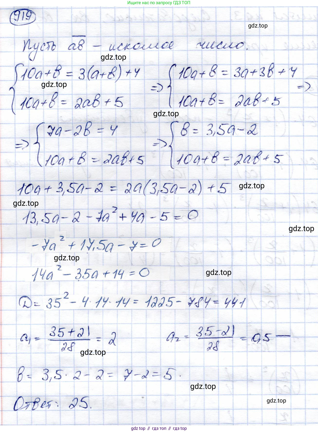
919. Если двузначное число разделить на сумму его цифр, то получится в частном 3 и в остатке 4. Если же это число разделить на произведение его цифр, то получится в частном 2 и в остатке 5. Найдите исходное число.
Решение. №919 (с. 252)

Решение 2 (rus). №919 (с. 252)
Пусть искомое двузначное число можно представить в виде $10a + b$, где $a$ — цифра десятков, а $b$ — цифра единиц. При этом $a$ является целым числом от 1 до 9, а $b$ — целым числом от 0 до 9.
Согласно первому условию, если это число разделить на сумму его цифр $(a + b)$, то получится в частном 3 и в остатке 4. Это можно записать в виде уравнения, основанного на правиле деления с остатком (Делимое = Делитель × Частное + Остаток):
$10a + b = 3(a + b) + 4$
Важным условием при делении с остатком является то, что остаток всегда меньше делителя. Следовательно, $4 < a + b$.
Согласно второму условию, если это же число разделить на произведение его цифр $(a \cdot b)$, то получится в частном 2 и в остатке 5. Запишем второе уравнение:
$10a + b = 2(a \cdot b) + 5$
Здесь также остаток должен быть меньше делителя, то есть $5 < a \cdot b$. Это означает, что ни $a$, ни $b$ не могут быть равны нулю, поэтому $b$ также является цифрой от 1 до 9.
Теперь решим полученную систему уравнений. Упростим первое уравнение:
$10a + b = 3a + 3b + 4$
$10a - 3a = 3b - b + 4$
$7a = 2b + 4$
Выразим из этого уравнения $b$ через $a$:
$2b = 7a - 4$
$b = \frac{7a - 4}{2}$
Так как $b$ должно быть целым числом, выражение $7a - 4$ должно быть четным. Это возможно только в том случае, если $7a$ является четным числом. Поскольку 7 — нечетное число, то $a$ должно быть четным. Учитывая, что $a$ — это цифра десятков ($a \in \{1, 2, ..., 9\}$), возможные значения для $a$: 2, 4, 6, 8.
Рассмотрим каждый из этих случаев:
1. Если $a = 2$, то $b = \frac{7 \cdot 2 - 4}{2} = \frac{14 - 4}{2} = \frac{10}{2} = 5$.
Получили число 25. Проверим ограничения: $a+b = 2+5=7$. $7 > 4$ (верно). $a \cdot b = 2 \cdot 5 = 10$. $10 > 5$ (верно). Эта пара цифр является потенциальным решением.
2. Если $a = 4$, то $b = \frac{7 \cdot 4 - 4}{2} = \frac{28 - 4}{2} = \frac{24}{2} = 12$.
Это значение не подходит, так как $b$ должно быть однозначной цифрой (от 0 до 9).
3. Если $a = 6$, то $b = \frac{7 \cdot 6 - 4}{2} = \frac{42 - 4}{2} = \frac{38}{2} = 19$.
Это значение также не подходит.
4. Если $a = 8$, то $b = \frac{7 \cdot 8 - 4}{2} = \frac{56 - 4}{2} = \frac{52}{2} = 26$.
И это значение не подходит.
Таким образом, из первого условия мы нашли единственную возможную пару цифр: $a=2$ и $b=5$. Искомое число — 25.
Проверим, удовлетворяет ли число 25 обоим условиям задачи.
1. Деление на сумму цифр ($2+5=7$):
$25 \div 7 = 3$ (остаток $4$). ($25 = 7 \cdot 3 + 4$). Условие выполняется.
2. Деление на произведение цифр ($2 \cdot 5=10$):
$25 \div 10 = 2$ (остаток $5$). ($25 = 10 \cdot 2 + 5$). Условие также выполняется.
Оба условия выполнены, следовательно, искомое число найдено верно.
Ответ: 25
Другие задания:
Помогло решение? Оставьте отзыв в комментариях ниже.
Присоединяйтесь к Телеграм-группе @top_gdz
ПрисоединитьсяМы подготовили для вас ответ c подробным объяснением домашего задания по алгебре за 9 класс, для упражнения номер 919 расположенного на странице 252 к учебнику 2019 года издания для учащихся школ и гимназий.
Теперь на нашем сайте ГДЗ.ТОП вы всегда легко и бесплатно найдёте условие с правильным ответом на вопрос «Как решить ДЗ» и «Как сделать» задание по алгебре к упражнению №919 (с. 252), авторов: Солтан (Генадий Николаевич), Солтан (Алла Евгеньевна), Жумадилова (Аманбала Жумадиловна), учебного пособия издательства Кокшетау.