Номер 291, страница 85 - гдз по алгебре 9 класс учебник Макарычев, Миндюк

Авторы: Макарычев Ю. Н., Миндюк Н. Г., Нешков К. И., Суворова С. Б.
Тип: Учебник
Издательство: Просвещение
Год издания: 2014 - 2024
Цвет обложки:
ISBN: 978-5-09-0779-15
Допущено Министерством просвещения Российской Федерации
Популярные ГДЗ в 9 классе
13. Дробные рациональные уравнения. § 5. Уравнения с одной переменной. Глава 2. Уравнения и неравенства с одной переменной - номер 291, страница 85.
№291 (с. 85)
Условие. №291 (с. 85)
скриншот условия

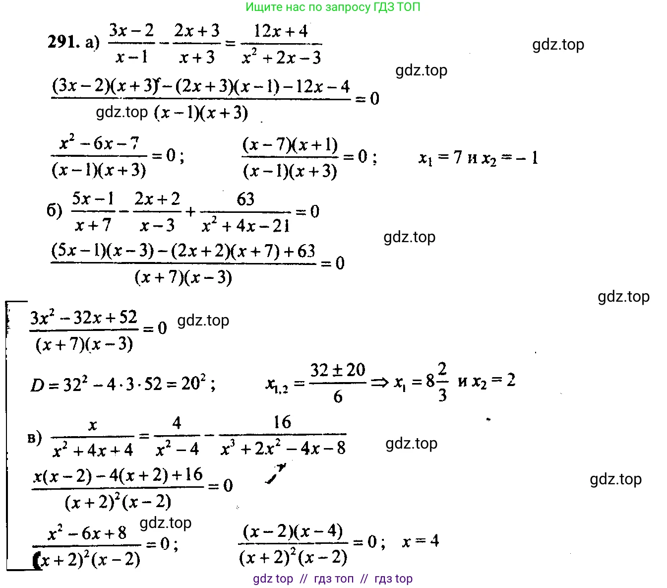
291. Найдите корни уравнения:
а) $ \frac{3x - 2}{x - 1} - \frac{2x + 3}{x + 3} = \frac{12x + 4}{x^2 + 2x - 3}; $
б) $ \frac{5x - 1}{x + 7} - \frac{2x + 2}{x - 3} + \frac{63}{x^2 + 4x - 21} = 0; $
В) $ \frac{x}{x^2 + 4x + 4} = \frac{4}{x^2 - 4} - \frac{16}{x^3 + 2x^2 - 4x - 8}. $
Решение 1. №291 (с. 85)



Решение 2. №291 (с. 85)


Решение 3. №291 (с. 85)

Решение 4. №291 (с. 85)

Решение 5. №291 (с. 85)

Решение 7. №291 (с. 85)

Решение 8. №291 (с. 85)
а)
Исходное уравнение: $ \frac{3x - 2}{x - 1} - \frac{2x + 3}{x + 3} = \frac{12x + 4}{x^2 + 2x - 3} $
1. Найдем область допустимых значений (ОДЗ). Знаменатели не могут быть равны нулю.
$x - 1 \neq 0 \implies x \neq 1$
$x + 3 \neq 0 \implies x \neq -3$
Разложим на множители знаменатель в правой части: $x^2 + 2x - 3$. Корни этого квадратного трехчлена $x_1 = 1$ и $x_2 = -3$. Таким образом, $x^2 + 2x - 3 = (x - 1)(x + 3)$. Ограничения на ОДЗ те же: $x \neq 1$ и $x \neq -3$.
2. Приведем все дроби к общему знаменателю $(x - 1)(x + 3)$ и умножим обе части уравнения на него, чтобы избавиться от дробей:
$(3x - 2)(x + 3) - (2x + 3)(x - 1) = 12x + 4$
3. Раскроем скобки и упростим выражение:
$(3x^2 + 9x - 2x - 6) - (2x^2 - 2x + 3x - 3) = 12x + 4$
$(3x^2 + 7x - 6) - (2x^2 + x - 3) = 12x + 4$
$3x^2 + 7x - 6 - 2x^2 - x + 3 = 12x + 4$
$x^2 + 6x - 3 = 12x + 4$
4. Перенесем все члены в левую часть, чтобы получить квадратное уравнение:
$x^2 + 6x - 12x - 3 - 4 = 0$
$x^2 - 6x - 7 = 0$
5. Решим квадратное уравнение. По теореме Виета, сумма корней равна 6, а их произведение равно -7. Легко подобрать корни:
$x_1 = 7$, $x_2 = -1$
6. Проверим, удовлетворяют ли найденные корни ОДЗ ($x \neq 1$ и $x \neq -3$). Оба корня, 7 и -1, входят в ОДЗ.
Ответ: -1; 7.
б)
Исходное уравнение: $ \frac{5x - 1}{x + 7} - \frac{2x + 2}{x - 3} + \frac{63}{x^2 + 4x - 21} = 0 $
1. Найдем ОДЗ:
$x + 7 \neq 0 \implies x \neq -7$
$x - 3 \neq 0 \implies x \neq 3$
Разложим на множители знаменатель третьей дроби: $x^2 + 4x - 21$. Корни: $x_1 = 3$ и $x_2 = -7$. Значит, $x^2 + 4x - 21 = (x - 3)(x + 7)$. Ограничения те же: $x \neq 3$ и $x \neq -7$.
2. Общий знаменатель — $(x + 7)(x - 3)$. Умножим уравнение на него:
$(5x - 1)(x - 3) - (2x + 2)(x + 7) + 63 = 0$
3. Раскроем скобки и упростим:
$(5x^2 - 15x - x + 3) - (2x^2 + 14x + 2x + 14) + 63 = 0$
$(5x^2 - 16x + 3) - (2x^2 + 16x + 14) + 63 = 0$
$5x^2 - 16x + 3 - 2x^2 - 16x - 14 + 63 = 0$
$3x^2 - 32x + 52 = 0$
4. Решим полученное квадратное уравнение через дискриминант $D = b^2 - 4ac$:
$D = (-32)^2 - 4 \cdot 3 \cdot 52 = 1024 - 624 = 400 = 20^2$
Найдем корни:
$x_1 = \frac{-b + \sqrt{D}}{2a} = \frac{32 + 20}{2 \cdot 3} = \frac{52}{6} = \frac{26}{3} = 8\frac{2}{3}$
$x_2 = \frac{-b - \sqrt{D}}{2a} = \frac{32 - 20}{2 \cdot 3} = \frac{12}{6} = 2$
5. Проверим корни на соответствие ОДЗ ($x \neq 3$ и $x \neq -7$). Оба корня, $8\frac{2}{3}$ и 2, удовлетворяют условиям.
Ответ: 2; $8\frac{2}{3}$.
в)
Исходное уравнение: $ \frac{x}{x^2 + 4x + 4} = \frac{4}{x^2 - 4} - \frac{16}{x^3 + 2x^2 - 4x - 8} $
1. Разложим знаменатели на множители, чтобы найти ОДЗ и общий знаменатель:
$x^2 + 4x + 4 = (x + 2)^2$
$x^2 - 4 = (x - 2)(x + 2)$
$x^3 + 2x^2 - 4x - 8 = x^2(x + 2) - 4(x + 2) = (x^2 - 4)(x + 2) = (x - 2)(x + 2)(x + 2) = (x - 2)(x + 2)^2$
ОДЗ: знаменатели не равны нулю, значит, $x \neq 2$ и $x \neq -2$.
2. Перепишем уравнение с разложенными знаменателями:
$ \frac{x}{(x + 2)^2} = \frac{4}{(x - 2)(x + 2)} - \frac{16}{(x - 2)(x + 2)^2} $
3. Общий знаменатель — $(x - 2)(x + 2)^2$. Умножим обе части уравнения на него:
$x(x - 2) = 4(x + 2) - 16$
4. Раскроем скобки и решим полученное уравнение:
$x^2 - 2x = 4x + 8 - 16$
$x^2 - 2x = 4x - 8$
$x^2 - 2x - 4x + 8 = 0$
$x^2 - 6x + 8 = 0$
5. Решим квадратное уравнение. По теореме Виета, сумма корней равна 6, произведение равно 8.
$x_1 = 4$, $x_2 = 2$
6. Проверим корни на соответствие ОДЗ ($x \neq 2$ и $x \neq -2$).
Корень $x_1 = 4$ удовлетворяет ОДЗ.
Корень $x_2 = 2$ не удовлетворяет ОДЗ, так как при $x=2$ знаменатели обращаются в ноль. Это посторонний корень.
Таким образом, у уравнения только один корень.
Ответ: 4.
Другие задания:
Помогло решение? Оставьте отзыв в комментариях ниже.
Мы подготовили для вас ответ c подробным объяснением домашего задания по алгебре за 9 класс, для упражнения номер 291 расположенного на странице 85 к учебнику 2014 - 2024 года издания для учащихся школ и гимназий.
Теперь на нашем сайте ГДЗ.ТОП вы всегда легко и бесплатно найдёте условие с правильным ответом на вопрос «Как решить ДЗ» и «Как сделать» задание по алгебре к упражнению №291 (с. 85), авторов: Макарычев (Юрий Николаевич), Миндюк (Нора Григорьевна), Нешков (Константин Иванович), Суворова (Светлана Борисовна), ФГОС (старый) учебного пособия издательства Просвещение.