Номер 78, страница 29 - гдз по алгебре 9 класс учебник Макарычев, Миндюк

Авторы: Макарычев Ю. Н., Миндюк Н. Г., Нешков К. И., Суворова С. Б.
Тип: Учебник
Издательство: Просвещение
Год издания: 2014 - 2024
Цвет обложки:
ISBN: 978-5-09-0779-15
Допущено Министерством просвещения Российской Федерации
Популярные ГДЗ в 9 классе
4. Разложение квадратного трёхчлена на множители. § 2. Квадратный трёхчлен. Глава 1. Квадратичная функция - номер 78, страница 29.
№78 (с. 29)
Условие. №78 (с. 29)
скриншот условия

78. Разложите на множители квадратный трёхчлен:
а) $2x^2 + 12x - 14;$
б) $-m^2 + 5m - 6;$
в) $3x^2 + 5x - 2;$
г) $6x^2 - 13x + 6.$
Решение 1. №78 (с. 29)




Решение 2. №78 (с. 29)

Решение 3. №78 (с. 29)

Решение 4. №78 (с. 29)

Решение 5. №78 (с. 29)

Решение 7. №78 (с. 29)

Решение 8. №78 (с. 29)
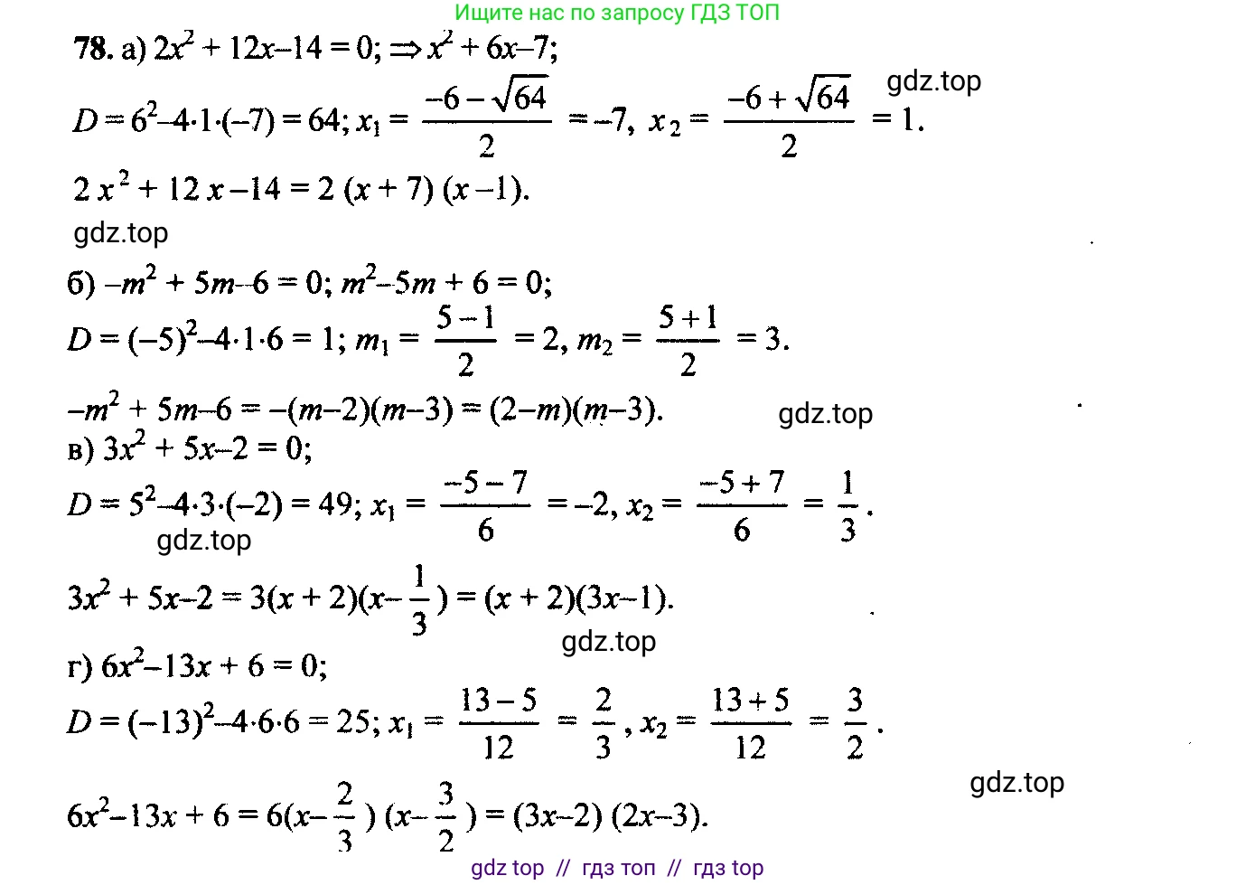
а) $2x^2 + 12x - 14$
Для разложения квадратного трехчлена $ax^2 + bx + c$ на множители используется формула $a(x-x_1)(x-x_2)$, где $x_1$ и $x_2$ – корни соответствующего квадратного уравнения $ax^2 + bx + c = 0$.
Сначала вынесем общий множитель 2 за скобки:
$2x^2 + 12x - 14 = 2(x^2 + 6x - 7)$.
Теперь найдем корни квадратного уравнения $x^2 + 6x - 7 = 0$.
Найдем дискриминант: $D = b^2 - 4ac = 6^2 - 4 \cdot 1 \cdot (-7) = 36 + 28 = 64$.
Корни уравнения:
$x_1 = \frac{-b - \sqrt{D}}{2a} = \frac{-6 - \sqrt{64}}{2 \cdot 1} = \frac{-6 - 8}{2} = \frac{-14}{2} = -7$.
$x_2 = \frac{-b + \sqrt{D}}{2a} = \frac{-6 + \sqrt{64}}{2 \cdot 1} = \frac{-6 + 8}{2} = \frac{2}{2} = 1$.
Подставим корни в формулу разложения $a(x-x_1)(x-x_2)$ для трехчлена $x^2 + 6x - 7$ (здесь $a=1$):
$x^2 + 6x - 7 = (x - (-7))(x - 1) = (x+7)(x-1)$.
Вернемся к исходному выражению с учетом вынесенного множителя 2:
$2(x+7)(x-1)$.
Ответ: $2(x+7)(x-1)$.
б) $-m^2 + 5m - 6$
Вынесем -1 за скобки, чтобы коэффициент при $m^2$ стал положительным:
$-m^2 + 5m - 6 = -(m^2 - 5m + 6)$.
Найдем корни квадратного уравнения $m^2 - 5m + 6 = 0$.
Найдем дискриминант: $D = b^2 - 4ac = (-5)^2 - 4 \cdot 1 \cdot 6 = 25 - 24 = 1$.
Корни уравнения:
$m_1 = \frac{-b - \sqrt{D}}{2a} = \frac{-(-5) - \sqrt{1}}{2 \cdot 1} = \frac{5 - 1}{2} = \frac{4}{2} = 2$.
$m_2 = \frac{-b + \sqrt{D}}{2a} = \frac{-(-5) + \sqrt{1}}{2 \cdot 1} = \frac{5 + 1}{2} = \frac{6}{2} = 3$.
Подставим корни в формулу разложения $(m-m_1)(m-m_2)$:
$m^2 - 5m + 6 = (m - 2)(m - 3)$.
Вернемся к исходному выражению с учетом вынесенного множителя -1:
$-(m - 2)(m - 3)$.
Ответ: $-(m - 2)(m - 3)$.
в) $3x^2 + 5x - 2$
Найдем корни квадратного уравнения $3x^2 + 5x - 2 = 0$.
Найдем дискриминант: $D = b^2 - 4ac = 5^2 - 4 \cdot 3 \cdot (-2) = 25 + 24 = 49$.
Корни уравнения:
$x_1 = \frac{-b - \sqrt{D}}{2a} = \frac{-5 - \sqrt{49}}{2 \cdot 3} = \frac{-5 - 7}{6} = \frac{-12}{6} = -2$.
$x_2 = \frac{-b + \sqrt{D}}{2a} = \frac{-5 + \sqrt{49}}{2 \cdot 3} = \frac{-5 + 7}{6} = \frac{2}{6} = \frac{1}{3}$.
Подставим корни в формулу разложения $a(x-x_1)(x-x_2)$:
$3(x - (-2))(x - \frac{1}{3}) = 3(x+2)(x - \frac{1}{3})$.
Чтобы избавиться от дроби, умножим множитель 3 на вторую скобку:
$(x+2) \cdot 3(x - \frac{1}{3}) = (x+2)(3x - 1)$.
Ответ: $(x+2)(3x - 1)$.
г) $6x^2 - 13x + 6$
Найдем корни квадратного уравнения $6x^2 - 13x + 6 = 0$.
Найдем дискриминант: $D = b^2 - 4ac = (-13)^2 - 4 \cdot 6 \cdot 6 = 169 - 144 = 25$.
Корни уравнения:
$x_1 = \frac{-b - \sqrt{D}}{2a} = \frac{-(-13) - \sqrt{25}}{2 \cdot 6} = \frac{13 - 5}{12} = \frac{8}{12} = \frac{2}{3}$.
$x_2 = \frac{-b + \sqrt{D}}{2a} = \frac{-(-13) + \sqrt{25}}{2 \cdot 6} = \frac{13 + 5}{12} = \frac{18}{12} = \frac{3}{2}$.
Подставим корни в формулу разложения $a(x-x_1)(x-x_2)$:
$6(x - \frac{2}{3})(x - \frac{3}{2})$.
Чтобы избавиться от дробей, представим множитель 6 как $3 \cdot 2$ и распределим множители по скобкам:
$3 \cdot (x - \frac{2}{3}) \cdot 2 \cdot (x - \frac{3}{2}) = (3x - 2)(2x - 3)$.
Ответ: $(3x-2)(2x-3)$.
Другие задания:
Помогло решение? Оставьте отзыв в комментариях ниже.
Мы подготовили для вас ответ c подробным объяснением домашего задания по алгебре за 9 класс, для упражнения номер 78 расположенного на странице 29 к учебнику 2014 - 2024 года издания для учащихся школ и гимназий.
Теперь на нашем сайте ГДЗ.ТОП вы всегда легко и бесплатно найдёте условие с правильным ответом на вопрос «Как решить ДЗ» и «Как сделать» задание по алгебре к упражнению №78 (с. 29), авторов: Макарычев (Юрий Николаевич), Миндюк (Нора Григорьевна), Нешков (Константин Иванович), Суворова (Светлана Борисовна), ФГОС (старый) учебного пособия издательства Просвещение.