Номер 76, страница 29 - гдз по алгебре 9 класс учебник Макарычев, Миндюк

Авторы: Макарычев Ю. Н., Миндюк Н. Г., Нешков К. И., Суворова С. Б.
Тип: Учебник
Издательство: Просвещение
Год издания: 2014 - 2024
Цвет обложки:
ISBN: 978-5-09-0779-15
Допущено Министерством просвещения Российской Федерации
Популярные ГДЗ в 9 классе
4. Разложение квадратного трёхчлена на множители. § 2. Квадратный трёхчлен. Глава 1. Квадратичная функция - номер 76, страница 29.
№76 (с. 29)
Условие. №76 (с. 29)
скриншот условия

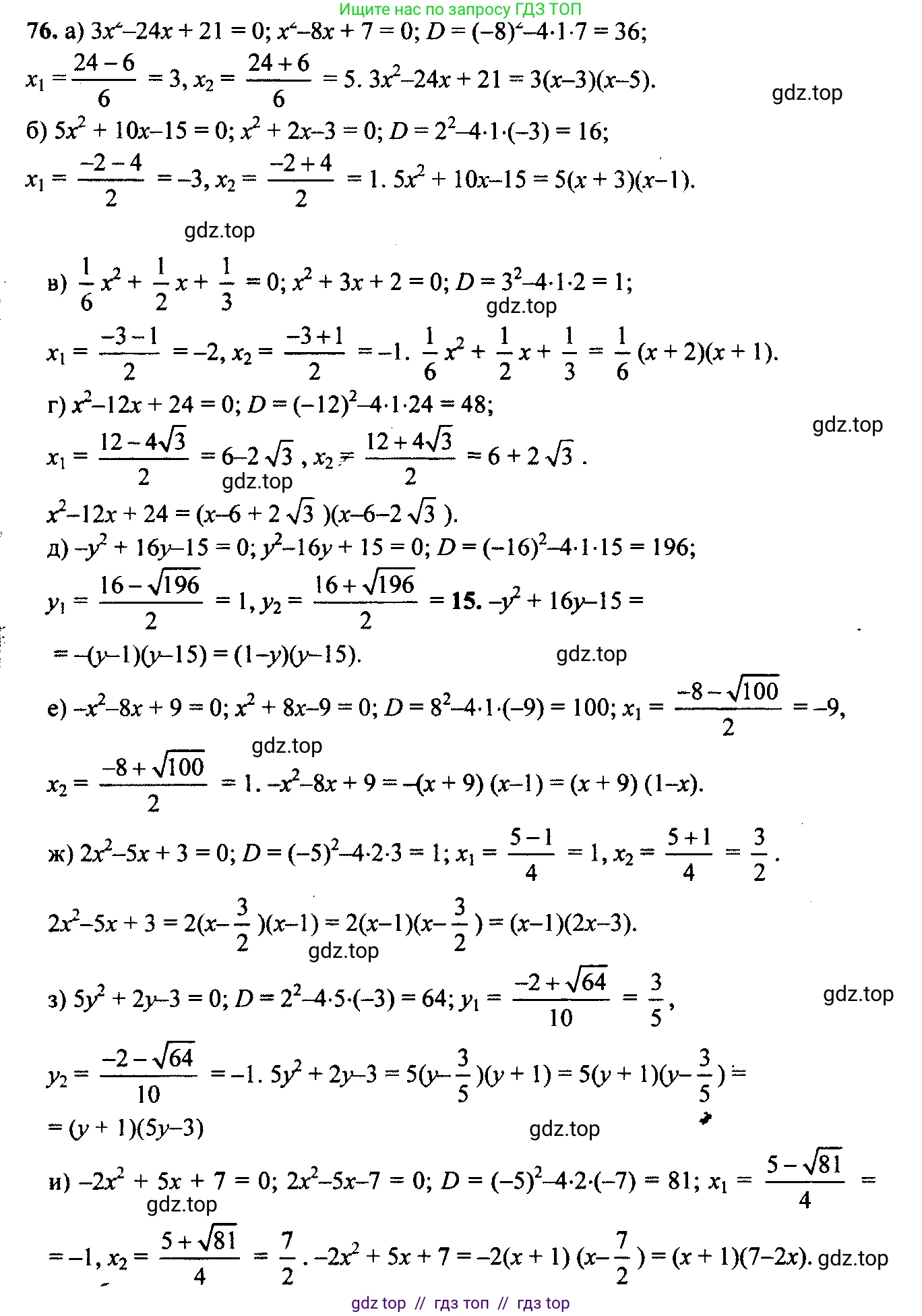
76. Разложите на множители квадратный трёхчлен:
а) $3x^2 - 24x + 21$;
б) $5x^2 + 10x - 15$;
в) $\frac{1}{6}x^2 + \frac{1}{2}x + \frac{1}{3}$;
г) $x^2 - 12x + 20$;
д) $-y^2 + 16y - 15$;
е) $-x^2 - 8x + 9$;
ж) $2x^2 - 5x + 3$;
з) $5y^2 + 2y - 3$;
и) $-2x^2 + 5x + 7$.
Решение 1. №76 (с. 29)









Решение 2. №76 (с. 29)



Решение 3. №76 (с. 29)

Решение 4. №76 (с. 29)

Решение 5. №76 (с. 29)

Решение 7. №76 (с. 29)

Решение 8. №76 (с. 29)
а) Для разложения квадратного трехчлена $3x^2 - 24x + 21$ на множители, воспользуемся формулой $ax^2 + bx + c = a(x - x_1)(x - x_2)$, где $x_1$ и $x_2$ — корни уравнения $3x^2 - 24x + 21 = 0$.
Разделим уравнение на 3 для упрощения: $x^2 - 8x + 7 = 0$.
Найдем дискриминант: $D = b^2 - 4ac = (-8)^2 - 4 \cdot 1 \cdot 7 = 64 - 28 = 36$.
Найдем корни: $x_1 = \frac{-b + \sqrt{D}}{2a} = \frac{8 + \sqrt{36}}{2} = \frac{8 + 6}{2} = 7$; $x_2 = \frac{-b - \sqrt{D}}{2a} = \frac{8 - \sqrt{36}}{2} = \frac{8 - 6}{2} = 1$.
Подставим корни в формулу разложения, учитывая, что $a=3$ из исходного трехчлена:
$3x^2 - 24x + 21 = 3(x - 7)(x - 1)$.
Ответ: $3(x - 7)(x - 1)$.
б) Для разложения $5x^2 + 10x - 15$, найдем корни уравнения $5x^2 + 10x - 15 = 0$.
Разделим уравнение на 5: $x^2 + 2x - 3 = 0$.
Дискриминант: $D = b^2 - 4ac = 2^2 - 4 \cdot 1 \cdot (-3) = 4 + 12 = 16$.
Корни: $x_1 = \frac{-b + \sqrt{D}}{2a} = \frac{-2 + \sqrt{16}}{2} = \frac{-2 + 4}{2} = 1$; $x_2 = \frac{-b - \sqrt{D}}{2a} = \frac{-2 - \sqrt{16}}{2} = \frac{-2 - 4}{2} = -3$.
Подставляем в формулу $a(x - x_1)(x - x_2)$ с $a=5$:
$5x^2 + 10x - 15 = 5(x - 1)(x - (-3)) = 5(x - 1)(x + 3)$.
Ответ: $5(x - 1)(x + 3)$.
в) Для разложения $\frac{1}{6}x^2 + \frac{1}{2}x + \frac{1}{3}$, найдем корни уравнения $\frac{1}{6}x^2 + \frac{1}{2}x + \frac{1}{3} = 0$.
Умножим уравнение на 6, чтобы избавиться от дробей: $x^2 + 3x + 2 = 0$.
Дискриминант: $D = b^2 - 4ac = 3^2 - 4 \cdot 1 \cdot 2 = 9 - 8 = 1$.
Корни: $x_1 = \frac{-b + \sqrt{D}}{2a} = \frac{-3 + \sqrt{1}}{2} = \frac{-2}{2} = -1$; $x_2 = \frac{-b - \sqrt{D}}{2a} = \frac{-3 - \sqrt{1}}{2} = \frac{-4}{2} = -2$.
Подставляем в формулу $a(x - x_1)(x - x_2)$ с $a=\frac{1}{6}$:
$\frac{1}{6}x^2 + \frac{1}{2}x + \frac{1}{3} = \frac{1}{6}(x - (-1))(x - (-2)) = \frac{1}{6}(x + 1)(x + 2)$.
Ответ: $\frac{1}{6}(x + 1)(x + 2)$.
г) Для разложения $x^2 - 12x + 20$, найдем корни уравнения $x^2 - 12x + 20 = 0$.
Это приведенное квадратное уравнение, воспользуемся теоремой Виета: $x_1 + x_2 = 12$, $x_1 \cdot x_2 = 20$.
Подбором находим корни: $x_1 = 10$, $x_2 = 2$.
Подставляем в формулу $a(x - x_1)(x - x_2)$ с $a=1$:
$x^2 - 12x + 20 = 1(x - 10)(x - 2) = (x - 10)(x - 2)$.
Ответ: $(x - 10)(x - 2)$.
д) Для разложения $-y^2 + 16y - 15$, найдем корни уравнения $-y^2 + 16y - 15 = 0$.
Умножим уравнение на -1: $y^2 - 16y + 15 = 0$.
По теореме Виета: $y_1 + y_2 = 16$, $y_1 \cdot y_2 = 15$. Корни: $y_1 = 15$, $y_2 = 1$.
Подставляем в формулу $a(y - y_1)(y - y_2)$ с $a=-1$ (из исходного трехчлена):
$-y^2 + 16y - 15 = -1(y - 15)(y - 1) = -(y - 15)(y - 1)$.
Ответ: $-(y - 15)(y - 1)$.
е) Для разложения $-x^2 - 8x + 9$, найдем корни уравнения $-x^2 - 8x + 9 = 0$.
Умножим на -1: $x^2 + 8x - 9 = 0$.
По теореме Виета: $x_1 + x_2 = -8$, $x_1 \cdot x_2 = -9$. Корни: $x_1 = 1$, $x_2 = -9$.
Подставляем в формулу $a(x - x_1)(x - x_2)$ с $a=-1$:
$-x^2 - 8x + 9 = -1(x - 1)(x - (-9)) = -(x - 1)(x + 9)$.
Ответ: $-(x - 1)(x + 9)$.
ж) Для разложения $2x^2 - 5x + 3$, найдем корни уравнения $2x^2 - 5x + 3 = 0$.
Дискриминант: $D = b^2 - 4ac = (-5)^2 - 4 \cdot 2 \cdot 3 = 25 - 24 = 1$.
Корни: $x_1 = \frac{-b + \sqrt{D}}{2a} = \frac{5 + \sqrt{1}}{4} = \frac{6}{4} = \frac{3}{2}$; $x_2 = \frac{-b - \sqrt{D}}{2a} = \frac{5 - \sqrt{1}}{4} = \frac{4}{4} = 1$.
Подставляем в формулу $a(x - x_1)(x - x_2)$ с $a=2$:
$2x^2 - 5x + 3 = 2(x - \frac{3}{2})(x - 1)$.
Внесем множитель 2 в первую скобку: $(2x - 3)(x - 1)$.
Ответ: $(2x - 3)(x - 1)$.
з) Для разложения $5y^2 + 2y - 3$, найдем корни уравнения $5y^2 + 2y - 3 = 0$.
Дискриминант: $D = b^2 - 4ac = 2^2 - 4 \cdot 5 \cdot (-3) = 4 + 60 = 64$.
Корни: $y_1 = \frac{-b + \sqrt{D}}{2a} = \frac{-2 + \sqrt{64}}{10} = \frac{6}{10} = \frac{3}{5}$; $y_2 = \frac{-b - \sqrt{D}}{2a} = \frac{-2 - \sqrt{64}}{10} = \frac{-10}{10} = -1$.
Подставляем в формулу $a(y - y_1)(y - y_2)$ с $a=5$:
$5y^2 + 2y - 3 = 5(y - \frac{3}{5})(y - (-1)) = 5(y - \frac{3}{5})(y + 1)$.
Внесем множитель 5 в первую скобку: $(5y - 3)(y + 1)$.
Ответ: $(5y - 3)(y + 1)$.
и) Для разложения $-2x^2 + 5x + 7$, найдем корни уравнения $-2x^2 + 5x + 7 = 0$.
Дискриминант: $D = b^2 - 4ac = 5^2 - 4 \cdot (-2) \cdot 7 = 25 + 56 = 81$.
Корни: $x_1 = \frac{-b + \sqrt{D}}{2a} = \frac{-5 + \sqrt{81}}{-4} = \frac{4}{-4} = -1$; $x_2 = \frac{-b - \sqrt{D}}{2a} = \frac{-5 - \sqrt{81}}{-4} = \frac{-14}{-4} = \frac{7}{2}$.
Подставляем в формулу $a(x - x_1)(x - x_2)$ с $a=-2$:
$-2x^2 + 5x + 7 = -2(x - (-1))(x - \frac{7}{2}) = -2(x + 1)(x - \frac{7}{2})$.
Внесем множитель -2 во вторую скобку: $(x + 1)(-2x + 7) = (x + 1)(7 - 2x)$.
Ответ: $(x + 1)(7 - 2x)$.
Другие задания:
Помогло решение? Оставьте отзыв в комментариях ниже.
Мы подготовили для вас ответ c подробным объяснением домашего задания по алгебре за 9 класс, для упражнения номер 76 расположенного на странице 29 к учебнику 2014 - 2024 года издания для учащихся школ и гимназий.
Теперь на нашем сайте ГДЗ.ТОП вы всегда легко и бесплатно найдёте условие с правильным ответом на вопрос «Как решить ДЗ» и «Как сделать» задание по алгебре к упражнению №76 (с. 29), авторов: Макарычев (Юрий Николаевич), Миндюк (Нора Григорьевна), Нешков (Константин Иванович), Суворова (Светлана Борисовна), ФГОС (старый) учебного пособия издательства Просвещение.