Номер 83, страница 30 - гдз по алгебре 9 класс учебник Макарычев, Миндюк

Авторы: Макарычев Ю. Н., Миндюк Н. Г., Нешков К. И., Суворова С. Б.
Тип: Учебник
Издательство: Просвещение
Год издания: 2014 - 2024
Цвет обложки:
ISBN: 978-5-09-0779-15
Допущено Министерством просвещения Российской Федерации
Популярные ГДЗ в 9 классе
4. Разложение квадратного трёхчлена на множители. § 2. Квадратный трёхчлен. Глава 1. Квадратичная функция - номер 83, страница 30.
№83 (с. 30)
Условие. №83 (с. 30)
скриншот условия

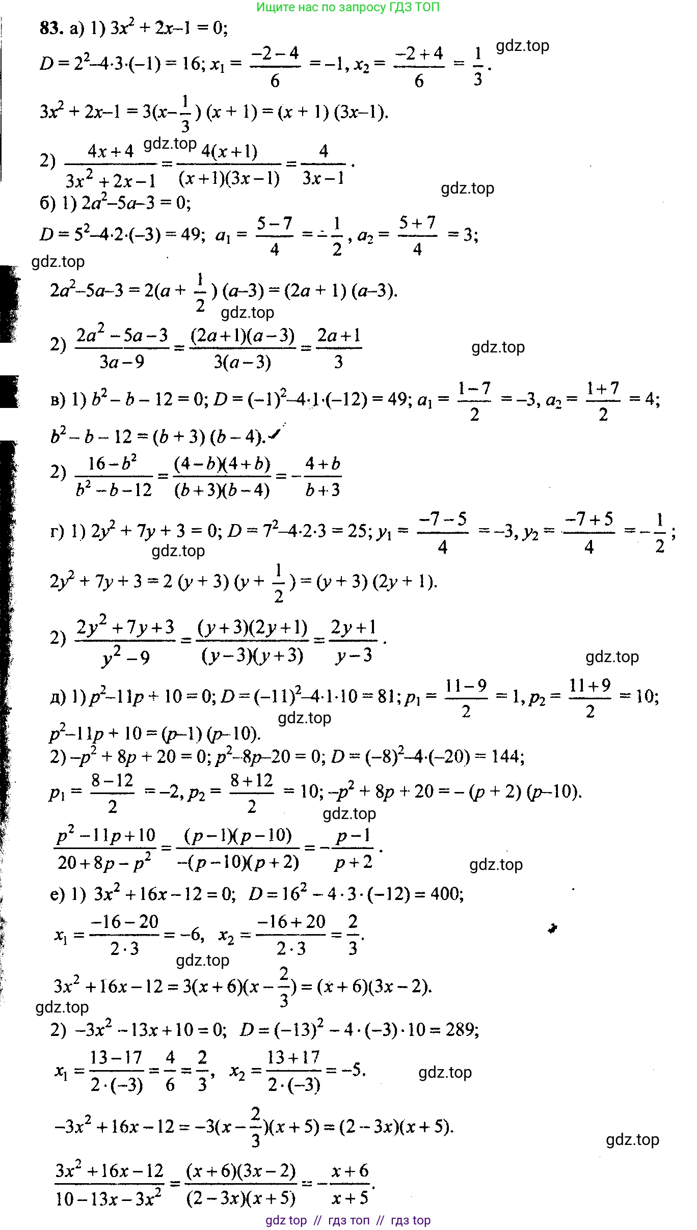
83. Сократите дробь:
а) $ \frac{4x+4}{3x^2+2x-1}; $
б) $ \frac{2a^2-5a-3}{3a-9}; $
в) $ \frac{16-b^2}{b^2-b-12}; $
г) $ \frac{2y^2+7y+3}{y^2-9}; $
д) $ \frac{p^2-11p+10}{20+8p-p^2}; $
е) $ \frac{3x^2+16x-12}{10-13x-3x^2}. $
Решение 1. №83 (с. 30)






Решение 2. №83 (с. 30)




Решение 3. №83 (с. 30)

Решение 4. №83 (с. 30)

Решение 5. №83 (с. 30)

Решение 7. №83 (с. 30)

Решение 8. №83 (с. 30)
а)
Чтобы сократить дробь $\frac{4x + 4}{3x^2 + 2x - 1}$, нужно разложить на множители числитель и знаменатель.
1. Разложим числитель: $4x + 4 = 4(x + 1)$.
2. Разложим знаменатель $3x^2 + 2x - 1$. Для этого найдем корни квадратного уравнения $3x^2 + 2x - 1 = 0$.
Дискриминант: $D = b^2 - 4ac = 2^2 - 4 \cdot 3 \cdot (-1) = 4 + 12 = 16$.
Корни уравнения: $x_1 = \frac{-2 + \sqrt{16}}{2 \cdot 3} = \frac{-2 + 4}{6} = \frac{2}{6} = \frac{1}{3}$; $x_2 = \frac{-2 - \sqrt{16}}{2 \cdot 3} = \frac{-2 - 4}{6} = \frac{-6}{6} = -1$.
Теперь разложим квадратный трехчлен на множители по формуле $a(x - x_1)(x - x_2)$:
$3x^2 + 2x - 1 = 3(x - \frac{1}{3})(x - (-1)) = (3x - 1)(x + 1)$.
3. Подставим разложенные выражения в дробь и сократим:
$\frac{4(x + 1)}{(3x - 1)(x + 1)} = \frac{4}{3x - 1}$.
Ответ: $\frac{4}{3x - 1}$
б)
Чтобы сократить дробь $\frac{2a^2 - 5a - 3}{3a - 9}$, разложим на множители числитель и знаменатель.
1. Разложим числитель $2a^2 - 5a - 3$. Найдем корни уравнения $2a^2 - 5a - 3 = 0$.
$D = (-5)^2 - 4 \cdot 2 \cdot (-3) = 25 + 24 = 49$.
$a_1 = \frac{5 + \sqrt{49}}{2 \cdot 2} = \frac{5 + 7}{4} = \frac{12}{4} = 3$; $a_2 = \frac{5 - \sqrt{49}}{2 \cdot 2} = \frac{5 - 7}{4} = \frac{-2}{4} = -\frac{1}{2}$.
Разложим на множители: $2a^2 - 5a - 3 = 2(a - 3)(a + \frac{1}{2}) = (a - 3)(2a + 1)$.
2. Разложим знаменатель: $3a - 9 = 3(a - 3)$.
3. Сократим дробь:
$\frac{(a - 3)(2a + 1)}{3(a - 3)} = \frac{2a + 1}{3}$.
Ответ: $\frac{2a + 1}{3}$
в)
Чтобы сократить дробь $\frac{16 - b^2}{b^2 - b - 12}$, разложим на множители числитель и знаменатель.
1. Разложим числитель по формуле разности квадратов: $16 - b^2 = (4 - b)(4 + b)$.
2. Разложим знаменатель $b^2 - b - 12$. Найдем корни уравнения $b^2 - b - 12 = 0$.
По теореме Виета, сумма корней равна 1, а произведение -12. Это корни $b_1 = 4$ и $b_2 = -3$.
Разложим на множители: $b^2 - b - 12 = (b - 4)(b - (-3)) = (b - 4)(b + 3)$.
3. Сократим дробь. Заметим, что $4 - b = -(b - 4)$.
$\frac{(4 - b)(4 + b)}{(b - 4)(b + 3)} = \frac{-(b - 4)(b + 4)}{(b - 4)(b + 3)} = -\frac{b + 4}{b + 3}$.
Ответ: $-\frac{b + 4}{b + 3}$
г)
Чтобы сократить дробь $\frac{2y^2 + 7y + 3}{y^2 - 9}$, разложим на множители числитель и знаменатель.
1. Разложим числитель $2y^2 + 7y + 3$. Найдем корни уравнения $2y^2 + 7y + 3 = 0$.
$D = 7^2 - 4 \cdot 2 \cdot 3 = 49 - 24 = 25$.
$y_1 = \frac{-7 + \sqrt{25}}{2 \cdot 2} = \frac{-7 + 5}{4} = \frac{-2}{4} = -\frac{1}{2}$; $y_2 = \frac{-7 - \sqrt{25}}{2 \cdot 2} = \frac{-7 - 5}{4} = \frac{-12}{4} = -3$.
Разложим на множители: $2y^2 + 7y + 3 = 2(y + \frac{1}{2})(y + 3) = (2y + 1)(y + 3)$.
2. Разложим знаменатель по формуле разности квадратов: $y^2 - 9 = (y - 3)(y + 3)$.
3. Сократим дробь:
$\frac{(2y + 1)(y + 3)}{(y - 3)(y + 3)} = \frac{2y + 1}{y - 3}$.
Ответ: $\frac{2y + 1}{y - 3}$
д)
Чтобы сократить дробь $\frac{p^2 - 11p + 10}{20 + 8p - p^2}$, разложим на множители числитель и знаменатель.
1. Разложим числитель $p^2 - 11p + 10$. По теореме Виета, корни уравнения $p^2 - 11p + 10 = 0$ это $p_1 = 1$ и $p_2 = 10$.
Разложение: $p^2 - 11p + 10 = (p - 1)(p - 10)$.
2. Разложим знаменатель $20 + 8p - p^2 = -(p^2 - 8p - 20)$. Найдем корни уравнения $p^2 - 8p - 20 = 0$.
По теореме Виета, сумма корней 8, произведение -20. Это корни $p_1 = 10$ и $p_2 = -2$.
Разложение: $-(p^2 - 8p - 20) = -(p - 10)(p - (-2)) = -(p - 10)(p + 2)$.
3. Сократим дробь:
$\frac{(p - 1)(p - 10)}{-(p - 10)(p + 2)} = \frac{p - 1}{-(p + 2)} = -\frac{p - 1}{p + 2}$.
Ответ: $-\frac{p - 1}{p + 2}$
е)
Чтобы сократить дробь $\frac{3x^2 + 16x - 12}{10 - 13x - 3x^2}$, разложим на множители числитель и знаменатель.
1. Разложим числитель $3x^2 + 16x - 12$. Найдем корни уравнения $3x^2 + 16x - 12 = 0$.
$D = 16^2 - 4 \cdot 3 \cdot (-12) = 256 + 144 = 400$.
$x_1 = \frac{-16 + \sqrt{400}}{2 \cdot 3} = \frac{-16 + 20}{6} = \frac{4}{6} = \frac{2}{3}$; $x_2 = \frac{-16 - 20}{6} = \frac{-36}{6} = -6$.
Разложим на множители: $3(x - \frac{2}{3})(x + 6) = (3x - 2)(x + 6)$.
2. Разложим знаменатель $10 - 13x - 3x^2 = -(3x^2 + 13x - 10)$. Найдем корни $3x^2 + 13x - 10 = 0$.
$D = 13^2 - 4 \cdot 3 \cdot (-10) = 169 + 120 = 289$.
$x_1 = \frac{-13 + \sqrt{289}}{2 \cdot 3} = \frac{-13 + 17}{6} = \frac{4}{6} = \frac{2}{3}$; $x_2 = \frac{-13 - 17}{6} = \frac{-30}{6} = -5$.
Разложим на множители: $-(3(x - \frac{2}{3})(x + 5)) = -(3x - 2)(x + 5)$.
3. Сократим дробь:
$\frac{(3x - 2)(x + 6)}{-(3x - 2)(x + 5)} = \frac{x + 6}{-(x + 5)} = -\frac{x + 6}{x + 5}$.
Ответ: $-\frac{x + 6}{x + 5}$
Другие задания:
Помогло решение? Оставьте отзыв в комментариях ниже.
Мы подготовили для вас ответ c подробным объяснением домашего задания по алгебре за 9 класс, для упражнения номер 83 расположенного на странице 30 к учебнику 2014 - 2024 года издания для учащихся школ и гимназий.
Теперь на нашем сайте ГДЗ.ТОП вы всегда легко и бесплатно найдёте условие с правильным ответом на вопрос «Как решить ДЗ» и «Как сделать» задание по алгебре к упражнению №83 (с. 30), авторов: Макарычев (Юрий Николаевич), Миндюк (Нора Григорьевна), Нешков (Константин Иванович), Суворова (Светлана Борисовна), ФГОС (старый) учебного пособия издательства Просвещение.