Номер 957, страница 287 - гдз по алгебре 10-11 класс учебник Алимов, Колягин

Алгебра, 10-11 класс Учебник, авторы: Алимов Шавкат Арифджанович, Колягин Юрий Михайлович, Ткачева Мария Владимировна, Федорова Надежда Евгеньевна, Шабунин Михаил Иванович, издательство Просвещение, Москва, 2014

Авторы: Алимов Ш. А., Колягин Ю. М., Ткачева М. В., Федорова Н. Е., Шабунин М. И.

Тип: Учебник

Издательство: Просвещение

Год издания: 2014 - 2025

Уровень обучения: базовый и углублённый

Цвет обложки: синий, фиолетовый

ISBN: 978-5-09-112136-0

Допущено Министерством просвещения Российской Федерации

Математика: алгебра и начала математического анализа, геометрия

Популярные ГДЗ в 10 классе

Глава 9. Применение производной к исследованию функций. Упражнения к главе 9 - номер 957, страница 287.

№957 (с. 287)
Условие. №957 (с. 287)
скриншот условия
Алгебра, 10-11 класс Учебник, авторы: Алимов Шавкат Арифджанович, Колягин Юрий Михайлович, Ткачева Мария Владимировна, Федорова Надежда Евгеньевна, Шабунин Михаил Иванович, издательство Просвещение, Москва, 2014, страница 287, номер 957, Условие

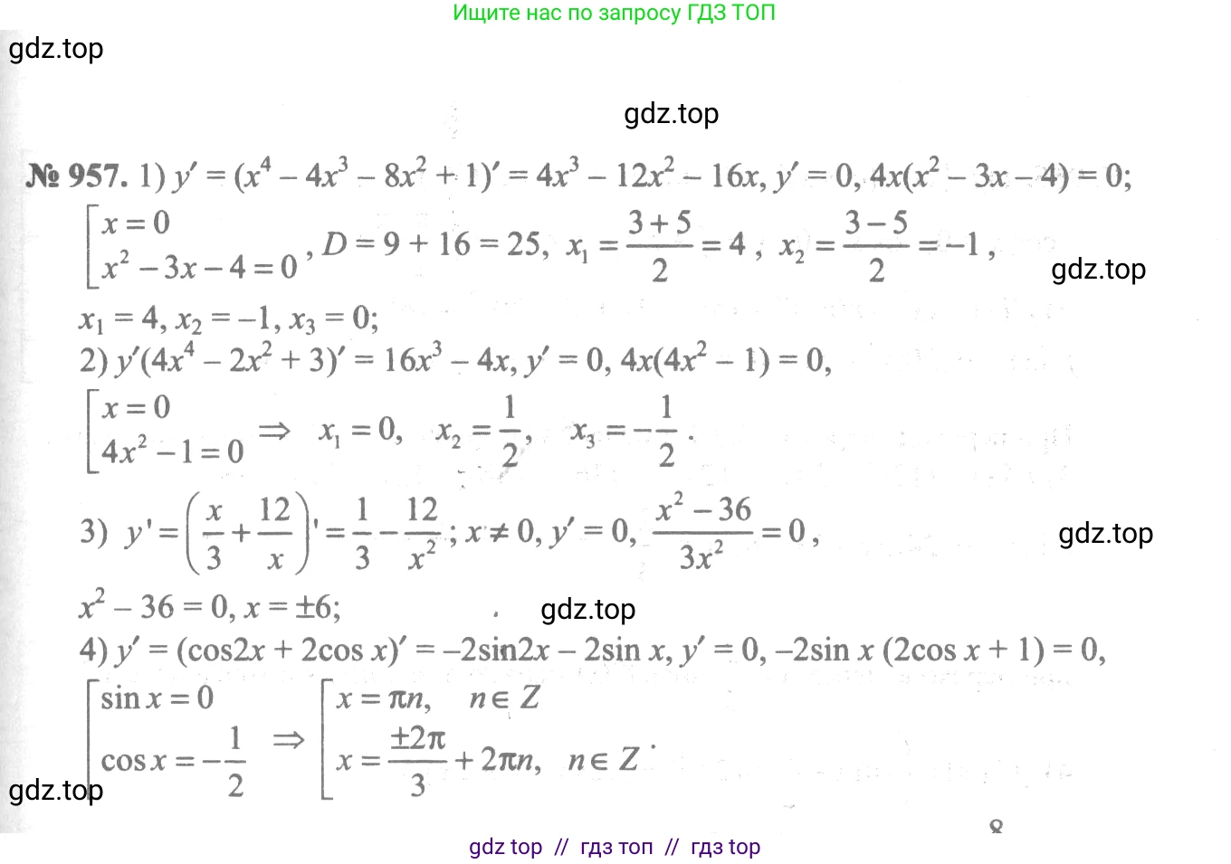
957 Найти стационарные точки функции:

1) $y = x^4 - 4x^3 - 8x^2 + 1;$

2) $y = 4x^4 - 2x^2 + 3;$

3) $y = \frac{x}{3} - \frac{12}{x};$

4) $y = \cos 2x + 2 \cos x.$

Решение 1. №957 (с. 287)
Алгебра, 10-11 класс Учебник, авторы: Алимов Шавкат Арифджанович, Колягин Юрий Михайлович, Ткачева Мария Владимировна, Федорова Надежда Евгеньевна, Шабунин Михаил Иванович, издательство Просвещение, Москва, 2014, страница 287, номер 957, Решение 1
Алгебра, 10-11 класс Учебник, авторы: Алимов Шавкат Арифджанович, Колягин Юрий Михайлович, Ткачева Мария Владимировна, Федорова Надежда Евгеньевна, Шабунин Михаил Иванович, издательство Просвещение, Москва, 2014, страница 287, номер 957, Решение 1 (продолжение 2)
Алгебра, 10-11 класс Учебник, авторы: Алимов Шавкат Арифджанович, Колягин Юрий Михайлович, Ткачева Мария Владимировна, Федорова Надежда Евгеньевна, Шабунин Михаил Иванович, издательство Просвещение, Москва, 2014, страница 287, номер 957, Решение 1 (продолжение 3)
Алгебра, 10-11 класс Учебник, авторы: Алимов Шавкат Арифджанович, Колягин Юрий Михайлович, Ткачева Мария Владимировна, Федорова Надежда Евгеньевна, Шабунин Михаил Иванович, издательство Просвещение, Москва, 2014, страница 287, номер 957, Решение 1 (продолжение 4)
Решение 2. №957 (с. 287)
Алгебра, 10-11 класс Учебник, авторы: Алимов Шавкат Арифджанович, Колягин Юрий Михайлович, Ткачева Мария Владимировна, Федорова Надежда Евгеньевна, Шабунин Михаил Иванович, издательство Просвещение, Москва, 2014, страница 287, номер 957, Решение 2
Алгебра, 10-11 класс Учебник, авторы: Алимов Шавкат Арифджанович, Колягин Юрий Михайлович, Ткачева Мария Владимировна, Федорова Надежда Евгеньевна, Шабунин Михаил Иванович, издательство Просвещение, Москва, 2014, страница 287, номер 957, Решение 2 (продолжение 2)
Решение 5. №957 (с. 287)
Алгебра, 10-11 класс Учебник, авторы: Алимов Шавкат Арифджанович, Колягин Юрий Михайлович, Ткачева Мария Владимировна, Федорова Надежда Евгеньевна, Шабунин Михаил Иванович, издательство Просвещение, Москва, 2014, страница 287, номер 957, Решение 5
Решение 7. №957 (с. 287)
Алгебра, 10-11 класс Учебник, авторы: Алимов Шавкат Арифджанович, Колягин Юрий Михайлович, Ткачева Мария Владимировна, Федорова Надежда Евгеньевна, Шабунин Михаил Иванович, издательство Просвещение, Москва, 2014, страница 287, номер 957, Решение 7
Алгебра, 10-11 класс Учебник, авторы: Алимов Шавкат Арифджанович, Колягин Юрий Михайлович, Ткачева Мария Владимировна, Федорова Надежда Евгеньевна, Шабунин Михаил Иванович, издательство Просвещение, Москва, 2014, страница 287, номер 957, Решение 7 (продолжение 2)
Решение 8. №957 (с. 287)

Стационарные точки функции — это внутренние точки области определения функции, в которых её производная равна нулю.

1) $y = x^4 - 4x^3 - 8x^2 + 1$

Сначала найдём производную данной функции. Область определения функции — все действительные числа, $D(y) = (-\infty; +\infty)$.

$y' = (x^4 - 4x^3 - 8x^2 + 1)' = 4x^3 - 12x^2 - 16x$

Чтобы найти стационарные точки, приравняем производную к нулю:

$4x^3 - 12x^2 - 16x = 0$

Вынесем за скобки общий множитель $4x$:

$4x(x^2 - 3x - 4) = 0$

Произведение равно нулю, когда хотя бы один из множителей равен нулю. Отсюда получаем два уравнения:

1) $4x = 0 \implies x_1 = 0$

2) $x^2 - 3x - 4 = 0$

Решим квадратное уравнение с помощью дискриминанта:

$D = b^2 - 4ac = (-3)^2 - 4 \cdot 1 \cdot (-4) = 9 + 16 = 25 = 5^2$

$x_{2,3} = \frac{-b \pm \sqrt{D}}{2a} = \frac{3 \pm 5}{2}$

$x_2 = \frac{3 + 5}{2} = \frac{8}{2} = 4$

$x_3 = \frac{3 - 5}{2} = \frac{-2}{2} = -1$

Все найденные точки принадлежат области определения функции.

Ответ: $x = -1, x = 0, x = 4$.

2) $y = 4x^4 - 2x^2 + 3$

Найдём производную функции. Область определения $D(y) = (-\infty; +\infty)$.

$y' = (4x^4 - 2x^2 + 3)' = 16x^3 - 4x$

Приравняем производную к нулю:

$16x^3 - 4x = 0$

Вынесем за скобки общий множитель $4x$:

$4x(4x^2 - 1) = 0$

Отсюда:

1) $4x = 0 \implies x_1 = 0$

2) $4x^2 - 1 = 0 \implies 4x^2 = 1 \implies x^2 = \frac{1}{4} \implies x_{2,3} = \pm\sqrt{\frac{1}{4}} = \pm\frac{1}{2}$

Все найденные точки принадлежат области определения функции.

Ответ: $x = -\frac{1}{2}, x = 0, x = \frac{1}{2}$.

3) $y = \frac{x}{3} - \frac{12}{x}$

Область определения функции: $x \neq 0$, то есть $D(y) = (-\infty; 0) \cup (0; +\infty)$.

Найдём производную. Для удобства запишем функцию в виде $y = \frac{1}{3}x - 12x^{-1}$:

$y' = (\frac{1}{3}x - 12x^{-1})' = \frac{1}{3} - 12(-1)x^{-2} = \frac{1}{3} + \frac{12}{x^2}$

Приравняем производную к нулю:

$\frac{1}{3} + \frac{12}{x^2} = 0$

Перенесём одно из слагаемых в правую часть:

$\frac{12}{x^2} = -\frac{1}{3}$

В левой части уравнения стоит выражение $\frac{12}{x^2}$, которое всегда положительно для любого $x$ из области определения ($x^2 > 0$). В правой части стоит отрицательное число. Равенство невозможно, следовательно, уравнение не имеет действительных корней. Это означает, что у функции нет точек, в которых производная равна нулю.

Ответ: стационарных точек нет.

4) $y = \cos 2x + 2 \cos x$

Найдём производную функции. Область определения $D(y) = (-\infty; +\infty)$.

$y' = (\cos 2x + 2 \cos x)' = -(\sin 2x) \cdot (2x)' - 2 \sin x = -2\sin 2x - 2\sin x$

Приравняем производную к нулю:

$-2\sin 2x - 2\sin x = 0$

Разделим обе части уравнения на $-2$:

$\sin 2x + \sin x = 0$

Применим формулу синуса двойного угла $\sin 2x = 2\sin x \cos x$:

$2\sin x \cos x + \sin x = 0$

Вынесем общий множитель $\sin x$ за скобки:

$\sin x (2\cos x + 1) = 0$

Произведение равно нулю, если один из множителей равен нулю. Получаем совокупность двух тригонометрических уравнений:

1) $\sin x = 0 \implies x = \pi n$, где $n \in \mathbb{Z}$ (где $\mathbb{Z}$ — множество целых чисел).

2) $2\cos x + 1 = 0 \implies \cos x = -\frac{1}{2}$

Решением этого уравнения является серия корней: $x = \pm \arccos(-\frac{1}{2}) + 2\pi k$, где $k \in \mathbb{Z}$.

Так как $\arccos(-\frac{1}{2}) = \pi - \arccos(\frac{1}{2}) = \pi - \frac{\pi}{3} = \frac{2\pi}{3}$, то получаем:

$x = \pm \frac{2\pi}{3} + 2\pi k$, где $k \in \mathbb{Z}$.

Ответ: $x = \pi n, x = \pm \frac{2\pi}{3} + 2\pi k$, где $n, k \in \mathbb{Z}$.

Помогло решение? Оставьте отзыв в комментариях ниже.

Присоединяйтесь к Телеграм-группе @top_gdz

Присоединиться

Мы подготовили для вас ответ c подробным объяснением домашего задания по алгебре за 10-11 класс, для упражнения номер 957 расположенного на странице 287 к учебнику 2014 года издания для учащихся школ и гимназий.

Теперь на нашем сайте ГДЗ.ТОП вы всегда легко и бесплатно найдёте условие с правильным ответом на вопрос «Как решить ДЗ» и «Как сделать» задание по алгебре к упражнению №957 (с. 287), авторов: Алимов (Шавкат Арифджанович), Колягин (Юрий Михайлович), Ткачева (Мария Владимировна), Федорова (Надежда Евгеньевна), Шабунин (Михаил Иванович), ФГОС (старый) базовый и углублённый уровень обучения учебного пособия издательства Просвещение.