Номер 955, страница 287 - гдз по алгебре 10-11 класс учебник Алимов, Колягин

Алгебра, 10-11 класс Учебник, авторы: Алимов Шавкат Арифджанович, Колягин Юрий Михайлович, Ткачева Мария Владимировна, Федорова Надежда Евгеньевна, Шабунин Михаил Иванович, издательство Просвещение, Москва, 2014

Авторы: Алимов Ш. А., Колягин Ю. М., Ткачева М. В., Федорова Н. Е., Шабунин М. И.

Тип: Учебник

Издательство: Просвещение

Год издания: 2014 - 2025

Уровень обучения: базовый и углублённый

Цвет обложки: синий, фиолетовый

ISBN: 978-5-09-112136-0

Допущено Министерством просвещения Российской Федерации

Математика: алгебра и начала математического анализа, геометрия

Популярные ГДЗ в 10 классе

Глава 9. Применение производной к исследованию функций. Параграф 53. Выпуклость графика функции, точки перегиба - номер 955, страница 287.

№955 (с. 287)
Условие. №955 (с. 287)
скриншот условия
Алгебра, 10-11 класс Учебник, авторы: Алимов Шавкат Арифджанович, Колягин Юрий Михайлович, Ткачева Мария Владимировна, Федорова Надежда Евгеньевна, Шабунин Михаил Иванович, издательство Просвещение, Москва, 2014, страница 287, номер 955, Условие

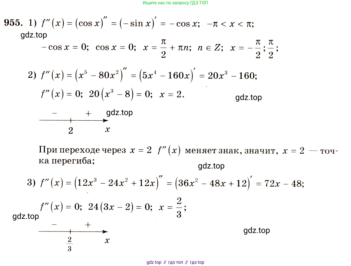
955 Найти точки перегиба функции $f(x)$, если:

1) $f(x) = \cos x$, $-\pi < x < \pi$;

2) $f(x) = x^5 - 80x^2$;

3) $f(x) = 12x^3 - 24x^2 + 12x$;

4) $f(x) = \sin x - \frac{1}{2} \sin 2x$, $-\pi < x < \pi$.

Решение 1. №955 (с. 287)
Алгебра, 10-11 класс Учебник, авторы: Алимов Шавкат Арифджанович, Колягин Юрий Михайлович, Ткачева Мария Владимировна, Федорова Надежда Евгеньевна, Шабунин Михаил Иванович, издательство Просвещение, Москва, 2014, страница 287, номер 955, Решение 1
Алгебра, 10-11 класс Учебник, авторы: Алимов Шавкат Арифджанович, Колягин Юрий Михайлович, Ткачева Мария Владимировна, Федорова Надежда Евгеньевна, Шабунин Михаил Иванович, издательство Просвещение, Москва, 2014, страница 287, номер 955, Решение 1 (продолжение 2)
Алгебра, 10-11 класс Учебник, авторы: Алимов Шавкат Арифджанович, Колягин Юрий Михайлович, Ткачева Мария Владимировна, Федорова Надежда Евгеньевна, Шабунин Михаил Иванович, издательство Просвещение, Москва, 2014, страница 287, номер 955, Решение 1 (продолжение 3)
Алгебра, 10-11 класс Учебник, авторы: Алимов Шавкат Арифджанович, Колягин Юрий Михайлович, Ткачева Мария Владимировна, Федорова Надежда Евгеньевна, Шабунин Михаил Иванович, издательство Просвещение, Москва, 2014, страница 287, номер 955, Решение 1 (продолжение 4)
Решение 2. №955 (с. 287)
Алгебра, 10-11 класс Учебник, авторы: Алимов Шавкат Арифджанович, Колягин Юрий Михайлович, Ткачева Мария Владимировна, Федорова Надежда Евгеньевна, Шабунин Михаил Иванович, издательство Просвещение, Москва, 2014, страница 287, номер 955, Решение 2
Алгебра, 10-11 класс Учебник, авторы: Алимов Шавкат Арифджанович, Колягин Юрий Михайлович, Ткачева Мария Владимировна, Федорова Надежда Евгеньевна, Шабунин Михаил Иванович, издательство Просвещение, Москва, 2014, страница 287, номер 955, Решение 2 (продолжение 2)
Решение 4. №955 (с. 287)
Алгебра, 10-11 класс Учебник, авторы: Алимов Шавкат Арифджанович, Колягин Юрий Михайлович, Ткачева Мария Владимировна, Федорова Надежда Евгеньевна, Шабунин Михаил Иванович, издательство Просвещение, Москва, 2014, страница 287, номер 955, Решение 4
Алгебра, 10-11 класс Учебник, авторы: Алимов Шавкат Арифджанович, Колягин Юрий Михайлович, Ткачева Мария Владимировна, Федорова Надежда Евгеньевна, Шабунин Михаил Иванович, издательство Просвещение, Москва, 2014, страница 287, номер 955, Решение 4 (продолжение 2)
Решение 5. №955 (с. 287)
Алгебра, 10-11 класс Учебник, авторы: Алимов Шавкат Арифджанович, Колягин Юрий Михайлович, Ткачева Мария Владимировна, Федорова Надежда Евгеньевна, Шабунин Михаил Иванович, издательство Просвещение, Москва, 2014, страница 287, номер 955, Решение 5
Решение 7. №955 (с. 287)
Алгебра, 10-11 класс Учебник, авторы: Алимов Шавкат Арифджанович, Колягин Юрий Михайлович, Ткачева Мария Владимировна, Федорова Надежда Евгеньевна, Шабунин Михаил Иванович, издательство Просвещение, Москва, 2014, страница 287, номер 955, Решение 7 Алгебра, 10-11 класс Учебник, авторы: Алимов Шавкат Арифджанович, Колягин Юрий Михайлович, Ткачева Мария Владимировна, Федорова Надежда Евгеньевна, Шабунин Михаил Иванович, издательство Просвещение, Москва, 2014, страница 287, номер 955, Решение 7 (продолжение 2) Алгебра, 10-11 класс Учебник, авторы: Алимов Шавкат Арифджанович, Колягин Юрий Михайлович, Ткачева Мария Владимировна, Федорова Надежда Евгеньевна, Шабунин Михаил Иванович, издательство Просвещение, Москва, 2014, страница 287, номер 955, Решение 7 (продолжение 3)
Решение 8. №955 (с. 287)

Для нахождения точек перегиба функции необходимо исследовать знак её второй производной. Точка перегиба — это точка, в которой функция непрерывна, и её график меняет направление выпуклости (то есть вторая производная меняет знак).

1) $f(x) = \cos x, \quad -\pi < x < \pi$

Находим первую и вторую производные функции:

$f'(x) = (\cos x)' = -\sin x$

$f''(x) = (-\sin x)' = -\cos x$

Приравняем вторую производную к нулю, чтобы найти возможные точки перегиба:

$f''(x) = 0 \implies -\cos x = 0 \implies \cos x = 0$

На заданном интервале $(-\pi, \pi)$ решениями этого уравнения являются $x = -\frac{\pi}{2}$ и $x = \frac{\pi}{2}$.

Проверим, меняется ли знак второй производной при переходе через эти точки. Рассмотрим интервалы $(-\pi, -\frac{\pi}{2})$, $(-\frac{\pi}{2}, \frac{\pi}{2})$ и $(\frac{\pi}{2}, \pi)$.

На интервале $(-\pi, -\frac{\pi}{2})$, например при $x = -\frac{3\pi}{4}$, имеем $\cos(-\frac{3\pi}{4}) < 0$, значит $f''(x) = -\cos x > 0$ (график вогнут вверх).

На интервале $(-\frac{\pi}{2}, \frac{\pi}{2})$, например при $x=0$, имеем $\cos(0) > 0$, значит $f''(x) = -\cos x < 0$ (график вогнут вниз).

На интервале $(\frac{\pi}{2}, \pi)$, например при $x = \frac{3\pi}{4}$, имеем $\cos(\frac{3\pi}{4}) < 0$, значит $f''(x) = -\cos x > 0$ (график вогнут вверх).

Знак второй производной меняется в точках $x = -\frac{\pi}{2}$ и $x = \frac{\pi}{2}$, следовательно, это точки перегиба.

Ответ: $x = -\frac{\pi}{2}, x = \frac{\pi}{2}$.

2) $f(x) = x^5 - 80x^2$

Находим первую и вторую производные функции:

$f'(x) = (x^5 - 80x^2)' = 5x^4 - 160x$

$f''(x) = (5x^4 - 160x)' = 20x^3 - 160$

Приравняем вторую производную к нулю:

$f''(x) = 0 \implies 20x^3 - 160 = 0 \implies 20x^3 = 160 \implies x^3 = 8 \implies x = 2$.

Проверим знак второй производной слева и справа от точки $x=2$.

При $x < 2$, например при $x=0$, $f''(0) = 20(0)^3 - 160 = -160 < 0$ (график вогнут вниз).

При $x > 2$, например при $x=3$, $f''(3) = 20(3)^3 - 160 = 20 \cdot 27 - 160 = 540 - 160 = 380 > 0$ (график вогнут вверх).

Так как при переходе через точку $x=2$ вторая производная меняет знак, эта точка является точкой перегиба.

Ответ: $x=2$.

3) $f(x) = 12x^3 - 24x^2 + 12x$

Находим первую и вторую производные функции:

$f'(x) = (12x^3 - 24x^2 + 12x)' = 36x^2 - 48x + 12$

$f''(x) = (36x^2 - 48x + 12)' = 72x - 48$

Приравняем вторую производную к нулю:

$f''(x) = 0 \implies 72x - 48 = 0 \implies 72x = 48 \implies x = \frac{48}{72} = \frac{2}{3}$.

Проверим знак второй производной слева и справа от точки $x=\frac{2}{3}$.

При $x < \frac{2}{3}$, например при $x=0$, $f''(0) = 72(0) - 48 = -48 < 0$ (график вогнут вниз).

При $x > \frac{2}{3}$, например при $x=1$, $f''(1) = 72(1) - 48 = 24 > 0$ (график вогнут вверх).

При переходе через точку $x=\frac{2}{3}$ вторая производная меняет знак, следовательно, это точка перегиба.

Ответ: $x = \frac{2}{3}$.

4) $f(x) = \sin x - \frac{1}{2}\sin 2x, \quad -\pi < x < \pi$

Находим первую и вторую производные функции:

$f'(x) = (\sin x - \frac{1}{2}\sin 2x)' = \cos x - \frac{1}{2} \cdot 2\cos 2x = \cos x - \cos 2x$

$f''(x) = (\cos x - \cos 2x)' = -\sin x + 2\sin 2x$

Используем формулу двойного угла $\sin 2x = 2\sin x \cos x$:

$f''(x) = -\sin x + 2(2\sin x \cos x) = -\sin x + 4\sin x \cos x = \sin x (4\cos x - 1)$

Приравняем вторую производную к нулю:

$f''(x) = 0 \implies \sin x (4\cos x - 1) = 0$

Это уравнение распадается на два:

1) $\sin x = 0$. На интервале $(-\pi, \pi)$ решение одно: $x=0$.

2) $4\cos x - 1 = 0 \implies \cos x = \frac{1}{4}$. На интервале $(-\pi, \pi)$ это уравнение имеет два решения: $x = \arccos(\frac{1}{4})$ и $x = -\arccos(\frac{1}{4})$.

Итак, у нас три возможные точки перегиба: $x_1 = -\arccos(\frac{1}{4})$, $x_2 = 0$, $x_3 = \arccos(\frac{1}{4})$.

Исследуем знак $f''(x) = \sin x (4\cos x - 1)$ на интервалах, образованных этими точками. Обозначим $\alpha = \arccos(\frac{1}{4})$, где $0 < \alpha < \frac{\pi}{2}$.

На интервале $(-\pi, -\alpha)$: $\sin x < 0$ и $\cos x < \cos(-\alpha) = \frac{1}{4}$, значит $4\cos x - 1 < 0$. Тогда $f''(x) = (-)(-) > 0$.

На интервале $(-\alpha, 0)$: $\sin x < 0$ и $\cos x > \cos(-\alpha) = \frac{1}{4}$, значит $4\cos x - 1 > 0$. Тогда $f''(x) = (-)(+) < 0$.

На интервале $(0, \alpha)$: $\sin x > 0$ и $\cos x > \cos(\alpha) = \frac{1}{4}$, значит $4\cos x - 1 > 0$. Тогда $f''(x) = (+)(+) > 0$.

На интервале $(\alpha, \pi)$: $\sin x > 0$ и $\cos x < \cos(\alpha) = \frac{1}{4}$, значит $4\cos x - 1 < 0$. Тогда $f''(x) = (+)(-) < 0$.

Вторая производная меняет знак в каждой из точек $x = -\arccos(\frac{1}{4})$, $x=0$ и $x = \arccos(\frac{1}{4})$. Следовательно, все они являются точками перегиба.

Ответ: $x = -\arccos(\frac{1}{4}), x=0, x = \arccos(\frac{1}{4})$.

Помогло решение? Оставьте отзыв в комментариях ниже.

Присоединяйтесь к Телеграм-группе @top_gdz

Присоединиться

Мы подготовили для вас ответ c подробным объяснением домашего задания по алгебре за 10-11 класс, для упражнения номер 955 расположенного на странице 287 к учебнику 2014 года издания для учащихся школ и гимназий.

Теперь на нашем сайте ГДЗ.ТОП вы всегда легко и бесплатно найдёте условие с правильным ответом на вопрос «Как решить ДЗ» и «Как сделать» задание по алгебре к упражнению №955 (с. 287), авторов: Алимов (Шавкат Арифджанович), Колягин (Юрий Михайлович), Ткачева (Мария Владимировна), Федорова (Надежда Евгеньевна), Шабунин (Михаил Иванович), ФГОС (старый) базовый и углублённый уровень обучения учебного пособия издательства Просвещение.