Номер 165, страница 299 - гдз по алгебре 10-11 класс учебник Колмогоров, Абрамов
 
                                                Авторы: Колмогоров А. Н., Абрамов А. М., Дудницын Ю. П.
Тип: Учебник
Издательство: Просвещение
Год издания: 2008 - 2025
Цвет обложки: зелёный, чёрный
ISBN: 978-5-09-019513-3
Рекомендовано Министерством образования и науки Российской Федерации
Алгебра и начала математического анализа
Популярные ГДЗ в 10 классе
Глава 5. Задачи на повторение. Параграф 4. Уравнения, неравенства, системы уравнений и неравенств - номер 165, страница 299.
№165 (с. 299)
Условие. №165 (с. 299)
скриншот условия
 
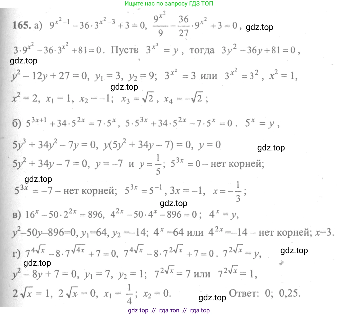
                                                                                                                                        165. a) $9^{x^2-1} - 36 \cdot 3^{x^2-3} + 3 = 0;$
Б) $16^x - 50 \cdot 2^{2x} = 896;$
б) $5^{3x+1} + 34 \cdot 5^{2x} = 7 \cdot 5^x;$
Г) $7^{4\sqrt{x}} - 8 \cdot 7^{\sqrt{4x}} + 7 = 0.$
Решение 1. №165 (с. 299)
 
                                                                                                                        Решение 3. №165 (с. 299)
 
                                                                            
                                                                                                         
                                                                                                                        Решение 5. №165 (с. 299)
а) $9^{x^2-1} - 36 \cdot 3^{x^2-3} + 3 = 0$
Преобразуем уравнение, приведя степени к одному основанию 3. Заметим, что $9 = 3^2$.
$9^{x^2-1} = (3^2)^{x^2-1} = 3^{2(x^2-1)} = 3^{2x^2-2}$
Чтобы упростить уравнение, выразим степени через одну и ту же показательную функцию. Выразим $3^{x^2-3}$ через $3^{x^2-1}$: $3^{x^2-3} = 3^{(x^2-1)-2} = 3^{x^2-1} \cdot 3^{-2} = \frac{1}{9} \cdot 3^{x^2-1}$.
Подставим эти выражения в исходное уравнение:
$(3^{x^2-1})^2 - 36 \cdot \left(\frac{1}{9} \cdot 3^{x^2-1}\right) + 3 = 0$
$(3^{x^2-1})^2 - 4 \cdot 3^{x^2-1} + 3 = 0$
Сделаем замену переменной. Пусть $t = 3^{x^2-1}$. Так как $x^2 \ge 0$, то $x^2-1 \ge -1$, следовательно $t = 3^{x^2-1} \ge 3^{-1} = \frac{1}{3}$.
Уравнение принимает вид квадратного уравнения относительно $t$:
$t^2 - 4t + 3 = 0$
Решим это уравнение. По теореме Виета, корни уравнения $t_1=1$ и $t_2=3$. Оба корня удовлетворяют условию $t \ge \frac{1}{3}$.
Выполним обратную замену:
1) Если $t = 1$, то $3^{x^2-1} = 1$.
$3^{x^2-1} = 3^0$
$x^2 - 1 = 0$
$x^2 = 1$
$x = \pm 1$
2) Если $t = 3$, то $3^{x^2-1} = 3$.
$3^{x^2-1} = 3^1$
$x^2 - 1 = 1$
$x^2 = 2$
$x = \pm \sqrt{2}$
Ответ: $x = -1, x = 1, x = -\sqrt{2}, x = \sqrt{2}$.
б) $5^{3x+1} + 34 \cdot 5^{2x} = 7 \cdot 5^x$
Перенесем все члены в левую часть уравнения:
$5^{3x+1} + 34 \cdot 5^{2x} - 7 \cdot 5^x = 0$
Используя свойство степеней $a^{m+n}=a^m \cdot a^n$, преобразуем первый член:
$5 \cdot 5^{3x} + 34 \cdot 5^{2x} - 7 \cdot 5^x = 0$
Заметим, что $5^{3x} = (5^x)^3$ и $5^{2x} = (5^x)^2$. Сделаем замену переменной $t = 5^x$. Так как показательная функция всегда положительна, то $t > 0$.
Уравнение примет вид:
$5t^3 + 34t^2 - 7t = 0$
Вынесем $t$ за скобки:
$t(5t^2 + 34t - 7) = 0$
Отсюда либо $t=0$, либо $5t^2 + 34t - 7 = 0$.
Корень $t=0$ не удовлетворяет условию $t>0$, так как $5^x$ не может быть равно нулю. Решим квадратное уравнение $5t^2 + 34t - 7 = 0$ с помощью дискриминанта:
$D = 34^2 - 4 \cdot 5 \cdot (-7) = 1156 + 140 = 1296 = 36^2$
$t_1 = \frac{-34 + 36}{2 \cdot 5} = \frac{2}{10} = \frac{1}{5}$
$t_2 = \frac{-34 - 36}{2 \cdot 5} = \frac{-70}{10} = -7$
Корень $t_2 = -7$ не удовлетворяет условию $t > 0$. Остается один корень $t_1 = \frac{1}{5}$.
Выполним обратную замену:
$5^x = \frac{1}{5}$
$5^x = 5^{-1}$
$x = -1$
Ответ: $x = -1$.
в) $16^x - 50 \cdot 2^{2x} = 896$
Приведем степени к одному основанию 2. Заметим, что $16 = 2^4$.
$16^x = (2^4)^x = 2^{4x}$. Также $2^{4x} = (2^{2x})^2$.
Перепишем уравнение:
$(2^{2x})^2 - 50 \cdot 2^{2x} - 896 = 0$
Сделаем замену переменной $t = 2^{2x}$. Так как $2^{2x} > 0$, то $t > 0$.
Получаем квадратное уравнение относительно $t$:
$t^2 - 50t - 896 = 0$
Найдем дискриминант:
$D = (-50)^2 - 4 \cdot 1 \cdot (-896) = 2500 + 3584 = 6084 = 78^2$
Найдем корни уравнения:
$t_1 = \frac{50 + 78}{2} = \frac{128}{2} = 64$
$t_2 = \frac{50 - 78}{2} = \frac{-28}{2} = -14$
Корень $t_2 = -14$ не удовлетворяет условию $t > 0$. Остается корень $t_1 = 64$.
Выполним обратную замену:
$2^{2x} = 64$
$2^{2x} = 2^6$
$2x = 6$
$x = 3$
Ответ: $x = 3$.
г) $7^{4\sqrt{x}} - 8 \cdot 7^{\sqrt{4x}} + 7 = 0$
Область допустимых значений для $x$ определяется подкоренным выражением: $x \ge 0$.
Упростим показатель степени во втором члене: $\sqrt{4x} = \sqrt{4}\sqrt{x} = 2\sqrt{x}$.
Уравнение принимает вид:
$7^{4\sqrt{x}} - 8 \cdot 7^{2\sqrt{x}} + 7 = 0$
Заметим, что $7^{4\sqrt{x}} = (7^{2\sqrt{x}})^2$.
Сделаем замену переменной $t = 7^{2\sqrt{x}}$. Так как $x \ge 0$, то $2\sqrt{x} \ge 0$, следовательно $t = 7^{2\sqrt{x}} \ge 7^0 = 1$.
Получаем квадратное уравнение относительно $t$:
$t^2 - 8t + 7 = 0$
По теореме Виета, корни уравнения $t_1=1$ и $t_2=7$. Оба корня удовлетворяют условию $t \ge 1$.
Выполним обратную замену:
1) Если $t = 1$, то $7^{2\sqrt{x}} = 1$.
$7^{2\sqrt{x}} = 7^0$
$2\sqrt{x} = 0$
$\sqrt{x} = 0$
$x = 0$
2) Если $t = 7$, то $7^{2\sqrt{x}} = 7$.
$7^{2\sqrt{x}} = 7^1$
$2\sqrt{x} = 1$
$\sqrt{x} = \frac{1}{2}$
$x = \left(\frac{1}{2}\right)^2 = \frac{1}{4}$
Оба найденных значения $x$ удовлетворяют ОДЗ ($x \ge 0$).
Ответ: $x = 0, x = \frac{1}{4}$.
Другие задания:
Помогло решение? Оставьте отзыв в комментариях ниже.
Присоединяйтесь к Телеграм-группе @top_gdz
ПрисоединитьсяМы подготовили для вас ответ c подробным объяснением домашего задания по алгебре за 10-11 класс, для упражнения номер 165 расположенного на странице 299 к учебнику 2008 года издания для учащихся школ и гимназий.
Теперь на нашем сайте ГДЗ.ТОП вы всегда легко и бесплатно найдёте условие с правильным ответом на вопрос «Как решить ДЗ» и «Как сделать» задание по алгебре к упражнению №165 (с. 299), авторов: Колмогоров (Андрей Николаевич), Абрамов (Александр Михайлович), Дудницын (Юрий Павлович), учебного пособия издательства Просвещение.
 
                     
                     
                     
                     
                     
                     
                     
                     
                     
                     
                     
                     
                     
                     
                     
                     
                     
                     
                    