Номер 166, страница 299 - гдз по алгебре 10-11 класс учебник Колмогоров, Абрамов
 
                                                Авторы: Колмогоров А. Н., Абрамов А. М., Дудницын Ю. П.
Тип: Учебник
Издательство: Просвещение
Год издания: 2008 - 2025
Цвет обложки: зелёный, чёрный
ISBN: 978-5-09-019513-3
Рекомендовано Министерством образования и науки Российской Федерации
Алгебра и начала математического анализа
Популярные ГДЗ в 10 классе
Глава 5. Задачи на повторение. Параграф 4. Уравнения, неравенства, системы уравнений и неравенств - номер 166, страница 299.
№166 (с. 299)
Условие. №166 (с. 299)
скриншот условия
 
                                                                                                                                        166. a) $3 \cdot 4^x + 2 \cdot 9^x = 5 \cdot 6^x;$
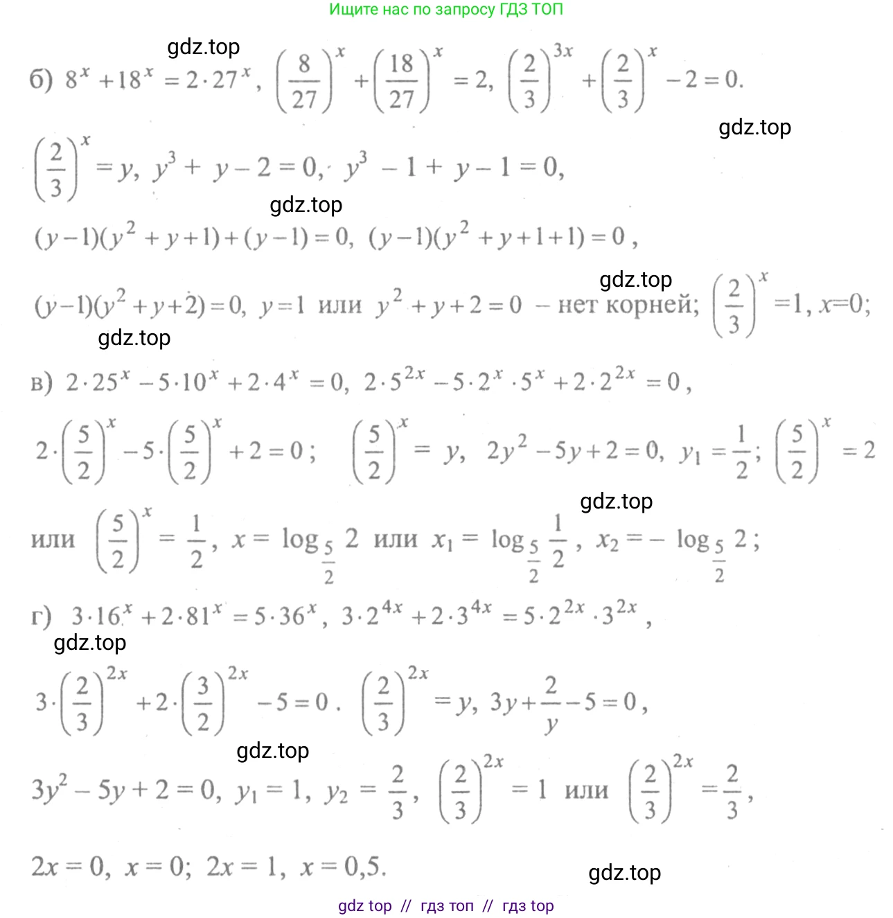
B) $2 \cdot 25^x - 5 \cdot 10^x + 2 \cdot 4^x = 0;$
Г) $3 \cdot 16^x + 2 \cdot 81^x = 5 \cdot 36^x.$
б) $8^x + 18^x = 2 \cdot 27^x;$
Решение 1. №166 (с. 299)
 
                                                                                                                        Решение 3. №166 (с. 299)
 
                                                                                                                        Решение 5. №166 (с. 299)
а) $3 \cdot 4^x + 2 \cdot 9^x = 5 \cdot 6^x$
Данное уравнение является однородным показательным уравнением. Для его решения преобразуем основания степеней:
$4^x = (2^2)^x = (2^x)^2$
$9^x = (3^2)^x = (3^x)^2$
$6^x = (2 \cdot 3)^x = 2^x \cdot 3^x$
Подставим эти выражения в исходное уравнение:
$3 \cdot (2^x)^2 + 2 \cdot (3^x)^2 = 5 \cdot 2^x \cdot 3^x$
Разделим обе части уравнения на $9^x = (3^x)^2$. Так как $9^x > 0$ при любом действительном $x$, это преобразование является равносильным.
$3 \cdot \frac{(2^x)^2}{(3^x)^2} + 2 \cdot \frac{(3^x)^2}{(3^x)^2} = 5 \cdot \frac{2^x \cdot 3^x}{(3^x)^2}$
$3 \cdot \left(\frac{2}{3}\right)^{2x} + 2 = 5 \cdot \left(\frac{2}{3}\right)^x$
Введем новую переменную. Пусть $t = \left(\frac{2}{3}\right)^x$. Учитывая, что значение показательной функции всегда положительно, имеем $t > 0$.
Уравнение принимает вид квадратного уравнения относительно $t$:
$3t^2 - 5t + 2 = 0$
Найдем корни этого уравнения. Дискриминант $D = b^2 - 4ac = (-5)^2 - 4 \cdot 3 \cdot 2 = 25 - 24 = 1$.
$t_1 = \frac{-b - \sqrt{D}}{2a} = \frac{5 - 1}{2 \cdot 3} = \frac{4}{6} = \frac{2}{3}$
$t_2 = \frac{-b + \sqrt{D}}{2a} = \frac{5 + 1}{2 \cdot 3} = \frac{6}{6} = 1$
Оба корня положительны, следовательно, оба подходят. Выполним обратную замену:
1) При $t = \frac{2}{3}$:
$\left(\frac{2}{3}\right)^x = \frac{2}{3} \implies x = 1$.
2) При $t = 1$:
$\left(\frac{2}{3}\right)^x = 1 \implies \left(\frac{2}{3}\right)^x = \left(\frac{2}{3}\right)^0 \implies x = 0$.
Ответ: $x=0, x=1$.
б) $8^x + 18^x = 2 \cdot 27^x$
Преобразуем основания степеней, представив их через степени простых чисел:
$8^x = (2^3)^x = (2^x)^3$
$27^x = (3^3)^x = (3^x)^3$
$18^x = (2 \cdot 3^2)^x = 2^x \cdot (3^2)^x = 2^x \cdot (3^x)^2$
Подставим в уравнение:
$(2^x)^3 + 2^x \cdot (3^x)^2 = 2 \cdot (3^x)^3$
Разделим обе части на $(3^x)^3 \neq 0$:
$\frac{(2^x)^3}{(3^x)^3} + \frac{2^x \cdot (3^x)^2}{(3^x)^3} = 2 \cdot \frac{(3^x)^3}{(3^x)^3}$
$\left(\frac{2}{3}\right)^{3x} + \left(\frac{2}{3}\right)^x = 2$
Сделаем замену переменной. Пусть $t = \left(\frac{2}{3}\right)^x$, где $t > 0$.
Получаем кубическое уравнение: $t^3 + t - 2 = 0$.
Подбором находим, что $t=1$ является корнем уравнения: $1^3 + 1 - 2 = 0$.
Разделим многочлен $t^3 + t - 2$ на $(t-1)$, например, по схеме Горнера или "уголком", и получим:
$(t-1)(t^2 + t + 2) = 0$
Отсюда либо $t-1=0$, либо $t^2 + t + 2 = 0$.
Первое уравнение дает корень $t=1$.
Для второго уравнения $t^2 + t + 2 = 0$ найдем дискриминант: $D = 1^2 - 4 \cdot 1 \cdot 2 = 1 - 8 = -7$.
Поскольку $D < 0$, квадратное уравнение не имеет действительных корней.
Таким образом, единственным действительным решением для $t$ является $t=1$.
Выполняем обратную замену:
$\left(\frac{2}{3}\right)^x = 1 \implies \left(\frac{2}{3}\right)^x = \left(\frac{2}{3}\right)^0 \implies x = 0$.
Ответ: $x=0$.
в) $2 \cdot 25^x - 5 \cdot 10^x + 2 \cdot 4^x = 0$
Преобразуем основания степеней:
$25^x = (5^2)^x = (5^x)^2$
$4^x = (2^2)^x = (2^x)^2$
$10^x = (2 \cdot 5)^x = 2^x \cdot 5^x$
Подставим в уравнение:
$2 \cdot (5^x)^2 - 5 \cdot 2^x \cdot 5^x + 2 \cdot (2^x)^2 = 0$
Разделим обе части уравнения на $4^x = (2^x)^2 \neq 0$:
$2 \cdot \frac{(5^x)^2}{(2^x)^2} - 5 \cdot \frac{2^x \cdot 5^x}{(2^x)^2} + 2 \cdot \frac{(2^x)^2}{(2^x)^2} = 0$
$2 \cdot \left(\frac{5}{2}\right)^{2x} - 5 \cdot \left(\frac{5}{2}\right)^x + 2 = 0$
Введем замену $t = \left(\frac{5}{2}\right)^x$, где $t > 0$.
Получаем квадратное уравнение: $2t^2 - 5t + 2 = 0$.
Дискриминант $D = (-5)^2 - 4 \cdot 2 \cdot 2 = 25 - 16 = 9$.
$t_1 = \frac{5 - \sqrt{9}}{2 \cdot 2} = \frac{2}{4} = \frac{1}{2}$
$t_2 = \frac{5 + \sqrt{9}}{2 \cdot 2} = \frac{8}{4} = 2$
Оба корня положительны. Выполним обратную замену:
1) $\left(\frac{5}{2}\right)^x = \frac{1}{2}$. Прологарифмируем обе части по основанию $\frac{5}{2}$:
$x = \log_{5/2}\left(\frac{1}{2}\right) = \log_{5/2}(2^{-1}) = -\log_{5/2}(2)$.
2) $\left(\frac{5}{2}\right)^x = 2$. Прологарифмируем обе части по основанию $\frac{5}{2}$:
$x = \log_{5/2}(2)$.
Ответ: $x = \pm \log_{5/2}(2)$.
г) $3 \cdot 16^x + 2 \cdot 81^x = 5 \cdot 36^x$
Преобразуем основания степеней:
$16^x = (4^2)^x$
$81^x = (9^2)^x$
$36^x = (4 \cdot 9)^x = 4^x \cdot 9^x$
Подставим в уравнение:
$3 \cdot (4^x)^2 + 2 \cdot (9^x)^2 = 5 \cdot 4^x \cdot 9^x$
Разделим обе части на $81^x = (9^x)^2 \neq 0$:
$3 \cdot \frac{(4^x)^2}{(9^x)^2} + 2 \cdot \frac{(9^x)^2}{(9^x)^2} = 5 \cdot \frac{4^x \cdot 9^x}{(9^x)^2}$
$3 \cdot \left(\frac{4}{9}\right)^{2x} + 2 = 5 \cdot \left(\frac{4}{9}\right)^x$
Введем замену $t = \left(\frac{4}{9}\right)^x$, где $t > 0$.
Получаем квадратное уравнение: $3t^2 - 5t + 2 = 0$.
Корни этого уравнения (как в пункте а): $t_1 = \frac{2}{3}$ и $t_2 = 1$.
Выполним обратную замену:
1) $\left(\frac{4}{9}\right)^x = \frac{2}{3}$. Так как $\frac{4}{9} = \left(\frac{2}{3}\right)^2$, то уравнение принимает вид:
$\left(\left(\frac{2}{3}\right)^2\right)^x = \left(\frac{2}{3}\right)^1 \implies \left(\frac{2}{3}\right)^{2x} = \left(\frac{2}{3}\right)^1$
Отсюда $2x = 1 \implies x = \frac{1}{2}$.
2) $\left(\frac{4}{9}\right)^x = 1$.
$\left(\frac{4}{9}\right)^x = \left(\frac{4}{9}\right)^0 \implies x = 0$.
Ответ: $x=0, x=1/2$.
Другие задания:
Помогло решение? Оставьте отзыв в комментариях ниже.
Присоединяйтесь к Телеграм-группе @top_gdz
ПрисоединитьсяМы подготовили для вас ответ c подробным объяснением домашего задания по алгебре за 10-11 класс, для упражнения номер 166 расположенного на странице 299 к учебнику 2008 года издания для учащихся школ и гимназий.
Теперь на нашем сайте ГДЗ.ТОП вы всегда легко и бесплатно найдёте условие с правильным ответом на вопрос «Как решить ДЗ» и «Как сделать» задание по алгебре к упражнению №166 (с. 299), авторов: Колмогоров (Андрей Николаевич), Абрамов (Александр Михайлович), Дудницын (Юрий Павлович), учебного пособия издательства Просвещение.
 
                     
                     
                     
                     
                     
                     
                     
                     
                     
                     
                     
                     
                     
                     
                     
                     
                     
                     
                    