Номер 165, страница 83 - гдз по алгебре 10-11 класс учебник Колмогоров, Абрамов
 
                                                Авторы: Колмогоров А. Н., Абрамов А. М., Дудницын Ю. П.
Тип: Учебник
Издательство: Просвещение
Год издания: 2008 - 2025
Цвет обложки: зелёный, чёрный
ISBN: 978-5-09-019513-3
Рекомендовано Министерством образования и науки Российской Федерации
Алгебра и начала математического анализа
Популярные ГДЗ в 10 классе
Глава 1. Тригонометрические функции. Параграф 3. Решение тригонометрических уравнений и неравенств - номер 165, страница 83.
№165 (с. 83)
Условие. №165 (с. 83)
скриншот условия
 
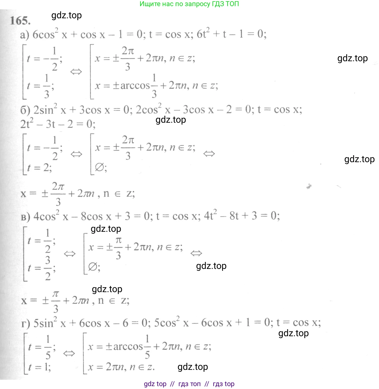
                                                                                                                                        165. а) $6 \cos^2 x + \cos x - 1 = 0;$
б) $2 \sin^2 x + 3 \cos x = 0;$
В) $4 \cos^2 x - 8 \cos x + 3 = 0;$
Г) $5 \sin^2 x + 6 \cos x - 6 = 0.$
Решение 1. №165 (с. 83)
 
                                                                                                                        Решение 4. №165 (с. 83)
 
                                                                                                                        Решение 5. №165 (с. 83)
а) $6 \cos^2 x + \cos x - 1 = 0$
Это уравнение является квадратным относительно $\cos x$.
Сделаем замену переменной: пусть $t = \cos x$, при этом должно выполняться условие $|t| \le 1$.
Уравнение примет вид: $6t^2 + t - 1 = 0$.
Найдем дискриминант: $D = b^2 - 4ac = 1^2 - 4 \cdot 6 \cdot (-1) = 1 + 24 = 25 = 5^2$.
Найдем корни квадратного уравнения:
$t_1 = \frac{-b + \sqrt{D}}{2a} = \frac{-1 + 5}{2 \cdot 6} = \frac{4}{12} = \frac{1}{3}$.
$t_2 = \frac{-b - \sqrt{D}}{2a} = \frac{-1 - 5}{2 \cdot 6} = \frac{-6}{12} = -\frac{1}{2}$.
Оба корня удовлетворяют условию $|t| \le 1$.
Выполним обратную замену:
1) $\cos x = \frac{1}{3}$
$x = \pm \arccos\left(\frac{1}{3}\right) + 2\pi k, k \in \mathbb{Z}$.
2) $\cos x = -\frac{1}{2}$
$x = \pm \arccos\left(-\frac{1}{2}\right) + 2\pi n = \pm \frac{2\pi}{3} + 2\pi n, n \in \mathbb{Z}$.
Ответ: $x = \pm \arccos\left(\frac{1}{3}\right) + 2\pi k, k \in \mathbb{Z}$; $x = \pm \frac{2\pi}{3} + 2\pi n, n \in \mathbb{Z}$.
б) $2 \sin^2 x + 3 \cos x = 0$
Используем основное тригонометрическое тождество $\sin^2 x + \cos^2 x = 1$, из которого выразим $\sin^2 x = 1 - \cos^2 x$.
Подставим это выражение в исходное уравнение:
$2(1 - \cos^2 x) + 3 \cos x = 0$
$2 - 2 \cos^2 x + 3 \cos x = 0$
Умножим уравнение на -1, чтобы получить стандартный вид квадратного уравнения:
$2 \cos^2 x - 3 \cos x - 2 = 0$
Сделаем замену переменной: пусть $t = \cos x$, где $|t| \le 1$.
$2t^2 - 3t - 2 = 0$.
Найдем дискриминант: $D = b^2 - 4ac = (-3)^2 - 4 \cdot 2 \cdot (-2) = 9 + 16 = 25 = 5^2$.
Найдем корни квадратного уравнения:
$t_1 = \frac{-b + \sqrt{D}}{2a} = \frac{3 + 5}{2 \cdot 2} = \frac{8}{4} = 2$.
$t_2 = \frac{-b - \sqrt{D}}{2a} = \frac{3 - 5}{2 \cdot 2} = \frac{-2}{4} = -\frac{1}{2}$.
Корень $t_1 = 2$ не удовлетворяет условию $|t| \le 1$, так как область значений функции косинус $[-1, 1]$. Следовательно, уравнение $\cos x = 2$ не имеет решений.
Корень $t_2 = -\frac{1}{2}$ удовлетворяет условию.
Выполним обратную замену:
$\cos x = -\frac{1}{2}$
$x = \pm \arccos\left(-\frac{1}{2}\right) + 2\pi k = \pm \frac{2\pi}{3} + 2\pi k, k \in \mathbb{Z}$.
Ответ: $x = \pm \frac{2\pi}{3} + 2\pi k, k \in \mathbb{Z}$.
в) $4 \cos^2 x - 8 \cos x + 3 = 0$
Это уравнение является квадратным относительно $\cos x$.
Сделаем замену переменной: пусть $t = \cos x$, где $|t| \le 1$.
Уравнение примет вид: $4t^2 - 8t + 3 = 0$.
Найдем дискриминант: $D = b^2 - 4ac = (-8)^2 - 4 \cdot 4 \cdot 3 = 64 - 48 = 16 = 4^2$.
Найдем корни квадратного уравнения:
$t_1 = \frac{-b + \sqrt{D}}{2a} = \frac{8 + 4}{2 \cdot 4} = \frac{12}{8} = \frac{3}{2}$.
$t_2 = \frac{-b - \sqrt{D}}{2a} = \frac{8 - 4}{2 \cdot 4} = \frac{4}{8} = \frac{1}{2}$.
Корень $t_1 = \frac{3}{2}$ не удовлетворяет условию $|t| \le 1$, так как $\frac{3}{2} > 1$. Уравнение $\cos x = \frac{3}{2}$ не имеет решений.
Корень $t_2 = \frac{1}{2}$ удовлетворяет условию.
Выполним обратную замену:
$\cos x = \frac{1}{2}$
$x = \pm \arccos\left(\frac{1}{2}\right) + 2\pi k = \pm \frac{\pi}{3} + 2\pi k, k \in \mathbb{Z}$.
Ответ: $x = \pm \frac{\pi}{3} + 2\pi k, k \in \mathbb{Z}$.
г) $5 \sin^2 x + 6 \cos x - 6 = 0$
Используем основное тригонометрическое тождество $\sin^2 x = 1 - \cos^2 x$.
Подставим это выражение в исходное уравнение:
$5(1 - \cos^2 x) + 6 \cos x - 6 = 0$
$5 - 5 \cos^2 x + 6 \cos x - 6 = 0$
$-5 \cos^2 x + 6 \cos x - 1 = 0$
Умножим уравнение на -1:
$5 \cos^2 x - 6 \cos x + 1 = 0$
Сделаем замену переменной: пусть $t = \cos x$, где $|t| \le 1$.
$5t^2 - 6t + 1 = 0$.
Найдем дискриминант: $D = b^2 - 4ac = (-6)^2 - 4 \cdot 5 \cdot 1 = 36 - 20 = 16 = 4^2$.
Найдем корни квадратного уравнения:
$t_1 = \frac{-b + \sqrt{D}}{2a} = \frac{6 + 4}{2 \cdot 5} = \frac{10}{10} = 1$.
$t_2 = \frac{-b - \sqrt{D}}{2a} = \frac{6 - 4}{2 \cdot 5} = \frac{2}{10} = \frac{1}{5}$.
Оба корня удовлетворяют условию $|t| \le 1$.
Выполним обратную замену:
1) $\cos x = 1$
$x = 2\pi k, k \in \mathbb{Z}$.
2) $\cos x = \frac{1}{5}$
$x = \pm \arccos\left(\frac{1}{5}\right) + 2\pi n, n \in \mathbb{Z}$.
Ответ: $x = 2\pi k, k \in \mathbb{Z}$; $x = \pm \arccos\left(\frac{1}{5}\right) + 2\pi n, n \in \mathbb{Z}$.
Другие задания:
Помогло решение? Оставьте отзыв в комментариях ниже.
Присоединяйтесь к Телеграм-группе @top_gdz
ПрисоединитьсяМы подготовили для вас ответ c подробным объяснением домашего задания по алгебре за 10-11 класс, для упражнения номер 165 расположенного на странице 83 к учебнику 2008 года издания для учащихся школ и гимназий.
Теперь на нашем сайте ГДЗ.ТОП вы всегда легко и бесплатно найдёте условие с правильным ответом на вопрос «Как решить ДЗ» и «Как сделать» задание по алгебре к упражнению №165 (с. 83), авторов: Колмогоров (Андрей Николаевич), Абрамов (Александр Михайлович), Дудницын (Юрий Павлович), учебного пособия издательства Просвещение.
 
                     
                     
                     
                     
                     
                     
                     
                     
                     
                     
                     
                     
                     
                     
                     
                     
                     
                     
                    