Номер 171, страница 84 - гдз по алгебре 10-11 класс учебник Колмогоров, Абрамов
 
                                                Авторы: Колмогоров А. Н., Абрамов А. М., Дудницын Ю. П.
Тип: Учебник
Издательство: Просвещение
Год издания: 2008 - 2025
Цвет обложки: зелёный, чёрный
ISBN: 978-5-09-019513-3
Рекомендовано Министерством образования и науки Российской Федерации
Алгебра и начала математического анализа
Популярные ГДЗ в 10 классе
Глава 1. Тригонометрические функции. Параграф 3. Решение тригонометрических уравнений и неравенств - номер 171, страница 84.
№171 (с. 84)
Условие. №171 (с. 84)
скриншот условия
 
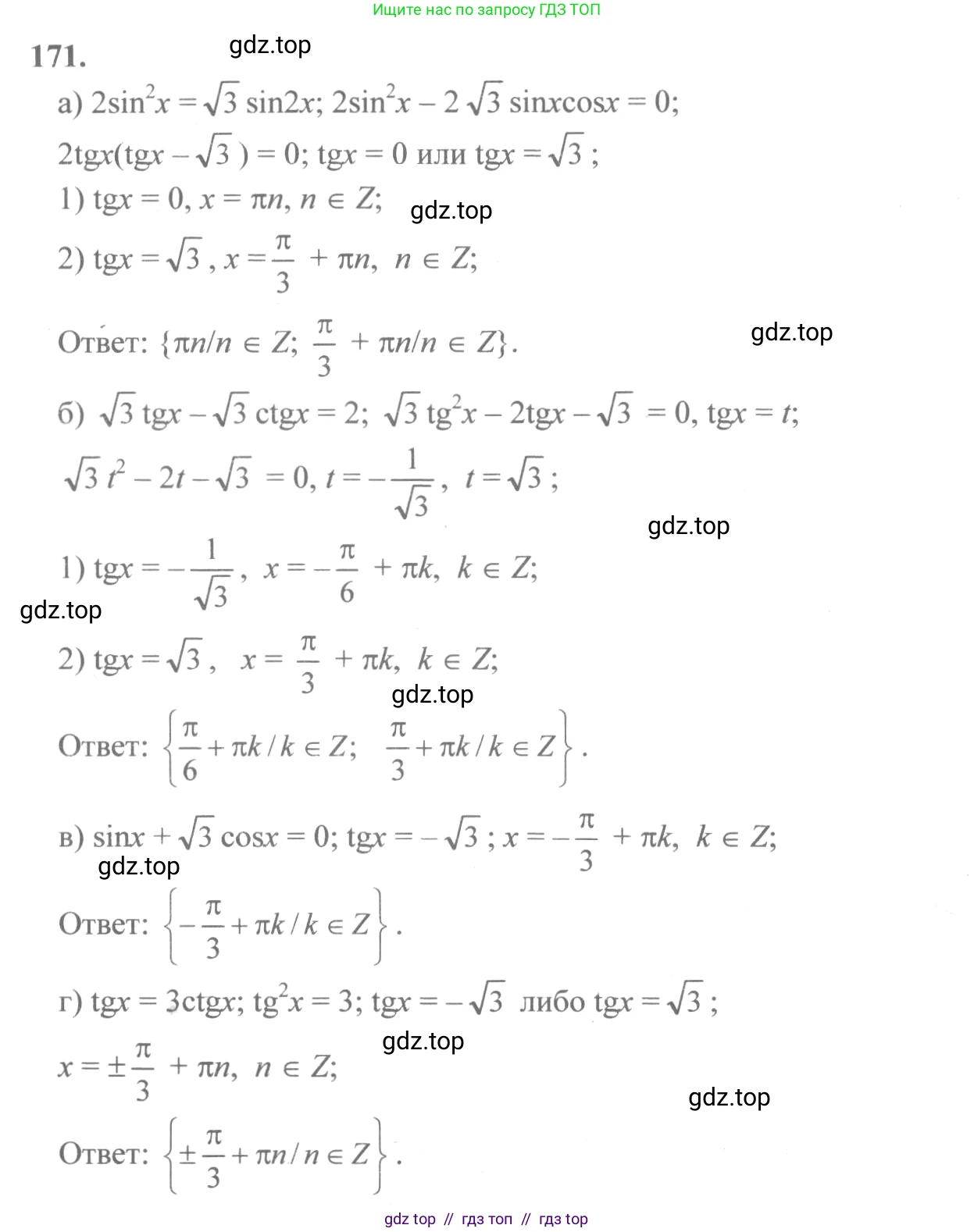
                                                                                                                                        171.-
a) $2\sin^2 x = \sqrt{3}\sin 2x;$
б) $\sqrt{3}\operatorname{tg} x - \sqrt{3}\operatorname{ctg} x = 2;$
в) $\sin x + \sqrt{3}\cos x = 0;$
г) $\operatorname{tg} x = 3\operatorname{ctg} x.$
Решение 1. №171 (с. 84)
 
                                                                                                                        Решение 3. №171 (с. 84)
 
                                                                                                                        Решение 4. №171 (с. 84)
 
                                                                                                                        Решение 5. №171 (с. 84)
а) $2 \sin^2 x = \sqrt{3} \sin 2x$
Используем формулу синуса двойного угла $\sin 2x = 2 \sin x \cos x$:
$2 \sin^2 x = \sqrt{3} (2 \sin x \cos x)$
Перенесем все в левую часть и вынесем общий множитель за скобки:
$2 \sin^2 x - 2\sqrt{3} \sin x \cos x = 0$
$2 \sin x (\sin x - \sqrt{3} \cos x) = 0$
Произведение равно нулю, когда хотя бы один из множителей равен нулю. Таким образом, получаем два уравнения:
1) $2 \sin x = 0 \implies \sin x = 0$
Решением этого уравнения является $x = \pi n$, где $n \in \mathbb{Z}$.
2) $\sin x - \sqrt{3} \cos x = 0$
Заметим, что $\cos x \neq 0$, иначе из уравнения следовало бы, что $\sin x = 0$, что противоречит основному тригонометрическому тождеству $\sin^2 x + \cos^2 x = 1$. Разделим обе части уравнения на $\cos x$:
$\frac{\sin x}{\cos x} - \sqrt{3} = 0$
$\tan x = \sqrt{3}$
Решением этого уравнения является $x = \frac{\pi}{3} + \pi k$, где $k \in \mathbb{Z}$.
Объединяя решения, получаем:
Ответ: $x = \pi n, n \in \mathbb{Z}; \quad x = \frac{\pi}{3} + \pi k, k \in \mathbb{Z}$.
б) $\sqrt{3} \tan x - \sqrt{3} \cot x = 2$
Область допустимых значений (ОДЗ) для данного уравнения: $\sin x \neq 0$ и $\cos x \neq 0$, то есть $x \neq \frac{\pi}{2} k$, где $k \in \mathbb{Z}$.
Используем тождество $\cot x = \frac{1}{\tan x}$:
$\sqrt{3} \tan x - \frac{\sqrt{3}}{\tan x} = 2$
Сделаем замену $y = \tan x$. Уравнение примет вид:
$\sqrt{3} y - \frac{\sqrt{3}}{y} = 2$
Умножим обе части на $y$ (при условии $y \neq 0$, что соответствует ОДЗ):
$\sqrt{3} y^2 - \sqrt{3} = 2y$
$\sqrt{3} y^2 - 2y - \sqrt{3} = 0$
Решим это квадратное уравнение относительно $y$. Дискриминант $D = b^2 - 4ac = (-2)^2 - 4(\sqrt{3})(-\sqrt{3}) = 4 + 12 = 16$.
Корни уравнения: $y_{1,2} = \frac{-b \pm \sqrt{D}}{2a} = \frac{2 \pm \sqrt{16}}{2\sqrt{3}} = \frac{2 \pm 4}{2\sqrt{3}}$.
$y_1 = \frac{2+4}{2\sqrt{3}} = \frac{6}{2\sqrt{3}} = \frac{3}{\sqrt{3}} = \sqrt{3}$
$y_2 = \frac{2-4}{2\sqrt{3}} = \frac{-2}{2\sqrt{3}} = -\frac{1}{\sqrt{3}}$
Вернемся к замене $\tan x = y$:
1) $\tan x = \sqrt{3}$
$x = \frac{\pi}{3} + \pi n$, где $n \in \mathbb{Z}$.
2) $\tan x = -\frac{1}{\sqrt{3}}$
$x = -\frac{\pi}{6} + \pi k$, где $k \in \mathbb{Z}$.
Оба набора решений удовлетворяют ОДЗ.
Ответ: $x = \frac{\pi}{3} + \pi n, n \in \mathbb{Z}; \quad x = -\frac{\pi}{6} + \pi k, k \in \mathbb{Z}$.
в) $\sin x + \sqrt{3} \cos x = 0$
Это однородное тригонометрическое уравнение первой степени. Заметим, что $\cos x \neq 0$, так как если $\cos x = 0$, то $\sin x$ должен быть равен нулю, что невозможно одновременно ($\sin^2 x + \cos^2 x = 1$). Разделим обе части уравнения на $\cos x$:
$\frac{\sin x}{\cos x} + \frac{\sqrt{3}\cos x}{\cos x} = 0$
$\tan x + \sqrt{3} = 0$
$\tan x = -\sqrt{3}$
Решением этого уравнения является:
$x = -\frac{\pi}{3} + \pi n$, где $n \in \mathbb{Z}$.
Ответ: $x = -\frac{\pi}{3} + \pi n, n \in \mathbb{Z}$.
г) $\tan x = 3 \cot x$
Область допустимых значений (ОДЗ): $x \neq \frac{\pi}{2} k, k \in \mathbb{Z}$.
Заменим $\cot x$ на $\frac{1}{\tan x}$:
$\tan x = 3 \cdot \frac{1}{\tan x}$
Умножим обе части на $\tan x$ (при условии $\tan x \neq 0$, что соответствует ОДЗ):
$\tan^2 x = 3$
Извлечем квадратный корень из обеих частей:
$\tan x = \sqrt{3}$ или $\tan x = -\sqrt{3}$
Решения для этих двух случаев:
1) $\tan x = \sqrt{3} \implies x = \frac{\pi}{3} + \pi k, k \in \mathbb{Z}$.
2) $\tan x = -\sqrt{3} \implies x = -\frac{\pi}{3} + \pi m, m \in \mathbb{Z}$.
Эти две серии решений можно объединить в одну запись:
$x = \pm \frac{\pi}{3} + \pi n$, где $n \in \mathbb{Z}$.
Ответ: $x = \pm \frac{\pi}{3} + \pi n, n \in \mathbb{Z}$.
Другие задания:
Помогло решение? Оставьте отзыв в комментариях ниже.
Присоединяйтесь к Телеграм-группе @top_gdz
ПрисоединитьсяМы подготовили для вас ответ c подробным объяснением домашего задания по алгебре за 10-11 класс, для упражнения номер 171 расположенного на странице 84 к учебнику 2008 года издания для учащихся школ и гимназий.
Теперь на нашем сайте ГДЗ.ТОП вы всегда легко и бесплатно найдёте условие с правильным ответом на вопрос «Как решить ДЗ» и «Как сделать» задание по алгебре к упражнению №171 (с. 84), авторов: Колмогоров (Андрей Николаевич), Абрамов (Александр Михайлович), Дудницын (Юрий Павлович), учебного пособия издательства Просвещение.
 
                     
                     
                     
                     
                     
                     
                     
                     
                     
                     
                     
                     
                     
                     
                     
                     
                     
                     
                    