Номер 168, страница 84 - гдз по алгебре 10-11 класс учебник Колмогоров, Абрамов
 
                                                Авторы: Колмогоров А. Н., Абрамов А. М., Дудницын Ю. П.
Тип: Учебник
Издательство: Просвещение
Год издания: 2008 - 2025
Цвет обложки: зелёный, чёрный
ISBN: 978-5-09-019513-3
Рекомендовано Министерством образования и науки Российской Федерации
Алгебра и начала математического анализа
Популярные ГДЗ в 10 классе
Глава 1. Тригонометрические функции. Параграф 3. Решение тригонометрических уравнений и неравенств - номер 168, страница 84.
№168 (с. 84)
Условие. №168 (с. 84)
скриншот условия
 
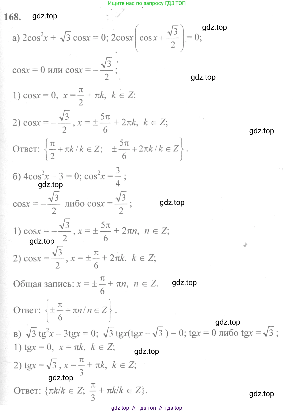
                                                                                                                                        168. a) $2 \cos^2 x + \sqrt{3} \cos x = 0;$
б) $4 \cos^2 x - 3 = 0;$
в) $\sqrt{3} \operatorname{tg}^2 x - 3 \operatorname{tg} x = 0;$
г) $4 \sin^2 x - 1 = 0.$
Решение 1. №168 (с. 84)
 
                                                                            
                                                                                                         
                                                                                                                        Решение 3. №168 (с. 84)
 
                                                                                                                        Решение 4. №168 (с. 84)
 
                                                                                                                        Решение 5. №168 (с. 84)
а) $2\cos^2 x + \sqrt{3}\cos x = 0$
Это неполное квадратное уравнение относительно $\cos x$. Вынесем общий множитель $\cos x$ за скобки:
$\cos x (2\cos x + \sqrt{3}) = 0$
Произведение равно нулю, когда хотя бы один из множителей равен нулю. Получаем два уравнения:
1) $\cos x = 0$
Это частный случай. Решения этого уравнения:
$x = \frac{\pi}{2} + \pi k, \quad k \in \mathbb{Z}$
2) $2\cos x + \sqrt{3} = 0$
$2\cos x = -\sqrt{3}$
$\cos x = -\frac{\sqrt{3}}{2}$
Решения этого уравнения находятся по формуле $x = \pm \arccos(a) + 2\pi n$:
$x = \pm \arccos(-\frac{\sqrt{3}}{2}) + 2\pi n, \quad n \in \mathbb{Z}$
$x = \pm (\pi - \arccos(\frac{\sqrt{3}}{2})) + 2\pi n$
$x = \pm (\pi - \frac{\pi}{6}) + 2\pi n$
$x = \pm \frac{5\pi}{6} + 2\pi n, \quad n \in \mathbb{Z}$
Объединяем решения обоих уравнений.
Ответ: $x = \frac{\pi}{2} + \pi k, \quad x = \pm \frac{5\pi}{6} + 2\pi n, \quad k, n \in \mathbb{Z}$.
б) $4\cos^2 x - 3 = 0$
Выразим $\cos^2 x$:
$4\cos^2 x = 3$
$\cos^2 x = \frac{3}{4}$
Извлечем квадратный корень из обеих частей уравнения:
$\cos x = \pm \sqrt{\frac{3}{4}}$
$\cos x = \pm \frac{\sqrt{3}}{2}$
Получаем совокупность двух уравнений:
1) $\cos x = \frac{\sqrt{3}}{2}$
$x = \pm \arccos(\frac{\sqrt{3}}{2}) + 2\pi k$
$x = \pm \frac{\pi}{6} + 2\pi k, \quad k \in \mathbb{Z}$
2) $\cos x = -\frac{\sqrt{3}}{2}$
$x = \pm \arccos(-\frac{\sqrt{3}}{2}) + 2\pi n$
$x = \pm \frac{5\pi}{6} + 2\pi n, \quad n \in \mathbb{Z}$
Эти четыре серии решений ($\frac{\pi}{6}, -\frac{\pi}{6}, \frac{5\pi}{6}, -\frac{5\pi}{6}$) можно объединить в одну более компактную формулу.
Ответ: $x = \pm \frac{\pi}{6} + \pi m, \quad m \in \mathbb{Z}$.
в) $\sqrt{3}\tg^2 x - 3\tg x = 0$
Это неполное квадратное уравнение относительно $\tg x$. Вынесем общий множитель $\tg x$ за скобки:
$\tg x (\sqrt{3}\tg x - 3) = 0$
Произведение равно нулю, когда хотя бы один из множителей равен нулю. Получаем два уравнения:
1) $\tg x = 0$
Решения этого уравнения:
$x = \pi k, \quad k \in \mathbb{Z}$
2) $\sqrt{3}\tg x - 3 = 0$
$\sqrt{3}\tg x = 3$
$\tg x = \frac{3}{\sqrt{3}} = \sqrt{3}$
Решения этого уравнения находятся по формуле $x = \arctan(a) + \pi n$:
$x = \arctan(\sqrt{3}) + \pi n$
$x = \frac{\pi}{3} + \pi n, \quad n \in \mathbb{Z}$
Объединяем решения обоих уравнений.
Ответ: $x = \pi k, \quad x = \frac{\pi}{3} + \pi n, \quad k, n \in \mathbb{Z}$.
г) $4\sin^2 x - 1 = 0$
Выразим $\sin^2 x$:
$4\sin^2 x = 1$
$\sin^2 x = \frac{1}{4}$
Извлечем квадратный корень из обеих частей уравнения:
$\sin x = \pm \sqrt{\frac{1}{4}}$
$\sin x = \pm \frac{1}{2}$
Получаем совокупность двух уравнений:
1) $\sin x = \frac{1}{2}$
Решения по формуле $x = (-1)^k \arcsin(a) + \pi k$:
$x = (-1)^k \frac{\pi}{6} + \pi k, \quad k \in \mathbb{Z}$
2) $\sin x = -\frac{1}{2}$
$x = (-1)^n \arcsin(-\frac{1}{2}) + \pi n$
$x = (-1)^n (-\frac{\pi}{6}) + \pi n$
$x = (-1)^{n+1} \frac{\pi}{6} + \pi n, \quad n \in \mathbb{Z}$
Решения первого уравнения соответствуют углам $\frac{\pi}{6}$ и $\frac{5\pi}{6}$. Решения второго — углам $-\frac{\pi}{6}$ (или $\frac{11\pi}{6}$) и $\frac{7\pi}{6}$. Все эти серии решений можно объединить.
Ответ: $x = \pm \frac{\pi}{6} + \pi m, \quad m \in \mathbb{Z}$.
Другие задания:
Помогло решение? Оставьте отзыв в комментариях ниже.
Присоединяйтесь к Телеграм-группе @top_gdz
ПрисоединитьсяМы подготовили для вас ответ c подробным объяснением домашего задания по алгебре за 10-11 класс, для упражнения номер 168 расположенного на странице 84 к учебнику 2008 года издания для учащихся школ и гимназий.
Теперь на нашем сайте ГДЗ.ТОП вы всегда легко и бесплатно найдёте условие с правильным ответом на вопрос «Как решить ДЗ» и «Как сделать» задание по алгебре к упражнению №168 (с. 84), авторов: Колмогоров (Андрей Николаевич), Абрамов (Александр Михайлович), Дудницын (Юрий Павлович), учебного пособия издательства Просвещение.
 
                     
                     
                     
                     
                     
                     
                     
                     
                     
                     
                     
                     
                     
                     
                     
                     
                     
                     
                    