Номер 175, страница 84 - гдз по алгебре 10-11 класс учебник Колмогоров, Абрамов
 
                                                Авторы: Колмогоров А. Н., Абрамов А. М., Дудницын Ю. П.
Тип: Учебник
Издательство: Просвещение
Год издания: 2008 - 2025
Цвет обложки: зелёный, чёрный
ISBN: 978-5-09-019513-3
Рекомендовано Министерством образования и науки Российской Федерации
Алгебра и начала математического анализа
Популярные ГДЗ в 10 классе
Глава 1. Тригонометрические функции. Параграф 3. Решение тригонометрических уравнений и неравенств - номер 175, страница 84.
№175 (с. 84)
Условие. №175 (с. 84)
скриншот условия
 
                                                                                                                                        Решите системы уравнений (175—176).
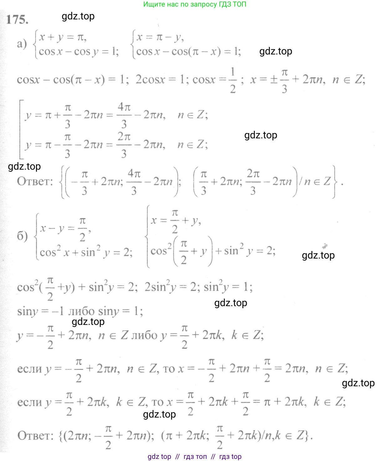
175. a) $\begin{cases} x + y = \pi \\ \cos x - \cos y = 1 \end{cases}$
б) $\begin{cases} x - y = \frac{\pi}{2} \\ \cos^2 x + \sin^2 y = 2 \end{cases}$
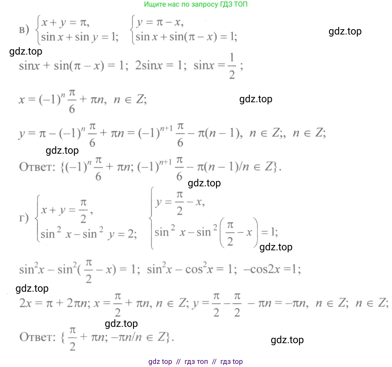
в) $\begin{cases} x + y = \pi \\ \sin x + \sin y = 1 \end{cases}$
г) $\begin{cases} x + y = \frac{\pi}{2} \\ \sin^2 x - \sin^2 y = 1 \end{cases}$
Решение 1. №175 (с. 84)
 
                                                                            
                                                                                                         
                                                                                                                        Решение 3. №175 (с. 84)
 
                                                                            
                                                                                                         
                                                                                                                        Решение 4. №175 (с. 84)
 
                                                                            
                                                                                                         
                                                                            
                                                                                                         
                                                                                                                        Решение 5. №175 (с. 84)
а)
Дана система уравнений:$\begin{cases}x + y = \pi, \\\cos x - \cos y = 1\end{cases}$
Преобразуем второе уравнение, используя формулу разности косинусов $\cos \alpha - \cos \beta = -2\sin\frac{\alpha+\beta}{2}\sin\frac{\alpha-\beta}{2}$:
$-2\sin\frac{x+y}{2}\sin\frac{x-y}{2} = 1$
Из первого уравнения системы известно, что $x+y = \pi$. Подставим это значение в преобразованное второе уравнение:
$-2\sin\frac{\pi}{2}\sin\frac{x-y}{2} = 1$
Так как $\sin\frac{\pi}{2}=1$, получаем:
$-2 \cdot \sin\frac{x-y}{2} = 1$
$\sin\frac{x-y}{2} = -\frac{1}{2}$
Отсюда находим возможные значения для $\frac{x-y}{2}$:
1) $\frac{x-y}{2} = -\frac{\pi}{6} + 2\pi k \implies x-y = -\frac{\pi}{3} + 4\pi k$, где $k \in \mathbb{Z}$.
2) $\frac{x-y}{2} = \pi - (-\frac{\pi}{6}) + 2\pi k = \frac{7\pi}{6} + 2\pi k \implies x-y = \frac{7\pi}{3} + 4\pi k$, где $k \in \mathbb{Z}$.
Теперь решим две системы линейных уравнений, чтобы найти $x$ и $y$ для каждого случая.
Случай 1:
$\begin{cases}x + y = \pi \\x - y = -\frac{\pi}{3} + 4\pi k\end{cases}$
Складывая уравнения, получаем: $2x = \pi - \frac{\pi}{3} + 4\pi k = \frac{2\pi}{3} + 4\pi k$, откуда $x = \frac{\pi}{3} + 2\pi k$.
Вычитая второе уравнение из первого, получаем: $2y = \pi - (-\frac{\pi}{3} + 4\pi k) = \frac{4\pi}{3} - 4\pi k$, откуда $y = \frac{2\pi}{3} - 2\pi k$.
Случай 2:
$\begin{cases}x + y = \pi \\x - y = \frac{7\pi}{3} + 4\pi k\end{cases}$
Складывая уравнения, получаем: $2x = \pi + \frac{7\pi}{3} + 4\pi k = \frac{10\pi}{3} + 4\pi k$, откуда $x = \frac{5\pi}{3} + 2\pi k$.
Вычитая второе уравнение из первого, получаем: $2y = \pi - (\frac{7\pi}{3} + 4\pi k) = -\frac{4\pi}{3} - 4\pi k$, откуда $y = -\frac{2\pi}{3} - 2\pi k$.
Ответ: $(\frac{\pi}{3} + 2\pi k, \frac{2\pi}{3} - 2\pi k)$, $(\frac{5\pi}{3} + 2\pi n, -\frac{2\pi}{3} - 2\pi n)$, где $k, n \in \mathbb{Z}$.
б)
Дана система уравнений:$\begin{cases}x - y = \frac{\pi}{2}, \\\cos^2 x + \sin^2 y = 2\end{cases}$
Рассмотрим второе уравнение: $\cos^2 x + \sin^2 y = 2$.
Поскольку максимальное значение для $\cos^2 x$ равно 1 и максимальное значение для $\sin^2 y$ также равно 1, их сумма может быть равна 2 только в том случае, если оба слагаемых равны 1 одновременно.
$\cos^2 x = 1$ и $\sin^2 y = 1$.
Из $\cos^2 x = 1$ следует, что $\cos x = \pm 1$, что соответствует $x = \pi k$ для любого целого $k \in \mathbb{Z}$.
Из $\sin^2 y = 1$ следует, что $\sin y = \pm 1$, что соответствует $y = \frac{\pi}{2} + \pi n$ для любого целого $n \in \mathbb{Z}$.
Теперь подставим эти общие решения в первое уравнение системы, чтобы найти связь между $k$ и $n$:
$x - y = \frac{\pi}{2}$
$\pi k - (\frac{\pi}{2} + \pi n) = \frac{\pi}{2}$
$\pi k - \frac{\pi}{2} - \pi n = \frac{\pi}{2}$
$\pi k - \pi n = \pi$
Разделив на $\pi$, получим: $k - n = 1$, или $n = k - 1$.
Теперь выразим $y$ через $k$:
$y = \frac{\pi}{2} + \pi n = \frac{\pi}{2} + \pi(k-1) = \frac{\pi}{2} + \pi k - \pi = -\frac{\pi}{2} + \pi k$.
Решения системы имеют вид:
$x = \pi k, \quad y = -\frac{\pi}{2} + \pi k$, где $k \in \mathbb{Z}$.
Ответ: $(\pi k, -\frac{\pi}{2} + \pi k)$, $k \in \mathbb{Z}$.
в)
Дана система уравнений:$\begin{cases}x + y = \pi, \\\sin x + \sin y = 1\end{cases}$
Преобразуем второе уравнение, используя формулу суммы синусов $\sin \alpha + \sin \beta = 2\sin\frac{\alpha+\beta}{2}\cos\frac{\alpha-\beta}{2}$:
$2\sin\frac{x+y}{2}\cos\frac{x-y}{2} = 1$
Из первого уравнения системы известно, что $x+y = \pi$. Подставим это значение:
$2\sin\frac{\pi}{2}\cos\frac{x-y}{2} = 1$
$2 \cdot 1 \cdot \cos\frac{x-y}{2} = 1$
$\cos\frac{x-y}{2} = \frac{1}{2}$
Отсюда находим возможные значения для $\frac{x-y}{2}$:
$\frac{x-y}{2} = \pm\frac{\pi}{3} + 2\pi k$, где $k \in \mathbb{Z}$.
Это дает нам два случая для разности $x-y$:
1) $x-y = \frac{2\pi}{3} + 4\pi k$
2) $x-y = -\frac{2\pi}{3} + 4\pi k$
Теперь решим две системы линейных уравнений.
Случай 1:
$\begin{cases}x + y = \pi \\x - y = \frac{2\pi}{3} + 4\pi k\end{cases}$
Складывая уравнения, получаем: $2x = \pi + \frac{2\pi}{3} + 4\pi k = \frac{5\pi}{3} + 4\pi k$, откуда $x = \frac{5\pi}{6} + 2\pi k$.
Вычитая второе уравнение из первого: $2y = \pi - (\frac{2\pi}{3} + 4\pi k) = \frac{\pi}{3} - 4\pi k$, откуда $y = \frac{\pi}{6} - 2\pi k$.
Случай 2:
$\begin{cases}x + y = \pi \\x - y = -\frac{2\pi}{3} + 4\pi k\end{cases}$
Складывая уравнения, получаем: $2x = \pi - \frac{2\pi}{3} + 4\pi k = \frac{\pi}{3} + 4\pi k$, откуда $x = \frac{\pi}{6} + 2\pi k$.
Вычитая второе уравнение из первого: $2y = \pi - (-\frac{2\pi}{3} + 4\pi k) = \frac{5\pi}{3} - 4\pi k$, откуда $y = \frac{5\pi}{6} - 2\pi k$.
Ответ: $(\frac{5\pi}{6} + 2\pi k, \frac{\pi}{6} - 2\pi k)$, $(\frac{\pi}{6} + 2\pi n, \frac{5\pi}{6} - 2\pi n)$, где $k, n \in \mathbb{Z}$.
г)
Дана система уравнений:$\begin{cases}x + y = \frac{\pi}{2}, \\\sin^2 x - \sin^2 y = 1\end{cases}$
Рассмотрим второе уравнение: $\sin^2 x - \sin^2 y = 1$.
Поскольку $0 \le \sin^2 x \le 1$ и $0 \le \sin^2 y \le 1$, равенство может выполняться только в одном случае: когда $\sin^2 x$ принимает максимальное значение, а $\sin^2 y$ — минимальное.
Следовательно, $\sin^2 x = 1$ и $\sin^2 y = 0$.
Из $\sin^2 x = 1$ следует, что $\sin x = \pm 1$, что соответствует $x = \frac{\pi}{2} + \pi k$ для любого целого $k \in \mathbb{Z}$.
Из $\sin^2 y = 0$ следует, что $\sin y = 0$, что соответствует $y = \pi n$ для любого целого $n \in \mathbb{Z}$.
Теперь подставим эти общие решения в первое уравнение системы, чтобы найти связь между $k$ и $n$:
$x + y = \frac{\pi}{2}$
$(\frac{\pi}{2} + \pi k) + \pi n = \frac{\pi}{2}$
$\pi k + \pi n = 0$
$\pi(k+n) = 0$
$k+n = 0$, или $n = -k$.
Теперь выразим $y$ через $k$:
$y = \pi n = \pi(-k) = -\pi k$.
Решения системы имеют вид:
$x = \frac{\pi}{2} + \pi k, \quad y = -\pi k$, где $k \in \mathbb{Z}$.
Ответ: $(\frac{\pi}{2} + \pi k, -\pi k)$, $k \in \mathbb{Z}$.
Другие задания:
Помогло решение? Оставьте отзыв в комментариях ниже.
Присоединяйтесь к Телеграм-группе @top_gdz
ПрисоединитьсяМы подготовили для вас ответ c подробным объяснением домашего задания по алгебре за 10-11 класс, для упражнения номер 175 расположенного на странице 84 к учебнику 2008 года издания для учащихся школ и гимназий.
Теперь на нашем сайте ГДЗ.ТОП вы всегда легко и бесплатно найдёте условие с правильным ответом на вопрос «Как решить ДЗ» и «Как сделать» задание по алгебре к упражнению №175 (с. 84), авторов: Колмогоров (Андрей Николаевич), Абрамов (Александр Михайлович), Дудницын (Юрий Павлович), учебного пособия издательства Просвещение.
 
                     
                     
                     
                     
                     
                     
                     
                     
                     
                     
                     
                     
                     
                     
                     
                     
                     
                     
                    