Номер 169, страница 84 - гдз по алгебре 10-11 класс учебник Колмогоров, Абрамов
 
                                                Авторы: Колмогоров А. Н., Абрамов А. М., Дудницын Ю. П.
Тип: Учебник
Издательство: Просвещение
Год издания: 2008 - 2025
Цвет обложки: зелёный, чёрный
ISBN: 978-5-09-019513-3
Рекомендовано Министерством образования и науки Российской Федерации
Алгебра и начала математического анализа
Популярные ГДЗ в 10 классе
Глава 1. Тригонометрические функции. Параграф 3. Решение тригонометрических уравнений и неравенств - номер 169, страница 84.
№169 (с. 84)
Условие. №169 (с. 84)
скриншот условия
 
                                                                                                                                        Решите уравнения (169—174).
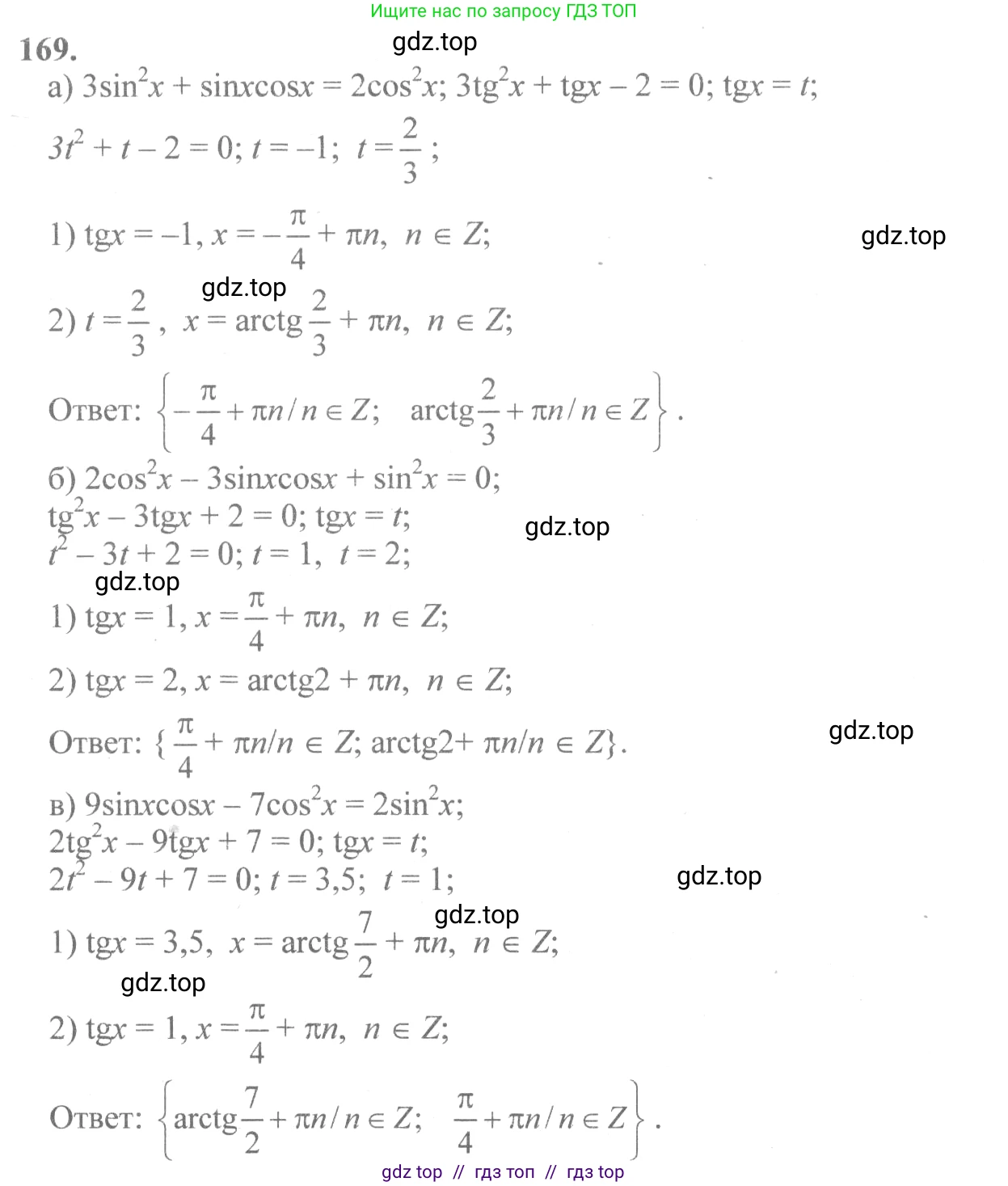
169.— a) $3 \sin^2 x + \sin x \cos x = 2 \cos^2 x;$
б) $2 \cos^2 x - 3 \sin x \cos x + \sin^2 x = 0;$
в) $9 \sin x \cos x - 7 \cos^2 x = 2 \sin^2 x;$
г) $2 \sin^2 x - \sin x \cos x = \cos^2 x.$
Решение 1. №169 (с. 84)
 
                                                                            
                                                                                                         
                                                                                                                        Решение 3. №169 (с. 84)
 
                                                                                                                        Решение 4. №169 (с. 84)
 
                                                                            
                                                                                                         
                                                                                                                        Решение 5. №169 (с. 84)
а) $3 \sin^2 x + \sin x \cos x = 2 \cos^2 x$
Данное уравнение является однородным тригонометрическим уравнением второй степени. Перенесем все слагаемые в левую часть:
$3 \sin^2 x + \sin x \cos x - 2 \cos^2 x = 0$
Проверим, являются ли решениями уравнения значения $x$, при которых $\cos x = 0$. Если $\cos x = 0$, то $\sin^2 x = 1$. Подставим эти значения в уравнение:
$3 \cdot 1 + 0 - 2 \cdot 0 = 3$
Поскольку $3 \neq 0$, значения $x$, для которых $\cos x = 0$, не являются корнями уравнения. Следовательно, мы можем разделить обе части уравнения на $\cos^2 x$, не равный нулю.
$3 \frac{\sin^2 x}{\cos^2 x} + \frac{\sin x \cos x}{\cos^2 x} - 2 \frac{\cos^2 x}{\cos^2 x} = 0$
Используя тождество $\tan x = \frac{\sin x}{\cos x}$, получаем:
$3 \tan^2 x + \tan x - 2 = 0$
Введем замену $t = \tan x$. Уравнение примет вид квадратного:
$3t^2 + t - 2 = 0$
Решим это уравнение через дискриминант:
$D = b^2 - 4ac = 1^2 - 4 \cdot 3 \cdot (-2) = 1 + 24 = 25 = 5^2$
$t_1 = \frac{-b - \sqrt{D}}{2a} = \frac{-1 - 5}{2 \cdot 3} = \frac{-6}{6} = -1$
$t_2 = \frac{-b + \sqrt{D}}{2a} = \frac{-1 + 5}{2 \cdot 3} = \frac{4}{6} = \frac{2}{3}$
Теперь вернемся к исходной переменной:
1) $\tan x = -1 \implies x = \arctan(-1) + \pi n = -\frac{\pi}{4} + \pi n$, где $n \in \mathbb{Z}$.
2) $\tan x = \frac{2}{3} \implies x = \arctan\left(\frac{2}{3}\right) + \pi n$, где $n \in \mathbb{Z}$.
Ответ: $x = -\frac{\pi}{4} + \pi n$; $x = \arctan\left(\frac{2}{3}\right) + \pi n$, $n \in \mathbb{Z}$.
б) $2 \cos^2 x - 3 \sin x \cos x + \sin^2 x = 0$
Это однородное тригонометрическое уравнение второй степени. Проверим случай $\cos x = 0$. Если $\cos x = 0$, то $\sin^2 x = 1$. Подставим в уравнение:
$2 \cdot 0 - 3 \cdot 0 + 1 = 1$
Так как $1 \neq 0$, то $\cos x \neq 0$. Разделим обе части уравнения на $\cos^2 x$:
$2 \frac{\cos^2 x}{\cos^2 x} - 3 \frac{\sin x \cos x}{\cos^2 x} + \frac{\sin^2 x}{\cos^2 x} = 0$
$2 - 3 \tan x + \tan^2 x = 0$
Перепишем в стандартном виде и сделаем замену $t = \tan x$:
$t^2 - 3t + 2 = 0$
Это приведенное квадратное уравнение. По теореме Виета, сумма корней равна 3, а произведение равно 2. Корни: $t_1 = 1$, $t_2 = 2$.
Возвращаемся к замене:
1) $\tan x = 1 \implies x = \arctan(1) + \pi n = \frac{\pi}{4} + \pi n$, где $n \in \mathbb{Z}$.
2) $\tan x = 2 \implies x = \arctan(2) + \pi n$, где $n \in \mathbb{Z}$.
Ответ: $x = \frac{\pi}{4} + \pi n$; $x = \arctan(2) + \pi n$, $n \in \mathbb{Z}$.
в) $9 \sin x \cos x - 7 \cos^2 x = 2 \sin^2 x$
Перенесем все члены уравнения в одну сторону, чтобы получить однородное уравнение:
$2 \sin^2 x - 9 \sin x \cos x + 7 \cos^2 x = 0$
Проверим случай $\cos x = 0$. Если $\cos x = 0$, то $\sin^2 x = 1$. Подставляем:
$2 \cdot 1 - 9 \cdot 0 + 7 \cdot 0 = 2$
Поскольку $2 \neq 0$, $\cos x \neq 0$. Разделим уравнение на $\cos^2 x$:
$2 \frac{\sin^2 x}{\cos^2 x} - 9 \frac{\sin x \cos x}{\cos^2 x} + 7 \frac{\cos^2 x}{\cos^2 x} = 0$
$2 \tan^2 x - 9 \tan x + 7 = 0$
Сделаем замену $t = \tan x$:
$2t^2 - 9t + 7 = 0$
Решим квадратное уравнение. Дискриминант:
$D = (-9)^2 - 4 \cdot 2 \cdot 7 = 81 - 56 = 25 = 5^2$
$t_1 = \frac{9 - 5}{2 \cdot 2} = \frac{4}{4} = 1$
$t_2 = \frac{9 + 5}{2 \cdot 2} = \frac{14}{4} = \frac{7}{2}$
Возвращаемся к переменной $x$:
1) $\tan x = 1 \implies x = \frac{\pi}{4} + \pi n$, где $n \in \mathbb{Z}$.
2) $\tan x = \frac{7}{2} \implies x = \arctan\left(\frac{7}{2}\right) + \pi n$, где $n \in \mathbb{Z}$.
Ответ: $x = \frac{\pi}{4} + \pi n$; $x = \arctan\left(\frac{7}{2}\right) + \pi n$, $n \in \mathbb{Z}$.
г) $2 \sin^2 x - \sin x \cos x = \cos^2 x$
Перенесем $\cos^2 x$ в левую часть:
$2 \sin^2 x - \sin x \cos x - \cos^2 x = 0$
Это однородное уравнение второй степени. Проверим, может ли $\cos x$ быть равен нулю. Если $\cos x = 0$, то $\sin^2 x = 1$.
$2 \cdot 1 - 0 - 0 = 2$
Так как $2 \neq 0$, то $\cos x \neq 0$. Делим обе части уравнения на $\cos^2 x$:
$2 \frac{\sin^2 x}{\cos^2 x} - \frac{\sin x \cos x}{\cos^2 x} - \frac{\cos^2 x}{\cos^2 x} = 0$
$2 \tan^2 x - \tan x - 1 = 0$
Выполним замену $t = \tan x$:
$2t^2 - t - 1 = 0$
Найдем корни с помощью дискриминанта:
$D = (-1)^2 - 4 \cdot 2 \cdot (-1) = 1 + 8 = 9 = 3^2$
$t_1 = \frac{1 + 3}{2 \cdot 2} = \frac{4}{4} = 1$
$t_2 = \frac{1 - 3}{2 \cdot 2} = \frac{-2}{4} = -\frac{1}{2}$
Производим обратную замену:
1) $\tan x = 1 \implies x = \frac{\pi}{4} + \pi n$, где $n \in \mathbb{Z}$.
2) $\tan x = -\frac{1}{2} \implies x = \arctan\left(-\frac{1}{2}\right) + \pi n = -\arctan\left(\frac{1}{2}\right) + \pi n$, где $n \in \mathbb{Z}$.
Ответ: $x = \frac{\pi}{4} + \pi n$; $x = -\arctan\left(\frac{1}{2}\right) + \pi n$, $n \in \mathbb{Z}$.
Другие задания:
Помогло решение? Оставьте отзыв в комментариях ниже.
Присоединяйтесь к Телеграм-группе @top_gdz
ПрисоединитьсяМы подготовили для вас ответ c подробным объяснением домашего задания по алгебре за 10-11 класс, для упражнения номер 169 расположенного на странице 84 к учебнику 2008 года издания для учащихся школ и гимназий.
Теперь на нашем сайте ГДЗ.ТОП вы всегда легко и бесплатно найдёте условие с правильным ответом на вопрос «Как решить ДЗ» и «Как сделать» задание по алгебре к упражнению №169 (с. 84), авторов: Колмогоров (Андрей Николаевич), Абрамов (Александр Михайлович), Дудницын (Юрий Павлович), учебного пособия издательства Просвещение.
 
                     
                     
                     
                     
                     
                     
                     
                     
                     
                     
                     
                     
                     
                     
                     
                     
                     
                     
                    