Номер 166, страница 83 - гдз по алгебре 10-11 класс учебник Колмогоров, Абрамов
 
                                                Авторы: Колмогоров А. Н., Абрамов А. М., Дудницын Ю. П.
Тип: Учебник
Издательство: Просвещение
Год издания: 2008 - 2025
Цвет обложки: зелёный, чёрный
ISBN: 978-5-09-019513-3
Рекомендовано Министерством образования и науки Российской Федерации
Алгебра и начала математического анализа
Популярные ГДЗ в 10 классе
Глава 1. Тригонометрические функции. Параграф 3. Решение тригонометрических уравнений и неравенств - номер 166, страница 83.
№166 (с. 83)
Условие. №166 (с. 83)
скриншот условия
 
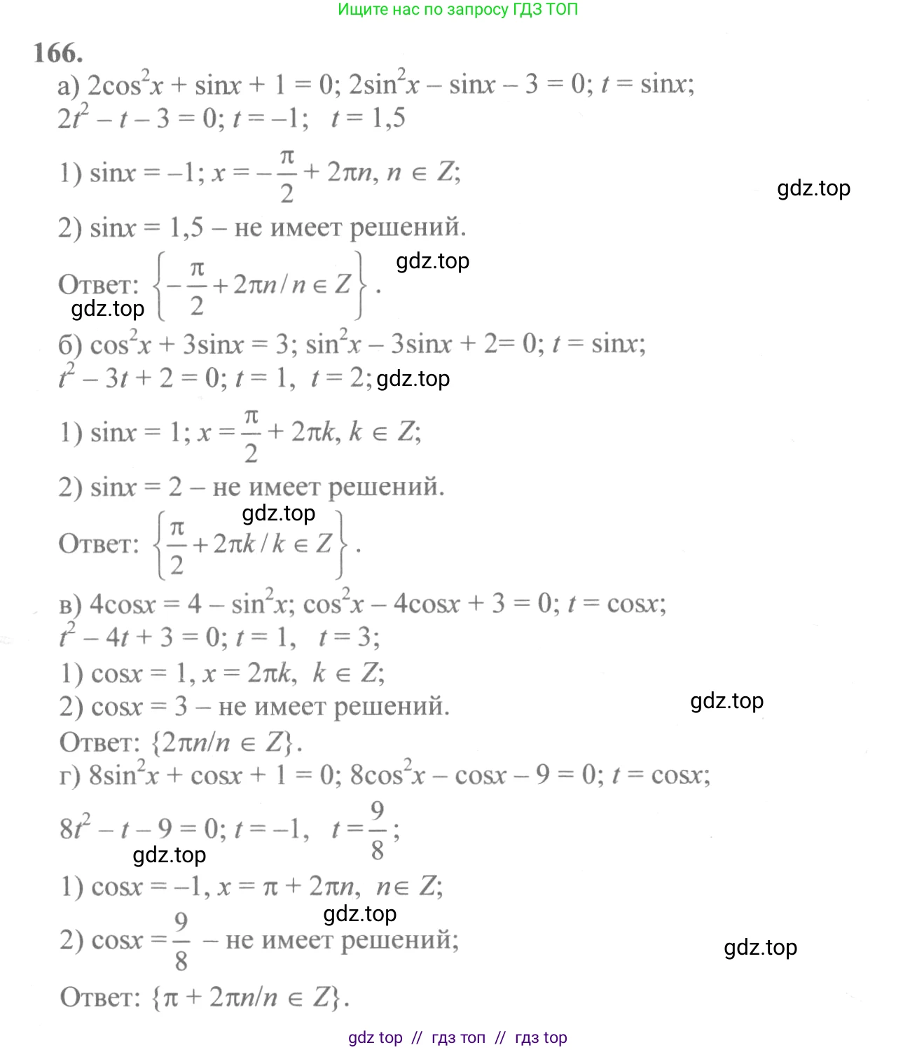
                                                                                                                                        166. а) $2 \cos^2 x + \sin x + 1 = 0$;
б) $\cos^2 x + 3 \sin x = 3$;
в) $4 \cos x = 4 - \sin^2 x$;
г) $8 \sin^2 x + \cos x + 1 = 0$.
Решение 1. №166 (с. 83)
 
                                                                                                                        Решение 3. №166 (с. 83)
 
                                                                                                                        Решение 4. №166 (с. 83)
 
                                                                                                                        Решение 5. №166 (с. 83)
а) $2 \cos^2 x + \sin x + 1 = 0$
Для решения данного уравнения воспользуемся основным тригонометрическим тождеством: $\cos^2 x + \sin^2 x = 1$, из которого следует, что $\cos^2 x = 1 - \sin^2 x$.
Подставим это выражение в исходное уравнение:
$2(1 - \sin^2 x) + \sin x + 1 = 0$
Раскроем скобки и приведем подобные слагаемые:
$2 - 2\sin^2 x + \sin x + 1 = 0$
$-2\sin^2 x + \sin x + 3 = 0$
Умножим обе части уравнения на -1 для удобства:
$2\sin^2 x - \sin x - 3 = 0$
Сделаем замену переменной. Пусть $t = \sin x$. Учитывая, что область значений синуса $[-1, 1]$, должно выполняться условие $|t| \le 1$.
Получаем квадратное уравнение:
$2t^2 - t - 3 = 0$
Найдем корни этого уравнения с помощью дискриминанта:
$D = b^2 - 4ac = (-1)^2 - 4 \cdot 2 \cdot (-3) = 1 + 24 = 25$
$t_1 = \frac{-b + \sqrt{D}}{2a} = \frac{1 + 5}{2 \cdot 2} = \frac{6}{4} = \frac{3}{2}$
$t_2 = \frac{-b - \sqrt{D}}{2a} = \frac{1 - 5}{2 \cdot 2} = \frac{-4}{4} = -1$
Теперь вернемся к исходной переменной $x$.
1. $t_1 = \frac{3}{2}$. Получаем уравнение $\sin x = \frac{3}{2}$. Это уравнение не имеет решений, так как $\frac{3}{2} > 1$, что выходит за пределы области значений функции синус.
2. $t_2 = -1$. Получаем уравнение $\sin x = -1$. Это простейшее тригонометрическое уравнение, его решение:
$x = -\frac{\pi}{2} + 2\pi k$, где $k \in \mathbb{Z}$.
Ответ: $x = -\frac{\pi}{2} + 2\pi k, k \in \mathbb{Z}$.
б) $\cos^2 x + 3 \sin x = 3$
Заменим $\cos^2 x$ на $1 - \sin^2 x$ с помощью основного тригонометрического тождества:
$(1 - \sin^2 x) + 3 \sin x = 3$
Перенесем все члены в левую часть и приведем подобные:
$-\sin^2 x + 3 \sin x + 1 - 3 = 0$
$-\sin^2 x + 3 \sin x - 2 = 0$
Умножим на -1:
$\sin^2 x - 3 \sin x + 2 = 0$
Сделаем замену $t = \sin x$, где $|t| \le 1$.
$t^2 - 3t + 2 = 0$
Это приведенное квадратное уравнение, которое легко решается по теореме Виета: сумма корней равна 3, а их произведение равно 2. Корни: $t_1 = 1$ и $t_2 = 2$.
Выполним обратную замену:
1. $\sin x = 2$. Уравнение не имеет решений, так как $2 > 1$.
2. $\sin x = 1$. Решение этого уравнения:
$x = \frac{\pi}{2} + 2\pi k$, где $k \in \mathbb{Z}$.
Ответ: $x = \frac{\pi}{2} + 2\pi k, k \in \mathbb{Z}$.
в) $4 \cos x = 4 - \sin^2 x$
Используем тождество $\sin^2 x = 1 - \cos^2 x$:
$4 \cos x = 4 - (1 - \cos^2 x)$
$4 \cos x = 4 - 1 + \cos^2 x$
$4 \cos x = 3 + \cos^2 x$
Перенесем все в одну сторону, чтобы получить квадратное уравнение относительно $\cos x$:
$\cos^2 x - 4 \cos x + 3 = 0$
Сделаем замену $t = \cos x$, где $|t| \le 1$.
$t^2 - 4t + 3 = 0$
По теореме Виета, корни уравнения: $t_1 = 1$ и $t_2 = 3$.
Выполним обратную замену:
1. $\cos x = 3$. Уравнение не имеет решений, так как $3 > 1$.
2. $\cos x = 1$. Решение этого уравнения:
$x = 2\pi k$, где $k \in \mathbb{Z}$.
Ответ: $x = 2\pi k, k \in \mathbb{Z}$.
г) $8 \sin^2 x + \cos x + 1 = 0$
Заменим $\sin^2 x$ на $1 - \cos^2 x$:
$8(1 - \cos^2 x) + \cos x + 1 = 0$
$8 - 8\cos^2 x + \cos x + 1 = 0$
$-8\cos^2 x + \cos x + 9 = 0$
Умножим на -1:
$8\cos^2 x - \cos x - 9 = 0$
Сделаем замену $t = \cos x$, где $|t| \le 1$.
$8t^2 - t - 9 = 0$
Решим квадратное уравнение через дискриминант:
$D = (-1)^2 - 4 \cdot 8 \cdot (-9) = 1 + 288 = 289 = 17^2$
$t_1 = \frac{1 + 17}{2 \cdot 8} = \frac{18}{16} = \frac{9}{8}$
$t_2 = \frac{1 - 17}{2 \cdot 8} = \frac{-16}{16} = -1$
Выполним обратную замену:
1. $\cos x = \frac{9}{8}$. Уравнение не имеет решений, так как $\frac{9}{8} > 1$.
2. $\cos x = -1$. Решение этого уравнения:
$x = \pi + 2\pi k$, где $k \in \mathbb{Z}$.
Ответ: $x = \pi + 2\pi k, k \in \mathbb{Z}$.
Другие задания:
Помогло решение? Оставьте отзыв в комментариях ниже.
Присоединяйтесь к Телеграм-группе @top_gdz
ПрисоединитьсяМы подготовили для вас ответ c подробным объяснением домашего задания по алгебре за 10-11 класс, для упражнения номер 166 расположенного на странице 83 к учебнику 2008 года издания для учащихся школ и гимназий.
Теперь на нашем сайте ГДЗ.ТОП вы всегда легко и бесплатно найдёте условие с правильным ответом на вопрос «Как решить ДЗ» и «Как сделать» задание по алгебре к упражнению №166 (с. 83), авторов: Колмогоров (Андрей Николаевич), Абрамов (Александр Михайлович), Дудницын (Юрий Павлович), учебного пособия издательства Просвещение.
 
                     
                     
                     
                     
                     
                     
                     
                     
                     
                     
                     
                     
                     
                     
                     
                     
                     
                     
                    