Номер 170, страница 84 - гдз по алгебре 10-11 класс учебник Колмогоров, Абрамов
 
                                                Авторы: Колмогоров А. Н., Абрамов А. М., Дудницын Ю. П.
Тип: Учебник
Издательство: Просвещение
Год издания: 2008 - 2025
Цвет обложки: зелёный, чёрный
ISBN: 978-5-09-019513-3
Рекомендовано Министерством образования и науки Российской Федерации
Алгебра и начала математического анализа
Популярные ГДЗ в 10 классе
Глава 1. Тригонометрические функции. Параграф 3. Решение тригонометрических уравнений и неравенств - номер 170, страница 84.
№170 (с. 84)
Условие. №170 (с. 84)
скриншот условия
 
                                                                                                                                        170.—
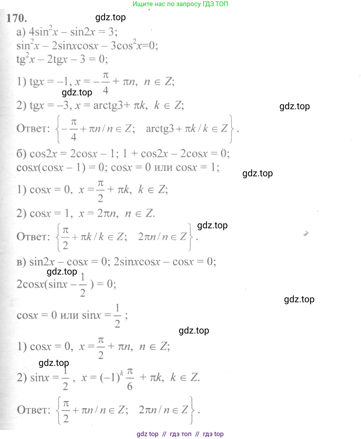
а) $4 \sin^2 x - \sin 2x = 3;$
б) $\cos 2x = 2 \cos x - 1;$
в) $\sin 2x - \cos x = 0;$
г) $\sin 2x + 4 \cos^2 x = 1.$
Решение 1. №170 (с. 84)
 
                                                                            
                                                                                                         
                                                                                                                        Решение 3. №170 (с. 84)
 
                                                                                                                        Решение 4. №170 (с. 84)
 
                                                                            
                                                                                                         
                                                                                                                        Решение 5. №170 (с. 84)
а) $4 \sin^2 x - \sin 2x = 3$
Используем формулу синуса двойного угла $\sin 2x = 2 \sin x \cos x$ и основное тригонометрическое тождество, представив число 3 как $3 \cdot 1 = 3(\sin^2 x + \cos^2 x)$.
Подставим эти выражения в исходное уравнение:
$4 \sin^2 x - 2 \sin x \cos x = 3(\sin^2 x + \cos^2 x)$
$4 \sin^2 x - 2 \sin x \cos x = 3 \sin^2 x + 3 \cos^2 x$
Перенесем все слагаемые в левую часть и приведем подобные:
$(4 \sin^2 x - 3 \sin^2 x) - 2 \sin x \cos x - 3 \cos^2 x = 0$
$\sin^2 x - 2 \sin x \cos x - 3 \cos^2 x = 0$
Получили однородное тригонометрическое уравнение второй степени. Проверим, является ли $\cos x = 0$ решением. Если $\cos x = 0$, то $x = \frac{\pi}{2} + \pi k, k \in \mathbb{Z}$, и $\sin^2 x = 1$. Подставив в уравнение, получим $1 - 2 \cdot (\pm 1) \cdot 0 - 3 \cdot 0 = 1 \neq 0$. Значит, $\cos x \neq 0$.
Разделим обе части уравнения на $\cos^2 x$ (так как $\cos x \neq 0$):
$\frac{\sin^2 x}{\cos^2 x} - \frac{2 \sin x \cos x}{\cos^2 x} - \frac{3 \cos^2 x}{\cos^2 x} = 0$
$\tan^2 x - 2 \tan x - 3 = 0$
Сделаем замену $t = \tan x$. Получим квадратное уравнение:
$t^2 - 2t - 3 = 0$
Решим его. Дискриминант $D = (-2)^2 - 4 \cdot 1 \cdot (-3) = 4 + 12 = 16$.
$t_1 = \frac{2 - \sqrt{16}}{2} = \frac{2 - 4}{2} = -1$
$t_2 = \frac{2 + \sqrt{16}}{2} = \frac{2 + 4}{2} = 3$
Вернемся к замене:
1) $\tan x = -1 \implies x = \arctan(-1) + \pi k = -\frac{\pi}{4} + \pi k, k \in \mathbb{Z}$
2) $\tan x = 3 \implies x = \arctan 3 + \pi n, n \in \mathbb{Z}$
Ответ: $x = -\frac{\pi}{4} + \pi k, k \in \mathbb{Z}$; $x = \arctan 3 + \pi n, n \in \mathbb{Z}$.
б) $\cos 2x = 2 \cos x - 1$
Используем формулу косинуса двойного угла: $\cos 2x = 2 \cos^2 x - 1$.
Подставим в уравнение:
$2 \cos^2 x - 1 = 2 \cos x - 1$
Перенесем все слагаемые в левую часть:
$2 \cos^2 x - 2 \cos x = 0$
Вынесем общий множитель $2 \cos x$ за скобки:
$2 \cos x (\cos x - 1) = 0$
Произведение равно нулю, когда хотя бы один из множителей равен нулю:
1) $\cos x = 0 \implies x = \frac{\pi}{2} + \pi n, n \in \mathbb{Z}$
2) $\cos x - 1 = 0 \implies \cos x = 1 \implies x = 2\pi k, k \in \mathbb{Z}$
Ответ: $x = \frac{\pi}{2} + \pi n, n \in \mathbb{Z}$; $x = 2\pi k, k \in \mathbb{Z}$.
в) $\sin 2x - \cos x = 0$
Используем формулу синуса двойного угла: $\sin 2x = 2 \sin x \cos x$.
Подставим в уравнение:
$2 \sin x \cos x - \cos x = 0$
Вынесем общий множитель $\cos x$ за скобки:
$\cos x (2 \sin x - 1) = 0$
Произведение равно нулю, когда хотя бы один из множителей равен нулю:
1) $\cos x = 0 \implies x = \frac{\pi}{2} + \pi n, n \in \mathbb{Z}$
2) $2 \sin x - 1 = 0 \implies \sin x = \frac{1}{2} \implies x = (-1)^k \frac{\pi}{6} + \pi k, k \in \mathbb{Z}$
Ответ: $x = \frac{\pi}{2} + \pi n, n \in \mathbb{Z}$; $x = (-1)^k \frac{\pi}{6} + \pi k, k \in \mathbb{Z}$.
г) $\sin 2x + 4 \cos^2 x = 1$
Используем формулу синуса двойного угла $\sin 2x = 2 \sin x \cos x$ и основное тригонометрическое тождество $1 = \sin^2 x + \cos^2 x$.
Подставим в уравнение:
$2 \sin x \cos x + 4 \cos^2 x = \sin^2 x + \cos^2 x$
Перенесем все слагаемые в одну сторону, например, в правую:
$0 = \sin^2 x - 2 \sin x \cos x + \cos^2 x - 4 \cos^2 x$
$\sin^2 x - 2 \sin x \cos x - 3 \cos^2 x = 0$
Получили однородное тригонометрическое уравнение, аналогичное уравнению в пункте а). Убедимся, что $\cos x \neq 0$. Если $\cos x = 0$, то $\sin^2 x = 1$. Уравнение принимает вид $1 - 0 - 0 = 1 \neq 0$. Значит, можно разделить на $\cos^2 x$.
$\frac{\sin^2 x}{\cos^2 x} - \frac{2 \sin x \cos x}{\cos^2 x} - \frac{3 \cos^2 x}{\cos^2 x} = 0$
$\tan^2 x - 2 \tan x - 3 = 0$
Сделаем замену $t = \tan x$, получим $t^2 - 2t - 3 = 0$.
Корни этого уравнения: $t_1 = -1$ и $t_2 = 3$.
Вернемся к замене:
1) $\tan x = -1 \implies x = -\frac{\pi}{4} + \pi k, k \in \mathbb{Z}$
2) $\tan x = 3 \implies x = \arctan 3 + \pi n, n \in \mathbb{Z}$
Ответ: $x = -\frac{\pi}{4} + \pi k, k \in \mathbb{Z}$; $x = \arctan 3 + \pi n, n \in \mathbb{Z}$.
Другие задания:
Помогло решение? Оставьте отзыв в комментариях ниже.
Присоединяйтесь к Телеграм-группе @top_gdz
ПрисоединитьсяМы подготовили для вас ответ c подробным объяснением домашего задания по алгебре за 10-11 класс, для упражнения номер 170 расположенного на странице 84 к учебнику 2008 года издания для учащихся школ и гимназий.
Теперь на нашем сайте ГДЗ.ТОП вы всегда легко и бесплатно найдёте условие с правильным ответом на вопрос «Как решить ДЗ» и «Как сделать» задание по алгебре к упражнению №170 (с. 84), авторов: Колмогоров (Андрей Николаевич), Абрамов (Александр Михайлович), Дудницын (Юрий Павлович), учебного пособия издательства Просвещение.
 
                     
                     
                     
                     
                     
                     
                     
                     
                     
                     
                     
                     
                     
                     
                     
                     
                     
                     
                    