Номер 172, страница 84 - гдз по алгебре 10-11 класс учебник Колмогоров, Абрамов
 
                                                Авторы: Колмогоров А. Н., Абрамов А. М., Дудницын Ю. П.
Тип: Учебник
Издательство: Просвещение
Год издания: 2008 - 2025
Цвет обложки: зелёный, чёрный
ISBN: 978-5-09-019513-3
Рекомендовано Министерством образования и науки Российской Федерации
Алгебра и начала математического анализа
Популярные ГДЗ в 10 классе
Глава 1. Тригонометрические функции. Параграф 3. Решение тригонометрических уравнений и неравенств - номер 172, страница 84.
№172 (с. 84)
Условие. №172 (с. 84)
скриншот условия
 
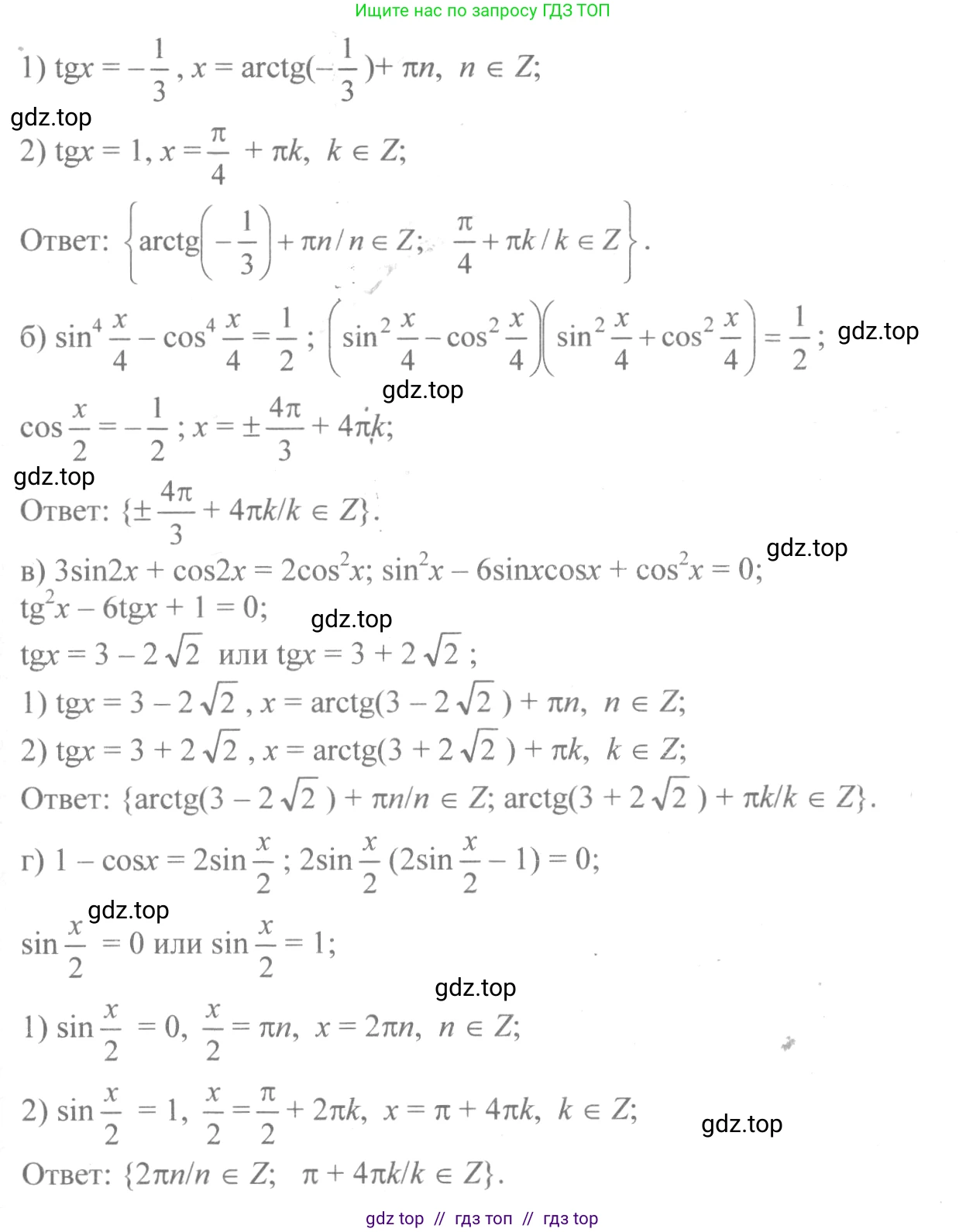
                                                                                                                                        172.—
а) $\sin 2x + 2 \cos 2x = 1;$
б) $\sin^4 \frac{x}{4} - \cos^4 \frac{x}{4} = \frac{1}{2};$
в) $3 \sin 2x + \cos 2x = 2 \cos^2 x;$
г) $1 - \cos x = 2 \sin \frac{x}{2}.$
Решение 1. №172 (с. 84)
 
                                                                            
                                                                                                         
                                                                                                                        Решение 3. №172 (с. 84)
 
                                                                                                                        Решение 4. №172 (с. 84)
 
                                                                            
                                                                                                         
                                                                                                                        Решение 5. №172 (с. 84)
а) Исходное уравнение: $ \sin 2x + 2 \cos 2x = 1 $.
Воспользуемся формулами двойного угла, выраженными через тангенс половинного угла. Пусть $ t = \tan x $. Тогда $ \sin 2x = \frac{2t}{1+t^2} $ и $ \cos 2x = \frac{1-t^2}{1+t^2} $. Данная подстановка возможна, если $ \cos x \ne 0 $, то есть $ x \ne \frac{\pi}{2} + \pi k, k \in \mathbb{Z} $. Проверим, являются ли эти значения решениями. Если $ x = \frac{\pi}{2} + \pi k $, то $ 2x = \pi + 2\pi k $. Тогда $ \sin 2x = 0 $ и $ \cos 2x = -1 $. Подставим в уравнение: $ 0 + 2(-1) = -2 \ne 1 $. Значит, эти значения не являются решениями, и мы не потеряем корни.
Подставляем выражения для синуса и косинуса в уравнение:
$ \frac{2t}{1+t^2} + 2 \frac{1-t^2}{1+t^2} = 1 $
Умножим обе части на $ 1+t^2 \ne 0 $:
$ 2t + 2(1-t^2) = 1+t^2 $
$ 2t + 2 - 2t^2 = 1+t^2 $
$ 3t^2 - 2t - 1 = 0 $
Это квадратное уравнение относительно $ t $. Найдем его корни:
Дискриминант $ D = (-2)^2 - 4 \cdot 3 \cdot (-1) = 4 + 12 = 16 = 4^2 $.
$ t_1 = \frac{2 - 4}{2 \cdot 3} = \frac{-2}{6} = -\frac{1}{3} $
$ t_2 = \frac{2 + 4}{2 \cdot 3} = \frac{6}{6} = 1 $
Возвращаемся к переменной $ x $:
1) $ \tan x = 1 \implies x = \frac{\pi}{4} + \pi n, n \in \mathbb{Z} $.
2) $ \tan x = -\frac{1}{3} \implies x = \arctan(-\frac{1}{3}) + \pi k = -\arctan(\frac{1}{3}) + \pi k, k \in \mathbb{Z} $.
Ответ: $ x = \frac{\pi}{4} + \pi n, x = -\arctan(\frac{1}{3}) + \pi k, n, k \in \mathbb{Z} $.
б) Исходное уравнение: $ \sin^4 \frac{x}{4} - \cos^4 \frac{x}{4} = \frac{1}{2} $.
Разложим левую часть по формуле разности квадратов $ a^2 - b^2 = (a-b)(a+b) $. В нашем случае $ a = \sin^2 \frac{x}{4} $ и $ b = \cos^2 \frac{x}{4} $.
$ (\sin^2 \frac{x}{4} - \cos^2 \frac{x}{4})(\sin^2 \frac{x}{4} + \cos^2 \frac{x}{4}) = \frac{1}{2} $
Используем основное тригонометрическое тождество $ \sin^2 \alpha + \cos^2 \alpha = 1 $ и формулу косинуса двойного угла $ \cos(2\alpha) = \cos^2 \alpha - \sin^2 \alpha $.
Вторая скобка равна 1: $ \sin^2 \frac{x}{4} + \cos^2 \frac{x}{4} = 1 $.
Первая скобка: $ \sin^2 \frac{x}{4} - \cos^2 \frac{x}{4} = -(\cos^2 \frac{x}{4} - \sin^2 \frac{x}{4}) = -\cos(2 \cdot \frac{x}{4}) = -\cos(\frac{x}{2}) $.
Уравнение принимает вид:
$ -\cos(\frac{x}{2}) \cdot 1 = \frac{1}{2} $
$ \cos(\frac{x}{2}) = -\frac{1}{2} $
Это простейшее тригонометрическое уравнение. Его решение:
$ \frac{x}{2} = \pm \arccos(-\frac{1}{2}) + 2\pi n, n \in \mathbb{Z} $
$ \frac{x}{2} = \pm \frac{2\pi}{3} + 2\pi n, n \in \mathbb{Z} $
Умножим на 2, чтобы найти $ x $:
$ x = \pm \frac{4\pi}{3} + 4\pi n, n \in \mathbb{Z} $.
Ответ: $ x = \pm \frac{4\pi}{3} + 4\pi n, n \in \mathbb{Z} $.
в) Исходное уравнение: $ 3 \sin 2x + \cos 2x = 2 \cos^2 x $.
Используем формулу понижения степени для косинуса: $ 2 \cos^2 x = 1 + \cos 2x $.
Подставим это выражение в правую часть уравнения:
$ 3 \sin 2x + \cos 2x = 1 + \cos 2x $
Вычтем $ \cos 2x $ из обеих частей уравнения:
$ 3 \sin 2x = 1 $
$ \sin 2x = \frac{1}{3} $
Это простейшее тригонометрическое уравнение. Решение для $ \sin \theta = a $ имеет вид $ \theta = (-1)^n \arcsin(a) + \pi n, n \in \mathbb{Z} $.
$ 2x = (-1)^n \arcsin(\frac{1}{3}) + \pi n, n \in \mathbb{Z} $
Разделим обе части на 2, чтобы найти $ x $:
$ x = \frac{(-1)^n}{2} \arcsin(\frac{1}{3}) + \frac{\pi n}{2}, n \in \mathbb{Z} $.
Ответ: $ x = \frac{(-1)^n}{2} \arcsin(\frac{1}{3}) + \frac{\pi n}{2}, n \in \mathbb{Z} $.
г) Исходное уравнение: $ 1 - \cos x = 2 \sin \frac{x}{2} $.
Воспользуемся формулой половинного угла для левой части: $ 1 - \cos x = 2 \sin^2 \frac{x}{2} $.
Подставим это в уравнение:
$ 2 \sin^2 \frac{x}{2} = 2 \sin \frac{x}{2} $
Перенесем все члены в левую часть и разделим на 2:
$ \sin^2 \frac{x}{2} - \sin \frac{x}{2} = 0 $
Вынесем общий множитель $ \sin \frac{x}{2} $ за скобки:
$ \sin \frac{x}{2} (\sin \frac{x}{2} - 1) = 0 $
Произведение равно нулю, когда хотя бы один из множителей равен нулю. Получаем два случая:
1) $ \sin \frac{x}{2} = 0 $
$ \frac{x}{2} = \pi n, n \in \mathbb{Z} $
$ x = 2\pi n, n \in \mathbb{Z} $.
2) $ \sin \frac{x}{2} - 1 = 0 \implies \sin \frac{x}{2} = 1 $
$ \frac{x}{2} = \frac{\pi}{2} + 2\pi k, k \in \mathbb{Z} $
$ x = \pi + 4\pi k, k \in \mathbb{Z} $.
Объединяем решения из двух случаев.
Ответ: $ x = 2\pi n, x = \pi + 4\pi k, n, k \in \mathbb{Z} $.
Другие задания:
Помогло решение? Оставьте отзыв в комментариях ниже.
Присоединяйтесь к Телеграм-группе @top_gdz
ПрисоединитьсяМы подготовили для вас ответ c подробным объяснением домашего задания по алгебре за 10-11 класс, для упражнения номер 172 расположенного на странице 84 к учебнику 2008 года издания для учащихся школ и гимназий.
Теперь на нашем сайте ГДЗ.ТОП вы всегда легко и бесплатно найдёте условие с правильным ответом на вопрос «Как решить ДЗ» и «Как сделать» задание по алгебре к упражнению №172 (с. 84), авторов: Колмогоров (Андрей Николаевич), Абрамов (Александр Михайлович), Дудницын (Юрий Павлович), учебного пособия издательства Просвещение.
 
                     
                     
                     
                     
                     
                     
                     
                     
                     
                     
                     
                     
                     
                     
                     
                     
                     
                     
                    