Номер 28.44, страница 104, часть 2 - гдз по алгебре 10-11 класс задачник Мордкович, Семенов


Авторы: Мордкович А. Г., Семенов П. В., Денищева Л. О., Корешкова Т. А., Мишустина Т. Н., Тульчинская Е. Е.
Тип: Задачник
Издательство: Мнемозина
Год издания: 2019 - 2025
Уровень обучения: базовый
Часть: 2
Цвет обложки:
ISBN: 978-5-346-04509-0 (общ.), 978-5-346-04510-6 (ч. 1), 978-5-346-04511-3 (ч. 2)
Рекомендовано Министерством образования и науки Российской Федерации
Математика: алгебра и начала математического анализа, геометрия
Популярные ГДЗ в 10 классе
§28. Вычисление производных. Глава 5. Производная. ч. 2 - номер 28.44, страница 104.
№28.44 (с. 104)
Условие. №28.44 (с. 104)
скриншот условия

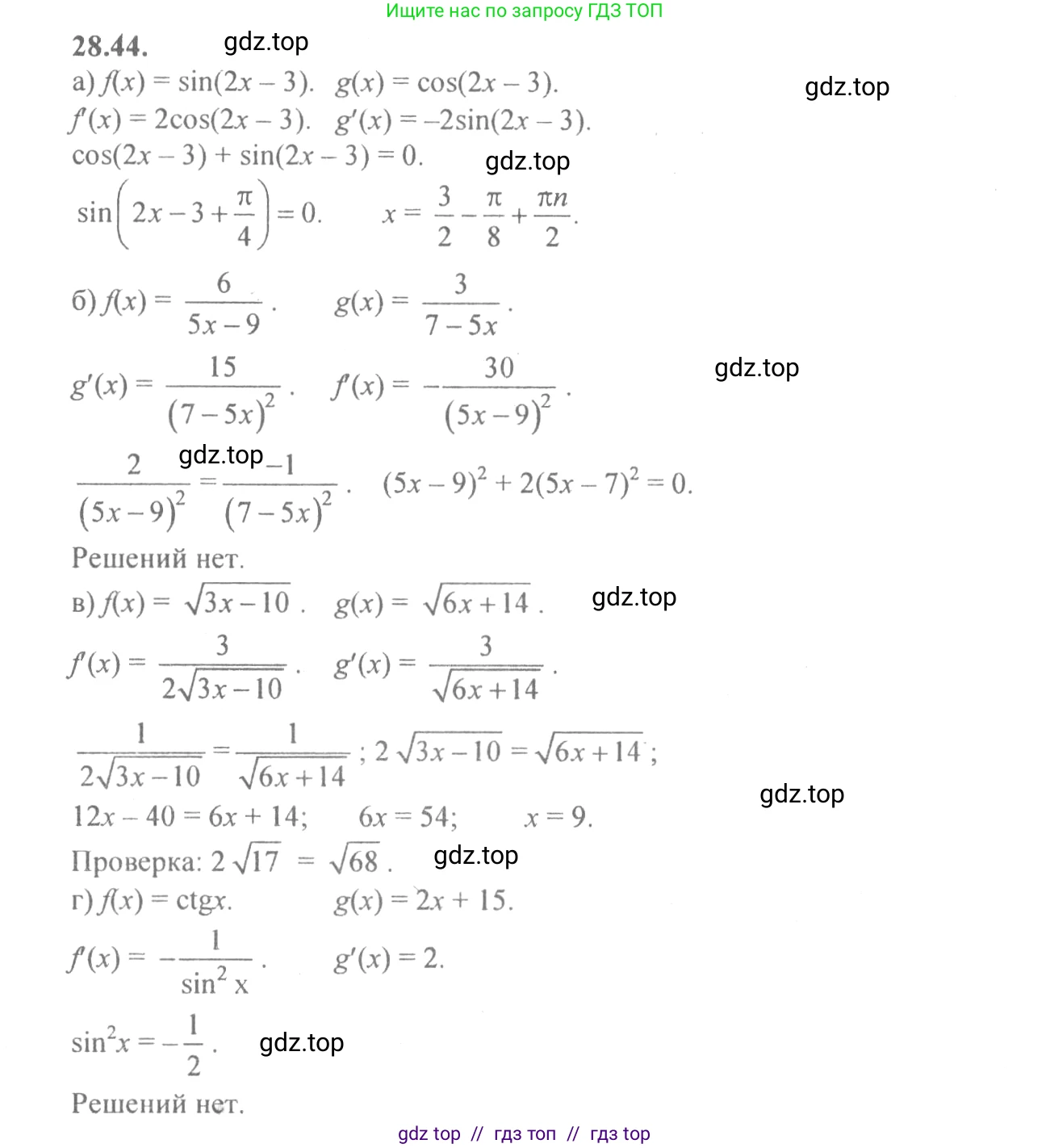
28.44 Найдите значения аргумента, удовлетворяющие условию $f'(x) = g'(x)$, если:
а) $f(x) = \sin(2x - 3)$, $g(x) = \cos(2x - 3)$;
б) $f(x) = \frac{6}{5x - 9}$, $g(x) = \frac{3}{7 - 5x}$;
в) $f(x) = \sqrt{3x - 10}$, $g(x) = \sqrt{14 + 6x}$;
г) $f(x) = \text{ctg} x$, $g(x) = 2x + 15$.
Решение 1. №28.44 (с. 104)

Решение 2. №28.44 (с. 104)


Решение 3. №28.44 (с. 104)

Решение 5. №28.44 (с. 104)



Решение 6. №28.44 (с. 104)
а) Даны функции $f(x) = \sin(2x - 3)$ и $g(x) = \cos(2x - 3)$.
Чтобы найти значения аргумента, удовлетворяющие условию $f'(x) = g'(x)$, сначала найдем производные этих функций.
Производная функции $f(x)$ находится по правилу дифференцирования сложной функции:
$f'(x) = (\sin(2x - 3))' = \cos(2x - 3) \cdot (2x - 3)' = 2\cos(2x - 3)$.
Аналогично, производная функции $g(x)$:
$g'(x) = (\cos(2x - 3))' = -\sin(2x - 3) \cdot (2x - 3)' = -2\sin(2x - 3)$.
Теперь приравняем производные:
$2\cos(2x - 3) = -2\sin(2x - 3)$.
Разделим обе части уравнения на 2:
$\cos(2x - 3) = -\sin(2x - 3)$.
Если $\cos(2x - 3) \neq 0$, разделим обе части на $\cos(2x - 3)$:
$1 = -\frac{\sin(2x - 3)}{\cos(2x - 3)}$.
$1 = -\tan(2x - 3)$, что равносильно $\tan(2x - 3) = -1$.
(Заметим, что если $\cos(2x - 3) = 0$, то $\sin(2x - 3) = \pm 1$, и исходное уравнение $\cos(2x - 3) = -\sin(2x - 3)$ примет вид $0 = \mp 1$, что неверно. Значит, деление на $\cos(2x-3)$ было правомерно).
Решаем уравнение $\tan(2x - 3) = -1$:
$2x - 3 = \arctan(-1) + \pi n$, где $n \in \mathbb{Z}$.
$2x - 3 = -\frac{\pi}{4} + \pi n$.
Выразим $x$:
$2x = 3 - \frac{\pi}{4} + \pi n$.
$x = \frac{3}{2} - \frac{\pi}{8} + \frac{\pi n}{2}$, где $n \in \mathbb{Z}$.
Ответ: $x = \frac{3}{2} - \frac{\pi}{8} + \frac{\pi n}{2}, n \in \mathbb{Z}$.
б) Даны функции $f(x) = \frac{6}{5x - 9}$ и $g(x) = \frac{3}{7 - 5x}$.
Найдем производные данных функций. Удобно использовать правило $(\frac{k}{u})' = -\frac{k \cdot u'}{u^2}$.
Производная функции $f(x)$:
$f'(x) = \left(\frac{6}{5x - 9}\right)' = -\frac{6 \cdot (5x - 9)'}{(5x - 9)^2} = -\frac{6 \cdot 5}{(5x - 9)^2} = -\frac{30}{(5x - 9)^2}$.
Производная функции $g(x)$:
$g'(x) = \left(\frac{3}{7 - 5x}\right)' = -\frac{3 \cdot (7 - 5x)'}{(7 - 5x)^2} = -\frac{3 \cdot (-5)}{(7 - 5x)^2} = \frac{15}{(7 - 5x)^2}$.
Приравняем производные $f'(x) = g'(x)$:
$-\frac{30}{(5x - 9)^2} = \frac{15}{(7 - 5x)^2}$.
Область допустимых значений для этого уравнения определяется условиями $5x - 9 \neq 0$ и $7 - 5x \neq 0$, то есть $x \neq \frac{9}{5}$ и $x \neq \frac{7}{5}$.
В этой области знаменатели $(5x - 9)^2$ и $(7 - 5x)^2$ всегда строго положительны.
Следовательно, левая часть уравнения $-\frac{30}{(5x - 9)^2}$ всегда отрицательна, а правая часть $\frac{15}{(7 - 5x)^2}$ всегда положительна.
Отрицательное число не может равняться положительному, поэтому уравнение не имеет решений.
Ответ: таких значений аргумента не существует.
в) Даны функции $f(x) = \sqrt{3x - 10}$ и $g(x) = \sqrt{14 + 6x}$.
Найдем производные. Используем правило дифференцирования сложной функции $(\sqrt{u})' = \frac{u'}{2\sqrt{u}}$.
Производная функции $f(x)$:
$f'(x) = (\sqrt{3x - 10})' = \frac{(3x - 10)'}{2\sqrt{3x - 10}} = \frac{3}{2\sqrt{3x - 10}}$.
Производная определена при $3x - 10 > 0$, то есть $x > \frac{10}{3}$.
Производная функции $g(x)$:
$g'(x) = (\sqrt{14 + 6x})' = \frac{(14 + 6x)'}{2\sqrt{14 + 6x}} = \frac{6}{2\sqrt{14 + 6x}} = \frac{3}{\sqrt{14 + 6x}}$.
Производная определена при $14 + 6x > 0$, то есть $x > -\frac{7}{3}$.
Приравняем производные $f'(x) = g'(x)$:
$\frac{3}{2\sqrt{3x - 10}} = \frac{3}{\sqrt{14 + 6x}}$.
Область определения уравнения — это пересечение областей определения производных: $x > \frac{10}{3}$.
Разделим обе части на 3:
$\frac{1}{2\sqrt{3x - 10}} = \frac{1}{\sqrt{14 + 6x}}$.
Отсюда следует, что $2\sqrt{3x - 10} = \sqrt{14 + 6x}$.
Возведем обе части уравнения в квадрат:
$(2\sqrt{3x - 10})^2 = (\sqrt{14 + 6x})^2$.
$4(3x - 10) = 14 + 6x$.
$12x - 40 = 14 + 6x$.
$12x - 6x = 14 + 40$.
$6x = 54$.
$x = 9$.
Проверим, удовлетворяет ли корень $x=9$ области определения $x > \frac{10}{3}$. Поскольку $9 > \frac{10}{3}$ ($9 > 3.33...$), решение является верным.
Ответ: $x=9$.
г) Даны функции $f(x) = \text{ctg}\,x$ и $g(x) = 2x + 15$.
Найдем производные этих функций.
Производная функции $f(x)$:
$f'(x) = (\text{ctg}\,x)' = -\frac{1}{\sin^2 x}$.
Производная определена при $\sin x \neq 0$, то есть $x \neq \pi k$, где $k \in \mathbb{Z}$.
Производная функции $g(x)$:
$g'(x) = (2x + 15)' = 2$.
Приравняем производные $f'(x) = g'(x)$:
$-\frac{1}{\sin^2 x} = 2$.
Выразим $\sin^2 x$:
$\sin^2 x = -\frac{1}{2}$.
Квадрат любого действительного числа не может быть отрицательным, а $\sin x$ является действительным числом. Следовательно, $\sin^2 x \ge 0$.
Уравнение $\sin^2 x = -\frac{1}{2}$ не имеет действительных решений.
Ответ: таких значений аргумента не существует.
Другие задания:
Помогло решение? Оставьте отзыв в комментариях ниже.
Мы подготовили для вас ответ c подробным объяснением домашего задания по алгебре за 10-11 класс, для упражнения номер 28.44 расположенного на странице 104 для 2-й части к задачнику 2019 года издания для учащихся школ и гимназий.
Теперь на нашем сайте ГДЗ.ТОП вы всегда легко и бесплатно найдёте условие с правильным ответом на вопрос «Как решить ДЗ» и «Как сделать» задание по алгебре к упражнению №28.44 (с. 104), авторов: Мордкович (Александр Григорьевич), Семенов (Павел Владимирович), Денищева (Лариса Олеговна), Корешкова (Т А), Мишустина (Татьяна Николаевна), Тульчинская (Елена Ефимовна), 2-й части ФГОС (старый) базовый уровень обучения учебного пособия издательства Мнемозина.