Номер 28.40, страница 103, часть 2 - гдз по алгебре 10-11 класс задачник Мордкович, Семенов


Авторы: Мордкович А. Г., Семенов П. В., Денищева Л. О., Корешкова Т. А., Мишустина Т. Н., Тульчинская Е. Е.
Тип: Задачник
Издательство: Мнемозина
Год издания: 2019 - 2025
Уровень обучения: базовый
Часть: 2
Цвет обложки:
ISBN: 978-5-346-04509-0 (общ.), 978-5-346-04510-6 (ч. 1), 978-5-346-04511-3 (ч. 2)
Рекомендовано Министерством образования и науки Российской Федерации
Математика: алгебра и начала математического анализа, геометрия
Популярные ГДЗ в 10 классе
§28. Вычисление производных. Глава 5. Производная. ч. 2 - номер 28.40, страница 103.
№28.40 (с. 103)
Условие. №28.40 (с. 103)
скриншот условия

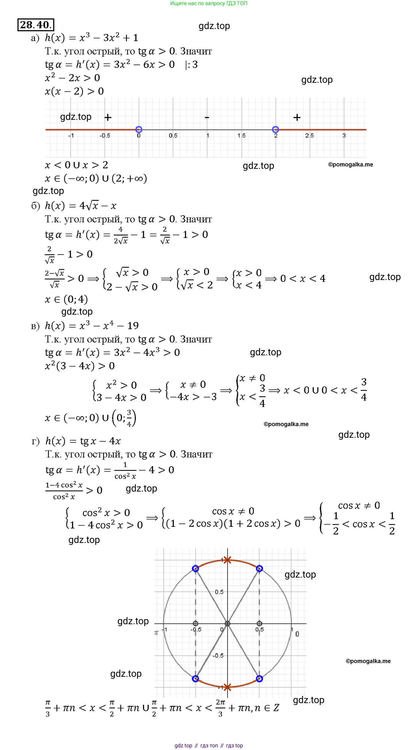
28.40 Определите абсциссы точек, в которых касательная к графику функции $y = h(x)$ образует острый угол с положительным направлением оси $x$, если:
а) $h(x) = x^3 - 3x^2 + 1;$
б) $h(x) = 4\sqrt{x} - x;$
в) $h(x) = x^3 - x^4 - 19;$
г) $h(x) = \text{tg} x - 4x.$
Решение 1. №28.40 (с. 103)

Решение 2. №28.40 (с. 103)



Решение 3. №28.40 (с. 103)

Решение 5. №28.40 (с. 103)




Решение 6. №28.40 (с. 103)
Касательная к графику функции $y = h(x)$ в точке с абсциссой $x_0$ образует с положительным направлением оси $x$ острый угол, если тангенс этого угла положителен. Тангенс угла наклона касательной равен значению производной функции в точке касания, $k = \text{tg } \alpha = h'(x_0)$. Таким образом, для нахождения абсцисс точек, в которых касательная образует острый угол с положительным направлением оси $x$, необходимо решить неравенство $h'(x) > 0$.
а) $h(x) = x^3 - 3x^2 + 1$
1. Найдем производную функции:
$h'(x) = (x^3 - 3x^2 + 1)' = 3x^2 - 6x$.
2. Решим неравенство $h'(x) > 0$:
$3x^2 - 6x > 0$
Вынесем общий множитель за скобки:
$3x(x - 2) > 0$
Корни соответствующего уравнения $3x(x - 2) = 0$ — это $x_1 = 0$ и $x_2 = 2$. Графиком функции $y = 3x^2 - 6x$ является парабола, ветви которой направлены вверх. Следовательно, значения функции положительны при $x$ вне интервала между корнями.
$x < 0$ или $x > 2$.
Ответ: $(-\infty; 0) \cup (2; +\infty)$.
б) $h(x) = 4\sqrt{x} - x$
1. Область определения функции задается условием $x \ge 0$.
2. Найдем производную функции:
$h'(x) = (4x^{1/2} - x)' = 4 \cdot \frac{1}{2}x^{-1/2} - 1 = \frac{2}{\sqrt{x}} - 1$.
Производная определена при $x > 0$.
3. Решим неравенство $h'(x) > 0$ в области $x > 0$:
$\frac{2}{\sqrt{x}} - 1 > 0$
$\frac{2}{\sqrt{x}} > 1$
Так как $\sqrt{x} > 0$ для $x > 0$, умножим обе части на $\sqrt{x}$:
$2 > \sqrt{x}$
Поскольку обе части неравенства положительны, возведем их в квадрат:
$4 > x$
Совмещая с условием $x > 0$, получаем итоговый интервал $0 < x < 4$.
Ответ: $(0; 4)$.
в) $h(x) = x^3 - x^4 - 19$
1. Найдем производную функции:
$h'(x) = (x^3 - x^4 - 19)' = 3x^2 - 4x^3$.
2. Решим неравенство $h'(x) > 0$:
$3x^2 - 4x^3 > 0$
$x^2(3 - 4x) > 0$
Выражение $x^2$ положительно для всех $x \ne 0$ и равно нулю при $x=0$. Так как неравенство строгое, случай $x=0$ не является решением. Для $x \ne 0$ можно разделить обе части на $x^2$, не меняя знака неравенства:
$3 - 4x > 0$
$3 > 4x$
$x < \frac{3}{4}$
Учитывая условие $x \ne 0$, получаем решение.
Ответ: $(-\infty; 0) \cup (0; \frac{3}{4})$.
г) $h(x) = \text{tg } x - 4x$
1. Область определения функции: все действительные числа $x$, кроме $x = \frac{\pi}{2} + \pi k$, где $k \in \mathbb{Z}$.
2. Найдем производную функции:
$h'(x) = (\text{tg } x - 4x)' = \frac{1}{\cos^2 x} - 4$.
3. Решим неравенство $h'(x) > 0$:
$\frac{1}{\cos^2 x} - 4 > 0$
$\frac{1}{\cos^2 x} > 4$
Так как в области определения $\cos^2 x > 0$, можно перевернуть дробь, изменив знак неравенства:
$\cos^2 x < \frac{1}{4}$
Извлечем квадратный корень:
$|\cos x| < \frac{1}{2}$
Это эквивалентно двойному неравенству $-\frac{1}{2} < \cos x < \frac{1}{2}$.
Решением этого неравенства являются интервалы $\frac{\pi}{3} + \pi k < x < \frac{2\pi}{3} + \pi k$, где $k \in \mathbb{Z}$.
Теперь необходимо учесть область определения функции, исключив точки $x = \frac{\pi}{2} + \pi k$. Для любого целого $k$ точка $\frac{\pi}{2} + \pi k$ находится внутри интервала $(\frac{\pi}{3} + \pi k, \frac{2\pi}{3} + \pi k)$. Поэтому каждый такой интервал нужно разбить на два, исключив эту точку.
Ответ: $\left(\frac{\pi}{3} + \pi k, \frac{\pi}{2} + \pi k\right) \cup \left(\frac{\pi}{2} + \pi k, \frac{2\pi}{3} + \pi k\right)$, где $k \in \mathbb{Z}$.
Другие задания:
Помогло решение? Оставьте отзыв в комментариях ниже.
Мы подготовили для вас ответ c подробным объяснением домашего задания по алгебре за 10-11 класс, для упражнения номер 28.40 расположенного на странице 103 для 2-й части к задачнику 2019 года издания для учащихся школ и гимназий.
Теперь на нашем сайте ГДЗ.ТОП вы всегда легко и бесплатно найдёте условие с правильным ответом на вопрос «Как решить ДЗ» и «Как сделать» задание по алгебре к упражнению №28.40 (с. 103), авторов: Мордкович (Александр Григорьевич), Семенов (Павел Владимирович), Денищева (Лариса Олеговна), Корешкова (Т А), Мишустина (Татьяна Николаевна), Тульчинская (Елена Ефимовна), 2-й части ФГОС (старый) базовый уровень обучения учебного пособия издательства Мнемозина.