Номер 28.43, страница 103, часть 2 - гдз по алгебре 10-11 класс задачник Мордкович, Семенов


Авторы: Мордкович А. Г., Семенов П. В., Денищева Л. О., Корешкова Т. А., Мишустина Т. Н., Тульчинская Е. Е.
Тип: Задачник
Издательство: Мнемозина
Год издания: 2019 - 2025
Уровень обучения: базовый
Часть: 2
Цвет обложки:
ISBN: 978-5-346-04509-0 (общ.), 978-5-346-04510-6 (ч. 1), 978-5-346-04511-3 (ч. 2)
Рекомендовано Министерством образования и науки Российской Федерации
Математика: алгебра и начала математического анализа, геометрия
Популярные ГДЗ в 10 классе
§28. Вычисление производных. Глава 5. Производная. ч. 2 - номер 28.43, страница 103.
№28.43 (с. 103)
Условие. №28.43 (с. 103)
скриншот условия

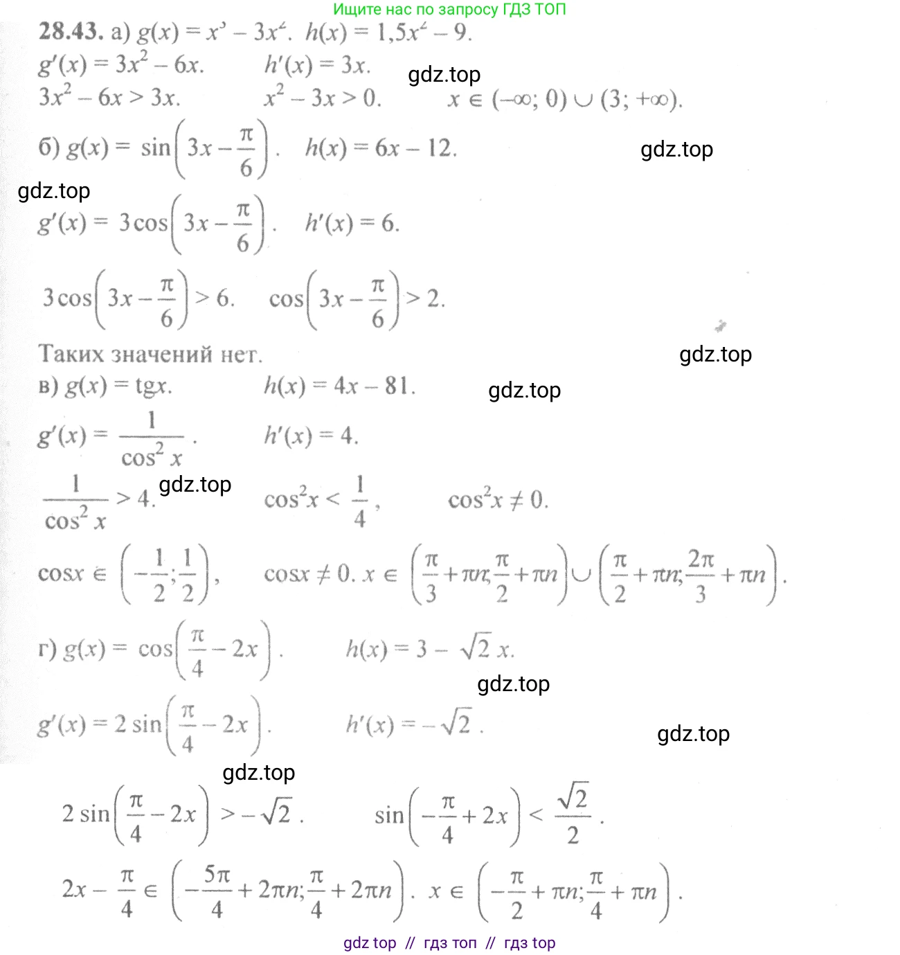
28.43 При каких значениях аргумента скорость изменения функции $y = g(x)$ больше скорости изменения функции $y = h(x)$:
а) $g(x) = x^3 - 3x^2$, $h(x) = 1,5x^2 - 9;$
б) $g(x) = \sin \left( 3x - \frac{\pi}{6} \right)$, $h(x) = 6x - 12;$
в) $g(x) = \operatorname{tg} x$, $h(x) = 4x - 81;$
г) $g(x) = \cos \left( \frac{\pi}{4} - 2x \right)$, $h(x) = 3 - \sqrt{2x}?$
Решение 1. №28.43 (с. 103)

Решение 2. №28.43 (с. 103)



Решение 3. №28.43 (с. 103)

Решение 5. №28.43 (с. 103)




Решение 6. №28.43 (с. 103)
а) $g(x) = x^3 - 3x^2, h(x) = 1,5x^2 - 9$
Скорость изменения функции в точке равна значению ее производной в этой точке. Таким образом, задача сводится к решению неравенства $g'(x) > h'(x)$.
Сначала найдем производные заданных функций:
$g'(x) = (x^3 - 3x^2)' = 3x^2 - 6x$
$h'(x) = (1,5x^2 - 9)' = 2 \cdot 1,5x = 3x$
Теперь составим и решим неравенство:
$g'(x) > h'(x)$
$3x^2 - 6x > 3x$
$3x^2 - 9x > 0$
Вынесем общий множитель за скобки:
$3x(x - 3) > 0$
Решим это квадратное неравенство методом интервалов. Найдем корни уравнения $3x(x - 3) = 0$. Корни: $x_1 = 0$ и $x_2 = 3$.
Эти точки разбивают числовую прямую на три интервала. Так как коэффициент при $x^2$ положителен ($3 > 0$), ветви параболы $y = 3x^2 - 9x$ направлены вверх, и, следовательно, выражение $3x^2 - 9x$ положительно при значениях $x$ вне интервала между корнями.
Таким образом, решение неравенства: $x \in (-\infty; 0) \cup (3; +\infty)$.
Ответ: $x \in (-\infty; 0) \cup (3; +\infty)$.
б) $g(x) = \sin(3x - \frac{\pi}{6}), h(x) = 6x - 12$
Найдем производные функций $g(x)$ и $h(x)$:
$g'(x) = (\sin(3x - \frac{\pi}{6}))' = \cos(3x - \frac{\pi}{6}) \cdot (3x - \frac{\pi}{6})' = 3\cos(3x - \frac{\pi}{6})$
$h'(x) = (6x - 12)' = 6$
Решим неравенство $g'(x) > h'(x)$:
$3\cos(3x - \frac{\pi}{6}) > 6$
Разделим обе части на 3:
$\cos(3x - \frac{\pi}{6}) > 2$
Область значений функции косинус есть отрезок $[-1; 1]$. Это означает, что для любого аргумента $\alpha$ выполняется неравенство $\cos \alpha \le 1$. Следовательно, неравенство $\cos(3x - \frac{\pi}{6}) > 2$ не может быть верным ни при каком значении $x$.
Ответ: решений нет.
в) $g(x) = \operatorname{tg}x, h(x) = 4x - 81$
Найдем производные функций. Область определения функции $g(x) = \operatorname{tg}x$ и ее производной $g'(x)$ — все действительные числа, кроме $x = \frac{\pi}{2} + \pi k$, где $k \in \mathbb{Z}$.
$g'(x) = (\operatorname{tg}x)' = \frac{1}{\cos^2x}$
$h'(x) = (4x - 81)' = 4$
Решим неравенство $g'(x) > h'(x)$ с учетом области определения:
$\frac{1}{\cos^2x} > 4$
Так как $\cos^2x > 0$ на области определения, мы можем умножить обе части на $\cos^2x$, не меняя знака неравенства, но удобнее преобразовать его следующим образом:
$1 > 4\cos^2x$
$\cos^2x < \frac{1}{4}$
Извлекая корень из обеих частей, получаем:
$|\cos x| < \frac{1}{2}$
Это двойное неравенство равносильно системе $-\frac{1}{2} < \cos x < \frac{1}{2}$.
Решением этого неравенства на единичной окружности являются дуги, для которых абсцисса точки находится между $-\frac{1}{2}$ и $\frac{1}{2}$.
Это соответствует интервалам $\frac{\pi}{3} + \pi k < x < \frac{2\pi}{3} + \pi k$, где $k \in \mathbb{Z}$.
Теперь нужно учесть область определения $x \neq \frac{\pi}{2} + \pi k$. Точки вида $\frac{\pi}{2} + \pi k$ всегда находятся внутри найденных интервалов (например, при $k=0$ интервал $(\frac{\pi}{3}; \frac{2\pi}{3})$ содержит точку $\frac{\pi}{2}$). Поскольку в этих точках производная $g'(x)$ не существует, их необходимо исключить из решения.
Таким образом, окончательное решение представляет собой объединение интервалов:
$(\frac{\pi}{3} + \pi k; \frac{\pi}{2} + \pi k) \cup (\frac{\pi}{2} + \pi k; \frac{2\pi}{3} + \pi k)$, $k \in \mathbb{Z}$.
Ответ: $x \in (\frac{\pi}{3} + \pi k; \frac{\pi}{2} + \pi k) \cup (\frac{\pi}{2} + \pi k; \frac{2\pi}{3} + \pi k)$, $k \in \mathbb{Z}$.
г) $g(x) = \cos(\frac{\pi}{4} - 2x), h(x) = 3 - \sqrt{2}x$
Найдем производные функций $g(x)$ и $h(x)$:
$g'(x) = (\cos(\frac{\pi}{4} - 2x))' = -\sin(\frac{\pi}{4} - 2x) \cdot (\frac{\pi}{4} - 2x)' = -\sin(\frac{\pi}{4} - 2x) \cdot (-2) = 2\sin(\frac{\pi}{4} - 2x)$
$h'(x) = (3 - \sqrt{2}x)' = -\sqrt{2}$
Решим неравенство $g'(x) > h'(x)$:
$2\sin(\frac{\pi}{4} - 2x) > -\sqrt{2}$
$\sin(\frac{\pi}{4} - 2x) > -\frac{\sqrt{2}}{2}$
Сделаем замену $t = \frac{\pi}{4} - 2x$. Неравенство примет вид $\sin t > -\frac{\sqrt{2}}{2}$.
Решением этого простейшего тригонометрического неравенства является интервал для $t$:
$-\frac{\pi}{4} + 2\pi k < t < \frac{5\pi}{4} + 2\pi k$, где $k \in \mathbb{Z}$.
Теперь выполним обратную замену $t = \frac{\pi}{4} - 2x$:
$-\frac{\pi}{4} + 2\pi k < \frac{\pi}{4} - 2x < \frac{5\pi}{4} + 2\pi k$
Вычтем $\frac{\pi}{4}$ из всех частей двойного неравенства:
$-\frac{\pi}{4} - \frac{\pi}{4} + 2\pi k < -2x < \frac{5\pi}{4} - \frac{\pi}{4} + 2\pi k$
$-\frac{\pi}{2} + 2\pi k < -2x < \pi + 2\pi k$
Разделим все части на $-2$, не забыв поменять знаки неравенства на противоположные:
$\frac{\pi + 2\pi k}{-2} < x < \frac{-\frac{\pi}{2} + 2\pi k}{-2}$
$-\frac{\pi}{2} - \pi k < x < \frac{\pi}{4} - \pi k$
Так как $k$ — любое целое число, то $-k$ также пробегает все множество целых чисел. Для более стандартной записи заменим $-k$ на $n$, где $n \in \mathbb{Z}$:
$-\frac{\pi}{2} + \pi n < x < \frac{\pi}{4} + \pi n$
Ответ: $x \in (-\frac{\pi}{2} + \pi n; \frac{\pi}{4} + \pi n)$, $n \in \mathbb{Z}$.
Другие задания:
Помогло решение? Оставьте отзыв в комментариях ниже.
Мы подготовили для вас ответ c подробным объяснением домашего задания по алгебре за 10-11 класс, для упражнения номер 28.43 расположенного на странице 103 для 2-й части к задачнику 2019 года издания для учащихся школ и гимназий.
Теперь на нашем сайте ГДЗ.ТОП вы всегда легко и бесплатно найдёте условие с правильным ответом на вопрос «Как решить ДЗ» и «Как сделать» задание по алгебре к упражнению №28.43 (с. 103), авторов: Мордкович (Александр Григорьевич), Семенов (Павел Владимирович), Денищева (Лариса Олеговна), Корешкова (Т А), Мишустина (Татьяна Николаевна), Тульчинская (Елена Ефимовна), 2-й части ФГОС (старый) базовый уровень обучения учебного пособия издательства Мнемозина.