Страница 150, часть 2 - гдз по алгебре 10-11 класс задачник часть 1, 2 Мордкович, Семенов


Авторы: Мордкович А. Г., Семенов П. В., Денищева Л. О., Корешкова Т. А., Мишустина Т. Н., Тульчинская Е. Е.
Тип: Задачник
Издательство: Мнемозина
Год издания: 2019 - 2025
Уровень обучения: базовый
Часть: 2
Цвет обложки:
ISBN: 978-5-346-04509-0 (общ.), 978-5-346-04510-6 (ч. 1), 978-5-346-04511-3 (ч. 2)
Рекомендовано Министерством образования и науки Российской Федерации
Математика: алгебра и начала математического анализа, геометрия
Популярные ГДЗ в 10 классе
ч. 2. Cтраница 150

№38.25 (с. 150)
Условие. №38.25 (с. 150)
скриншот условия

38.25 a) $y = x\sqrt{x}$;
б) $y = \frac{x^2}{\sqrt{x}}$;
В) $y = \frac{\sqrt[3]{x}}{x}$;
Г) $y = x^2 \sqrt[3]{x}$.
Решение 1. №38.25 (с. 150)

Решение 2. №38.25 (с. 150)

Решение 3. №38.25 (с. 150)

Решение 5. №38.25 (с. 150)


Решение 6. №38.25 (с. 150)
а) Чтобы упростить выражение $y = x\sqrt{x}$, представим его в виде степени с рациональным показателем. Используем свойство корня $\sqrt{x} = x^{\frac{1}{2}}$ и свойство умножения степеней с одинаковым основанием $x^a \cdot x^b = x^{a+b}$.
$y = x \cdot \sqrt{x} = x^1 \cdot x^{\frac{1}{2}} = x^{1 + \frac{1}{2}} = x^{\frac{2}{2} + \frac{1}{2}} = x^{\frac{3}{2}}$.
Ответ: $y = x^{\frac{3}{2}}$.
б) Для упрощения выражения $y = \frac{x^2}{\sqrt{x}}$, представим корень в знаменателе в виде степени и воспользуемся свойством деления степеней с одинаковым основанием $\frac{x^a}{x^b} = x^{a-b}$.
Знаменатель $\sqrt{x}$ можно записать как $x^{\frac{1}{2}}$.
Тогда $y = \frac{x^2}{x^{\frac{1}{2}}} = x^{2 - \frac{1}{2}} = x^{\frac{4}{2} - \frac{1}{2}} = x^{\frac{3}{2}}$.
Ответ: $y = x^{\frac{3}{2}}$.
в) Чтобы упростить выражение $y = \frac{\sqrt[3]{x}}{x}$, представим его в виде степени с рациональным показателем. Используем свойство корня $\sqrt[3]{x} = x^{\frac{1}{3}}$ и свойство деления степеней $\frac{x^a}{x^b} = x^{a-b}$.
$y = \frac{x^{\frac{1}{3}}}{x^1} = x^{\frac{1}{3} - 1} = x^{\frac{1}{3} - \frac{3}{3}} = x^{-\frac{2}{3}}$.
Ответ: $y = x^{-\frac{2}{3}}$.
г) Для упрощения выражения $y = x^2\sqrt[3]{x}$, представим корень в виде степени и воспользуемся свойством умножения степеней с одинаковым основанием $x^a \cdot x^b = x^{a+b}$.
Кубический корень $\sqrt[3]{x}$ можно записать как $x^{\frac{1}{3}}$.
Тогда $y = x^2 \cdot x^{\frac{1}{3}} = x^{2 + \frac{1}{3}} = x^{\frac{6}{3} + \frac{1}{3}} = x^{\frac{7}{3}}$.
Ответ: $y = x^{\frac{7}{3}}$.
№38.29 (с. 150)
Условие. №38.29 (с. 150)
скриншот условия

38.29 Найдите угол, образованный касательной к графику функции $y = g(x)$ с положительным направлением оси абсцисс в точке с абсциссой $x_0$:
a) $g(x) = \frac{2}{3}\sqrt{4 - 3x}$, $x_0 = \frac{1}{3}$;
б) $g(x) = -3(\sqrt{2} + x)^{-\frac{1}{3}}$, $x_0 = 1 - \sqrt{2}$.
Решение 1. №38.29 (с. 150)

Решение 2. №38.29 (с. 150)

Решение 3. №38.29 (с. 150)

Решение 5. №38.29 (с. 150)

Решение 6. №38.29 (с. 150)
а) Угол $\alpha$, который касательная к графику функции $y = g(x)$ в точке с абсциссой $x_0$ образует с положительным направлением оси абсцисс, находится из соотношения $\tan(\alpha) = g'(x_0)$, где $g'(x_0)$ — это значение производной функции в точке $x_0$.
Дана функция $g(x) = \frac{2}{3}\sqrt{4 - 3x}$ и точка $x_0 = \frac{1}{3}$.
Сначала найдем производную функции $g(x)$. Для этого представим ее в виде $g(x) = \frac{2}{3}(4 - 3x)^{\frac{1}{2}}$ и применим правило дифференцирования сложной функции:
$g'(x) = \left(\frac{2}{3}(4 - 3x)^{\frac{1}{2}}\right)' = \frac{2}{3} \cdot \frac{1}{2}(4 - 3x)^{\frac{1}{2}-1} \cdot (4-3x)' = \frac{1}{3}(4 - 3x)^{-\frac{1}{2}} \cdot (-3) = -(4 - 3x)^{-\frac{1}{2}} = -\frac{1}{\sqrt{4 - 3x}}$.
Теперь вычислим значение производной в точке $x_0 = \frac{1}{3}$:
$g'\left(\frac{1}{3}\right) = -\frac{1}{\sqrt{4 - 3 \cdot \frac{1}{3}}} = -\frac{1}{\sqrt{4 - 1}} = -\frac{1}{\sqrt{3}}$.
Итак, тангенс угла наклона касательной $\tan(\alpha) = -\frac{1}{\sqrt{3}}$.
Угол, тангенс которого равен $-\frac{1}{\sqrt{3}}$, составляет $150^\circ$.
Ответ: $150^\circ$.
б) Аналогично найдем угол для функции $g(x) = -3(\sqrt{2} + x)^{\frac{1}{3}}$ в точке $x_0 = 1 - \sqrt{2}$.
Сначала найдем производную функции $g(x)$:
$g'(x) = \left(-3(\sqrt{2} + x)^{\frac{1}{3}}\right)' = -3 \cdot \frac{1}{3}(\sqrt{2} + x)^{\frac{1}{3}-1} \cdot (\sqrt{2} + x)' = -(\sqrt{2} + x)^{-\frac{2}{3}} = -\frac{1}{(\sqrt{2} + x)^{\frac{2}{3}}}$.
Теперь вычислим значение производной в точке $x_0 = 1 - \sqrt{2}$:
$g'(1 - \sqrt{2}) = -\frac{1}{(\sqrt{2} + (1 - \sqrt{2}))^{\frac{2}{3}}} = -\frac{1}{1^{\frac{2}{3}}} = -\frac{1}{1} = -1$.
Итак, тангенс угла наклона касательной $\tan(\alpha) = -1$.
Угол, тангенс которого равен $-1$, составляет $135^\circ$.
Ответ: $135^\circ$.
№38.26 (с. 150)
Условие. №38.26 (с. 150)
скриншот условия

38.26 а) $y = 2x^4 + x\sqrt{x}$;
б) $y = \frac{2}{\sqrt[3]{x}} + 3x^6 - 1$;
В) $y = x^5 - \frac{1}{\sqrt{x}};
Г) $y = x^3 - 7x\sqrt[5]{x}.
Решение 1. №38.26 (с. 150)

Решение 2. №38.26 (с. 150)

Решение 3. №38.26 (с. 150)

Решение 5. №38.26 (с. 150)


Решение 6. №38.26 (с. 150)
а) Дана функция $y = 2x^4 + x\sqrt{x}$.
Для нахождения производной сначала преобразуем функцию, представив все её члены в виде степенной функции $x^n$. Второй член функции $x\sqrt{x}$ можно записать как произведение степеней:
$x\sqrt{x} = x^1 \cdot x^{1/2} = x^{1 + 1/2} = x^{3/2}$.
Таким образом, функция принимает вид: $y = 2x^4 + x^{3/2}$.
Теперь найдем производную, используя правило дифференцирования суммы функций $(u+v)' = u'+v'$ и формулу производной степенной функции $(x^n)' = nx^{n-1}$.
$y' = (2x^4 + x^{3/2})' = (2x^4)' + (x^{3/2})' = 2 \cdot 4x^{4-1} + \frac{3}{2}x^{\frac{3}{2}-1} = 8x^3 + \frac{3}{2}x^{1/2}$.
Преобразуем результат, представив дробную степень обратно в виде корня: $x^{1/2} = \sqrt{x}$.
Ответ: $y' = 8x^3 + \frac{3}{2}\sqrt{x}$.
б) Дана функция $y = \frac{2}{\sqrt[3]{x}} + 3x^6 - 1$.
Сначала преобразуем функцию, представив все её члены в виде степенной функции $x^n$.
$\frac{2}{\sqrt[3]{x}} = \frac{2}{x^{1/3}} = 2x^{-1/3}$.
Таким образом, функция принимает вид: $y = 2x^{-1/3} + 3x^6 - 1$.
Находим производную, используя правила дифференцирования. Производная константы равна нулю (т.е. $(-1)'=0$ ).
$y' = (2x^{-1/3} + 3x^6 - 1)' = (2x^{-1/3})' + (3x^6)' - (1)'$.
Применяем формулу производной степенной функции $(x^n)' = nx^{n-1}$:
$y' = 2 \cdot (-\frac{1}{3})x^{-\frac{1}{3}-1} + 3 \cdot 6x^{6-1} - 0 = -\frac{2}{3}x^{-4/3} + 18x^5$.
Преобразуем результат, представив отрицательную степень в виде дроби и корня: $x^{-4/3} = \frac{1}{x^{4/3}} = \frac{1}{\sqrt[3]{x^4}}$.
Ответ: $y' = 18x^5 - \frac{2}{3\sqrt[3]{x^4}}$.
в) Дана функция $y = x^5 - \frac{1}{\sqrt{x}}$.
Сначала преобразуем функцию, представив все её члены в виде степенной функции $x^n$.
$\frac{1}{\sqrt{x}} = \frac{1}{x^{1/2}} = x^{-1/2}$.
Таким образом, функция принимает вид: $y = x^5 - x^{-1/2}$.
Находим производную, используя правило дифференцирования разности функций $(u-v)' = u'-v'$ и формулу производной степенной функции $(x^n)' = nx^{n-1}$.
$y' = (x^5 - x^{-1/2})' = (x^5)' - (x^{-1/2})' = 5x^{5-1} - (-\frac{1}{2})x^{-\frac{1}{2}-1} = 5x^4 + \frac{1}{2}x^{-3/2}$.
Преобразуем результат, представив отрицательную степень в виде дроби и корня: $x^{-3/2} = \frac{1}{x^{3/2}} = \frac{1}{\sqrt{x^3}} = \frac{1}{x\sqrt{x}}$.
Ответ: $y' = 5x^4 + \frac{1}{2x\sqrt{x}}$.
г) Дана функция $y = x^3 - 7x\sqrt[5]{x}$.
Сначала преобразуем функцию, представив все её члены в виде степенной функции $x^n$.
$7x\sqrt[5]{x} = 7x^1 \cdot x^{1/5} = 7x^{1 + 1/5} = 7x^{6/5}$.
Таким образом, функция принимает вид: $y = x^3 - 7x^{6/5}$.
Находим производную, используя правило дифференцирования разности функций $(u-v)' = u'-v'$ и формулу производной степенной функции $(x^n)' = nx^{n-1}$.
$y' = (x^3 - 7x^{6/5})' = (x^3)' - (7x^{6/5})' = 3x^{3-1} - 7 \cdot \frac{6}{5}x^{\frac{6}{5}-1} = 3x^2 - \frac{42}{5}x^{1/5}$.
Преобразуем результат, представив дробную степень обратно в виде корня: $x^{1/5} = \sqrt[5]{x}$.
Ответ: $y' = 3x^2 - \frac{42}{5}\sqrt[5]{x}$.
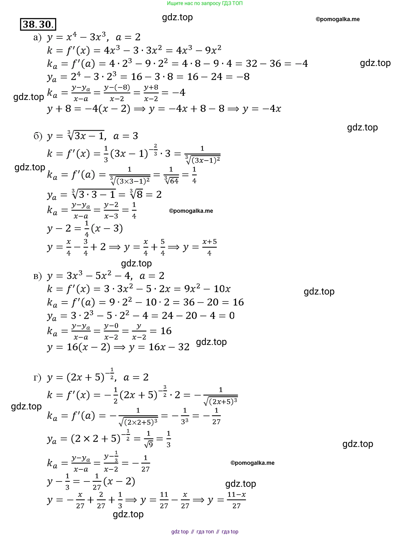
№38.30 (с. 150)
Условие. №38.30 (с. 150)
скриншот условия

38.30 Напишите уравнение касательной к графику функции $y=f(x)$ в точке с абсциссой $x=a$:
а) $y = x^4 - 3x^3, a = 2;$
б) $y = \sqrt[3]{3x - 1}, a = 3;$
в) $y = 3x^3 - 5x^2 - 4, a = 2;$
г) $y = (2x + 5)^{-\frac{1}{2}}, a = 2.$
Решение 1. №38.30 (с. 150)

Решение 2. №38.30 (с. 150)


Решение 3. №38.30 (с. 150)

Решение 5. №38.30 (с. 150)




Решение 6. №38.30 (с. 150)
Общий вид уравнения касательной к графику функции $y=f(x)$ в точке с абсциссой $x=a$ задается формулой:
$y = f(a) + f'(a)(x - a)$
Для нахождения уравнения касательной для каждой функции мы последовательно найдем:
1. Значение функции в точке касания $f(a)$.
2. Производную функции $f'(x)$.
3. Значение производной в точке касания $f'(a)$, которое равно угловому коэффициенту касательной.
4. Подставим найденные значения в общую формулу уравнения касательной и упростим выражение.
а) $y = x^4 - 3x^3, a = 2$
1. Найдем значение функции в точке $a=2$:
$f(a) = f(2) = 2^4 - 3 \cdot 2^3 = 16 - 3 \cdot 8 = 16 - 24 = -8$.
2. Найдем производную функции:
$f'(x) = (x^4 - 3x^3)' = 4x^3 - 9x^2$.
3. Найдем значение производной в точке $a=2$:
$f'(a) = f'(2) = 4 \cdot 2^3 - 9 \cdot 2^2 = 4 \cdot 8 - 9 \cdot 4 = 32 - 36 = -4$.
4. Подставим значения $a=2$, $f(2)=-8$ и $f'(2)=-4$ в уравнение касательной:
$y = -8 + (-4)(x - 2)$
$y = -8 - 4x + 8$
$y = -4x$
Ответ: $y = -4x$
б) $y = \sqrt[3]{3x - 1}, a = 3$
Запишем функцию в виде $f(x) = (3x-1)^{\frac{1}{3}}$.
1. Найдем значение функции в точке $a=3$:
$f(a) = f(3) = \sqrt[3]{3 \cdot 3 - 1} = \sqrt[3]{9 - 1} = \sqrt[3]{8} = 2$.
2. Найдем производную функции, используя правило дифференцирования сложной функции:
$f'(x) = ((3x-1)^{\frac{1}{3}})' = \frac{1}{3}(3x-1)^{\frac{1}{3}-1} \cdot (3x-1)' = \frac{1}{3}(3x-1)^{-\frac{2}{3}} \cdot 3 = (3x-1)^{-\frac{2}{3}} = \frac{1}{(3x-1)^{\frac{2}{3}}} = \frac{1}{\sqrt[3]{(3x-1)^2}}$.
3. Найдем значение производной в точке $a=3$:
$f'(a) = f'(3) = \frac{1}{\sqrt[3]{(3 \cdot 3 - 1)^2}} = \frac{1}{\sqrt[3]{8^2}} = \frac{1}{\sqrt[3]{64}} = \frac{1}{4}$.
4. Подставим значения $a=3$, $f(3)=2$ и $f'(3)=\frac{1}{4}$ в уравнение касательной:
$y = 2 + \frac{1}{4}(x - 3)$
$y = 2 + \frac{1}{4}x - \frac{3}{4}$
$y = \frac{1}{4}x + \frac{8}{4} - \frac{3}{4}$
$y = \frac{1}{4}x + \frac{5}{4}$
Ответ: $y = \frac{1}{4}x + \frac{5}{4}$
в) $y = 3x^3 - 5x^2 - 4, a = 2$
1. Найдем значение функции в точке $a=2$:
$f(a) = f(2) = 3 \cdot 2^3 - 5 \cdot 2^2 - 4 = 3 \cdot 8 - 5 \cdot 4 - 4 = 24 - 20 - 4 = 0$.
2. Найдем производную функции:
$f'(x) = (3x^3 - 5x^2 - 4)' = 9x^2 - 10x$.
3. Найдем значение производной в точке $a=2$:
$f'(a) = f'(2) = 9 \cdot 2^2 - 10 \cdot 2 = 9 \cdot 4 - 20 = 36 - 20 = 16$.
4. Подставим значения $a=2$, $f(2)=0$ и $f'(2)=16$ в уравнение касательной:
$y = 0 + 16(x - 2)$
$y = 16x - 32$
Ответ: $y = 16x - 32$
г) $y = (2x + 5)^{-\frac{1}{2}}, a = 2$
Функция также может быть записана как $f(x) = \frac{1}{\sqrt{2x+5}}$.
1. Найдем значение функции в точке $a=2$:
$f(a) = f(2) = (2 \cdot 2 + 5)^{-\frac{1}{2}} = 9^{-\frac{1}{2}} = \frac{1}{9^{\frac{1}{2}}} = \frac{1}{\sqrt{9}} = \frac{1}{3}$.
2. Найдем производную функции, используя правило дифференцирования сложной функции:
$f'(x) = ((2x+5)^{-\frac{1}{2}})' = -\frac{1}{2}(2x+5)^{-\frac{1}{2}-1} \cdot (2x+5)' = -\frac{1}{2}(2x+5)^{-\frac{3}{2}} \cdot 2 = -(2x+5)^{-\frac{3}{2}} = -\frac{1}{(2x+5)^{\frac{3}{2}}}$.
3. Найдем значение производной в точке $a=2$:
$f'(a) = f'(2) = -(2 \cdot 2 + 5)^{-\frac{3}{2}} = -9^{-\frac{3}{2}} = -\frac{1}{9^{\frac{3}{2}}} = -\frac{1}{(\sqrt{9})^3} = -\frac{1}{3^3} = -\frac{1}{27}$.
4. Подставим значения $a=2$, $f(2)=\frac{1}{3}$ и $f'(2)=-\frac{1}{27}$ в уравнение касательной:
$y = \frac{1}{3} + (-\frac{1}{27})(x - 2)$
$y = \frac{1}{3} - \frac{1}{27}x + \frac{2}{27}$
$y = -\frac{1}{27}x + \frac{9}{27} + \frac{2}{27}$
$y = -\frac{1}{27}x + \frac{11}{27}$
Ответ: $y = -\frac{1}{27}x + \frac{11}{27}$
№38.27 (с. 150)
Условие. №38.27 (с. 150)
скриншот условия

38.27 Найдите значение производной функции $y=g(x)$ в заданной точке $x_0$:
а) $g(x) = x^3 - 3\sqrt{x}, x_0 = 1;$
б) $g(x) = \sqrt[3]{3x - 1}, x_0 = \frac{2}{3};$
в) $g(x) = x^{-1} + x^{-2}, x_0 = 1;$
г) $g(x) = \frac{1}{3}(5 - 2x)^{-3}, x_0 = 2.$
Решение 1. №38.27 (с. 150)

Решение 2. №38.27 (с. 150)

Решение 3. №38.27 (с. 150)

Решение 5. №38.27 (с. 150)


Решение 6. №38.27 (с. 150)
а) Дана функция $g(x) = x^3 - 3\sqrt{x}$ и точка $x_0 = 1$.
Для нахождения производной сначала представим функцию в виде степеней: $g(x) = x^3 - 3x^{1/2}$.
Теперь найдем производную функции $g(x)$, используя правило дифференцирования разности и степенной функции $(x^n)' = nx^{n-1}$:
$g'(x) = (x^3 - 3x^{1/2})' = (x^3)' - (3x^{1/2})' = 3x^{3-1} - 3 \cdot \frac{1}{2}x^{1/2-1} = 3x^2 - \frac{3}{2}x^{-1/2}$.
Перепишем производную в более удобном виде: $g'(x) = 3x^2 - \frac{3}{2\sqrt{x}}$.
Вычислим значение производной в заданной точке $x_0 = 1$:
$g'(1) = 3(1)^2 - \frac{3}{2\sqrt{1}} = 3 \cdot 1 - \frac{3}{2 \cdot 1} = 3 - \frac{3}{2} = \frac{6}{2} - \frac{3}{2} = \frac{3}{2} = 1.5$.
Ответ: $1.5$.
б) Дана функция $g(x) = \sqrt[3]{3x - 1}$ и точка $x_0 = \frac{2}{3}$.
Представим функцию в виде степени: $g(x) = (3x - 1)^{1/3}$.
Для нахождения производной этой сложной функции воспользуемся правилом дифференцирования сложной функции $(f(u(x)))' = f'(u) \cdot u'(x)$.
Пусть внутренняя функция $u(x) = 3x - 1$, тогда ее производная $u'(x) = 3$. Внешняя функция $f(u) = u^{1/3}$, ее производная $f'(u) = \frac{1}{3}u^{-2/3}$.
Следовательно, производная функции $g(x)$ равна:
$g'(x) = \frac{1}{3}(3x-1)^{1/3 - 1} \cdot (3x-1)' = \frac{1}{3}(3x-1)^{-2/3} \cdot 3 = (3x-1)^{-2/3} = \frac{1}{(3x-1)^{2/3}}$.
Вычислим значение производной в точке $x_0 = \frac{2}{3}$:
$g'(\frac{2}{3}) = \frac{1}{(3 \cdot \frac{2}{3} - 1)^{2/3}} = \frac{1}{(2 - 1)^{2/3}} = \frac{1}{1^{2/3}} = \frac{1}{1} = 1$.
Ответ: $1$.
в) Дана функция $g(x) = x^{-1} + x^{-2}$ и точка $x_0 = 1$.
Найдем производную функции $g(x)$, используя правило дифференцирования суммы и степенной функции:
$g'(x) = (x^{-1} + x^{-2})' = (x^{-1})' + (x^{-2})' = -1 \cdot x^{-1-1} + (-2) \cdot x^{-2-1} = -x^{-2} - 2x^{-3}$.
Перепишем производную в виде дробей: $g'(x) = -\frac{1}{x^2} - \frac{2}{x^3}$.
Вычислим значение производной в точке $x_0 = 1$:
$g'(1) = -\frac{1}{1^2} - \frac{2}{1^3} = -1 - 2 = -3$.
Ответ: $-3$.
г) Дана функция $g(x) = \frac{1}{3}(5 - 2x)^{-3}$ и точка $x_0 = 2$.
Для нахождения производной этой сложной функции воспользуемся правилом дифференцирования сложной функции и свойством константы.
Пусть внутренняя функция $u(x) = 5 - 2x$, ее производная $u'(x) = -2$. Внешняя функция с константой $f(u) = \frac{1}{3}u^{-3}$.
Производная функции $g(x)$ равна:
$g'(x) = \frac{1}{3} \cdot (-3)(5-2x)^{-3-1} \cdot (5-2x)' = -(5-2x)^{-4} \cdot (-2) = 2(5-2x)^{-4} = \frac{2}{(5-2x)^4}$.
Вычислим значение производной в точке $x_0 = 2$:
$g'(2) = \frac{2}{(5 - 2 \cdot 2)^4} = \frac{2}{(5 - 4)^4} = \frac{2}{1^4} = 2$.
Ответ: $2$.
№38.24 (с. 150)
Условие. №38.24 (с. 150)
скриншот условия

38.24 а) $y = \frac{1}{\sqrt{x}}$;
б) $y = \frac{1}{x^{\frac{3}{5}}}$;
в) $y = \frac{1}{\sqrt[3]{x}}$;
г) $y = \frac{1}{x^{\frac{5}{3}}}$.
Решение 1. №38.24 (с. 150)

Решение 2. №38.24 (с. 150)

Решение 3. №38.24 (с. 150)

Решение 5. №38.24 (с. 150)


Решение 6. №38.24 (с. 150)
а) Дана функция $y = \frac{1}{\sqrt{x}}$. Чтобы представить эту функцию в виде степенной $y = x^p$, необходимо выполнить следующие преобразования. Сначала представим квадратный корень в знаменателе как степень с дробным показателем: $\sqrt{x} = x^{\frac{1}{2}}$. После подстановки функция примет вид: $y = \frac{1}{x^{\frac{1}{2}}}$. Далее, воспользуемся свойством степени с отрицательным показателем, согласно которому $\frac{1}{a^n} = a^{-n}$. Применив это свойство, получаем окончательный вид функции: $y = x^{-\frac{1}{2}}$.
Ответ: $y = x^{-\frac{1}{2}}$
б) Дана функция $y = \frac{1}{x^{\frac{3}{5}}}$. Чтобы представить эту функцию в виде $y = x^p$, применим свойство степени с отрицательным показателем: $\frac{1}{a^n} = a^{-n}$. Это позволяет перенести степенное выражение из знаменателя в числитель, изменив знак показателя степени на противоположный. В результате получаем: $y = x^{-\frac{3}{5}}$.
Ответ: $y = x^{-\frac{3}{5}}$
в) Дана функция $y = \frac{1}{\sqrt[3]{x}}$. Первым шагом преобразуем кубический корень в степень с рациональным показателем: $\sqrt[3]{x} = x^{\frac{1}{3}}$. Тогда исходная функция запишется в виде: $y = \frac{1}{x^{\frac{1}{3}}}$. Затем, используя свойство $\frac{1}{a^n} = a^{-n}$, мы можем представить данное выражение в виде степени с отрицательным показателем. В итоге получаем: $y = x^{-\frac{1}{3}}$.
Ответ: $y = x^{-\frac{1}{3}}$
г) Дана функция $y = \frac{1}{x^{\frac{5}{3}}}$. Для представления данной функции в виде $y = x^p$ воспользуемся свойством степени с отрицательным показателем $\frac{1}{a^n} = a^{-n}$. Применение этого свойства к выражению в знаменателе дает следующий результат: $y = x^{-\frac{5}{3}}$.
Ответ: $y = x^{-\frac{5}{3}}$
№38.28 (с. 150)
Условие. №38.28 (с. 150)
скриншот условия

38.28 Найдите угловой коэффициент касательной к графику функции $y = f(x)$ в точке с абсциссой $x_0$:
а) $f(x) = 4 - x^{-\frac{3}{4}}, x_0 = 1;$
б) $f(x) = 12x^{-\frac{1}{2}} - x, x_0 = 9;$
В) $f(x) = 2x^{\frac{2}{3}} - 1, x_0 = 8;$
Г) $f(x) = x^{-3} + 6\sqrt{x}, x_0 = 1.$
Решение 1. №38.28 (с. 150)

Решение 2. №38.28 (с. 150)

Решение 3. №38.28 (с. 150)

Решение 5. №38.28 (с. 150)


Решение 6. №38.28 (с. 150)
Угловой коэффициент касательной к графику функции $y = f(x)$ в точке с абсциссой $x_0$ равен значению производной функции $f'(x)$ в этой точке, то есть $k = f'(x_0)$.
а) $f(x) = 4 - x^{\frac{3}{4}}, x_0 = 1$
1. Найдем производную функции $f(x)$. Используем формулу производной степенной функции $(x^n)' = nx^{n-1}$ и то, что производная константы равна нулю.
$f'(x) = (4 - x^{\frac{3}{4}})' = (4)' - (x^{\frac{3}{4}})' = 0 - \frac{3}{4}x^{\frac{3}{4}-1} = -\frac{3}{4}x^{-\frac{1}{4}}$.
2. Вычислим значение производной в точке $x_0 = 1$.
$k = f'(1) = -\frac{3}{4}(1)^{-\frac{1}{4}} = -\frac{3}{4} \cdot 1 = -\frac{3}{4}$.
Ответ: $-\frac{3}{4}$.
б) $f(x) = 12x^{-\frac{1}{2}} - x, x_0 = 9$
1. Найдем производную функции $f(x)$.
$f'(x) = (12x^{-\frac{1}{2}} - x)' = 12 \cdot (-\frac{1}{2})x^{-\frac{1}{2}-1} - 1 = -6x^{-\frac{3}{2}} - 1$.
2. Вычислим значение производной в точке $x_0 = 9$.
$k = f'(9) = -6(9)^{-\frac{3}{2}} - 1$.
Так как $9^{-\frac{3}{2}} = \frac{1}{9^{\frac{3}{2}}} = \frac{1}{(\sqrt{9})^3} = \frac{1}{3^3} = \frac{1}{27}$, то:
$k = -6 \cdot \frac{1}{27} - 1 = -\frac{6}{27} - 1 = -\frac{2}{9} - 1 = -\frac{2}{9} - \frac{9}{9} = -\frac{11}{9}$.
Ответ: $-\frac{11}{9}$.
в) $f(x) = 2x^{\frac{2}{3}} - 1, x_0 = 8$
1. Найдем производную функции $f(x)$.
$f'(x) = (2x^{\frac{2}{3}} - 1)' = 2 \cdot \frac{2}{3}x^{\frac{2}{3}-1} - 0 = \frac{4}{3}x^{-\frac{1}{3}}$.
2. Вычислим значение производной в точке $x_0 = 8$.
$k = f'(8) = \frac{4}{3}(8)^{-\frac{1}{3}}$.
Так как $8^{-\frac{1}{3}} = \frac{1}{8^{\frac{1}{3}}} = \frac{1}{\sqrt[3]{8}} = \frac{1}{2}$, то:
$k = \frac{4}{3} \cdot \frac{1}{2} = \frac{4}{6} = \frac{2}{3}$.
Ответ: $\frac{2}{3}$.
г) $f(x) = x^{-3} + 6\sqrt{x}, x_0 = 1$
1. Перепишем функцию в виде $f(x) = x^{-3} + 6x^{\frac{1}{2}}$ и найдем ее производную.
$f'(x) = (x^{-3} + 6x^{\frac{1}{2}})' = -3x^{-3-1} + 6 \cdot \frac{1}{2}x^{\frac{1}{2}-1} = -3x^{-4} + 3x^{-\frac{1}{2}}$.
2. Вычислим значение производной в точке $x_0 = 1$.
$k = f'(1) = -3(1)^{-4} + 3(1)^{-\frac{1}{2}} = -3 \cdot 1 + 3 \cdot 1 = -3 + 3 = 0$.
Ответ: $0$.
№1 (с. 150)
Условие. №1 (с. 150)
скриншот условия

1. Представьте в виде произведения тригонометрических функций:
а) $ \sin \alpha + \sin \beta $;
б) $ \sin u - \sin v $;
в) $ \cos z + \cos t $;
г) $ \cos \delta - \cos \gamma $.
Решение 6. №1 (с. 150)
а) Чтобы представить сумму синусов в виде произведения, используется соответствующая тригонометрическая формула преобразования суммы в произведение:
$ \sin x + \sin y = 2 \sin\left(\frac{x+y}{2}\right) \cos\left(\frac{x-y}{2}\right) $
Подставляя $ \alpha $ и $ \beta $ вместо $ x $ и $ y $, получаем:
$ \sin \alpha + \sin \beta = 2 \sin\left(\frac{\alpha+\beta}{2}\right) \cos\left(\frac{\alpha-\beta}{2}\right) $
Ответ: $ 2 \sin\left(\frac{\alpha+\beta}{2}\right) \cos\left(\frac{\alpha-\beta}{2}\right) $
б) Для преобразования разности синусов в произведение применяется формула:
$ \sin x - \sin y = 2 \sin\left(\frac{x-y}{2}\right) \cos\left(\frac{x+y}{2}\right) $
Подставляя $ u $ и $ v $ вместо $ x $ и $ y $, получаем:
$ \sin u - \sin v = 2 \sin\left(\frac{u-v}{2}\right) \cos\left(\frac{u+v}{2}\right) $
Ответ: $ 2 \sin\left(\frac{u-v}{2}\right) \cos\left(\frac{u+v}{2}\right) $
в) Сумма косинусов преобразуется в произведение по следующей формуле:
$ \cos x + \cos y = 2 \cos\left(\frac{x+y}{2}\right) \cos\left(\frac{x-y}{2}\right) $
Применим ее для выражения $ \cos z + \cos t $, где $ x=z $ и $ y=t $:
$ \cos z + \cos t = 2 \cos\left(\frac{z+t}{2}\right) \cos\left(\frac{z-t}{2}\right) $
Ответ: $ 2 \cos\left(\frac{z+t}{2}\right) \cos\left(\frac{z-t}{2}\right) $
г) Разность косинусов преобразуется в произведение с помощью формулы:
$ \cos x - \cos y = -2 \sin\left(\frac{x+y}{2}\right) \sin\left(\frac{x-y}{2}\right) $
Применим ее для выражения $ \cos \delta - \cos \gamma $, где $ x=\delta $ и $ y=\gamma $:
$ \cos \delta - \cos \gamma = -2 \sin\left(\frac{\delta+\gamma}{2}\right) \sin\left(\frac{\delta-\gamma}{2}\right) $
Используя свойство нечетности синуса ($ \sin(-A) = -\sin(A) $), можно поменять знак в последнем множителе, убрав минус перед выражением: $ - \sin\left(\frac{\delta-\gamma}{2}\right) = \sin\left(-\frac{\delta-\gamma}{2}\right) = \sin\left(\frac{\gamma-\delta}{2}\right) $. Тогда формула примет вид: $ 2 \sin\left(\frac{\delta+\gamma}{2}\right) \sin\left(\frac{\gamma-\delta}{2}\right) $. Оба варианта являются правильными.
Ответ: $ -2 \sin\left(\frac{\delta+\gamma}{2}\right) \sin\left(\frac{\delta-\gamma}{2}\right) $
№2 (с. 150)
Условие. №2 (с. 150)
скриншот условия

2. Дано тождество $f(x) = \frac{\sin 9x + \sin 5x}{2}$. Какое из приведённых ниже утверждений верно:
a) $f(x) = \sin 7x \sin 2x;$
б) $f(x) = \cos 7x \cos 2x;$
в) $f(x) = \sin 7x \cos 2x;$
г) $f(x) = \sin 2x \cos 7x?$
Решение 6. №2 (с. 150)
Для того чтобы определить, какое из приведённых утверждений является верным, необходимо преобразовать исходное выражение для функции $f(x)$, используя тригонометрические тождества.
Дано тождество:
$$ f(x) = \frac{\sin 9x + \sin 5x}{2} $$Мы можем упростить числитель этой дроби, применив формулу суммы синусов:
$$ \sin \alpha + \sin \beta = 2 \sin\left(\frac{\alpha + \beta}{2}\right) \cos\left(\frac{\alpha - \beta}{2}\right) $$В нашем случае, пусть $ \alpha = 9x $ и $ \beta = 5x $. Подставим эти значения в формулу:
$$ \sin 9x + \sin 5x = 2 \sin\left(\frac{9x + 5x}{2}\right) \cos\left(\frac{9x - 5x}{2}\right) $$Выполним вычисления в аргументах синуса и косинуса:
$$ = 2 \sin\left(\frac{14x}{2}\right) \cos\left(\frac{4x}{2}\right) $$$$ = 2 \sin(7x) \cos(2x) $$Теперь подставим полученное выражение для суммы синусов обратно в исходное тождество для функции $f(x)$:
$$ f(x) = \frac{2 \sin(7x) \cos(2x)}{2} $$Сократив двойки в числителе и знаменателе, получаем окончательный вид функции:
$$ f(x) = \sin(7x) \cos(2x) $$Теперь сравним полученный результат с предложенными вариантами ответов:
а) $f(x) = \sin 7x \sin 2x$ — Неверно.
б) $f(x) = \cos 7x \cos 2x$ — Неверно.
в) $f(x) = \sin 7x \cos 2x$ — Верно. Это выражение в точности совпадает с результатом наших преобразований.
г) $f(x) = \sin 2x \cos 7x$ — Неверно. Хотя произведение чисел коммутативно (т.е. $ab=ba$), в данном случае функции $y = \sin 7x \cos 2x$ и $y = \sin 2x \cos 7x$ не являются тождественно равными. Чтобы это доказать, можно преобразовать выражение из пункта г) в сумму, используя формулу $ \sin \alpha \cos \beta = \frac{1}{2}[\sin(\alpha+\beta) + \sin(\alpha-\beta)] $:
$$ \sin 2x \cos 7x = \frac{1}{2}[\sin(2x+7x) + \sin(2x-7x)] = \frac{1}{2}[\sin(9x) + \sin(-5x)] $$Поскольку синус — нечётная функция ($ \sin(-A) = -\sin(A) $), мы получаем:
$$ \frac{1}{2}[\sin(9x) - \sin(5x)] $$Это выражение не равно исходной функции $ f(x) = \frac{\sin 9x + \sin 5x}{2} $. Следовательно, утверждение г) неверно.
Таким образом, единственное верное утверждение — это в).
Ответ: в)
№3 (с. 150)
Условие. №3 (с. 150)
скриншот условия

3. Дано тождество $f(x) = \frac{\sin 9x - \sin 5x}{2}$. Какое из приведённых ниже утверждений верно:
а) $f(x) = \sin 7x \sin 2x;$
б) $f(x) = \cos 7x \cos 2x;$
В) $f(x) = \sin 7x \cos 2x;$
Г) $f(x) = \sin 2x \cos 7x?$
Решение 6. №3 (с. 150)
Для того чтобы определить, какое из приведённых утверждений является верным, необходимо преобразовать исходное выражение для функции $f(x)$.
Дано тождество: $f(x) = \frac{\sin 9x - \sin 5x}{2}$.
Для преобразования числителя дроби воспользуемся тригонометрической формулой разности синусов:
$\sin \alpha - \sin \beta = 2 \cos\left(\frac{\alpha + \beta}{2}\right) \sin\left(\frac{\alpha - \beta}{2}\right)$
В нашем случае $\alpha = 9x$ и $\beta = 5x$. Подставим эти значения в формулу:
$\sin 9x - \sin 5x = 2 \cos\left(\frac{9x + 5x}{2}\right) \sin\left(\frac{9x - 5x}{2}\right)$
Упростим аргументы тригонометрических функций:
$\frac{9x + 5x}{2} = \frac{14x}{2} = 7x$
$\frac{9x - 5x}{2} = \frac{4x}{2} = 2x$
Таким образом, выражение для разности синусов принимает вид:
$\sin 9x - \sin 5x = 2 \cos(7x) \sin(2x)$
Теперь подставим это преобразованное выражение обратно в исходную функцию $f(x)$:
$f(x) = \frac{2 \cos(7x) \sin(2x)}{2}$
Сократив на 2, получаем окончательный вид функции:
$f(x) = \cos(7x) \sin(2x)$
Поскольку умножение коммутативно (от перемены мест множителей произведение не меняется), мы можем записать это выражение как:
$f(x) = \sin(2x) \cos(7x)$
Сравнивая полученный результат с предложенными вариантами, мы видим, что он полностью совпадает с вариантом г).
Ответ: г) $f(x) = \sin 2x \cos 7x$
№4 (с. 150)
Условие. №4 (с. 150)
скриншот условия

4. Дано тождество $f(x) = \frac{\cos 9x + \cos 5x}{2}$. Какое из приведённых ниже
утверждений верно:
a) $f(x) = \sin 7x \sin 2x;$
б) $f(x) = \cos 7x \cos 2x;$
в) $f(x) = \sin 7x \cos 2x;$
г) $f(x) = \sin 2x \cos 7x?$
Решение 6. №4 (с. 150)
Чтобы определить, какое из приведённых утверждений является верным, необходимо преобразовать исходное выражение для функции $f(x)$ с помощью тригонометрических формул.
Дано тождество: $f(x) = \frac{\cos 9x + \cos 5x}{2}$.
Для упрощения числителя воспользуемся формулой суммы косинусов:
$\cos \alpha + \cos \beta = 2 \cos\left(\frac{\alpha + \beta}{2}\right) \cos\left(\frac{\alpha - \beta}{2}\right)$
В нашем случае $\alpha = 9x$ и $\beta = 5x$. Подставим эти значения в формулу:
$\cos 9x + \cos 5x = 2 \cos\left(\frac{9x + 5x}{2}\right) \cos\left(\frac{9x - 5x}{2}\right)$
Выполним вычисления в аргументах косинусов:
$\frac{9x + 5x}{2} = \frac{14x}{2} = 7x$
$\frac{9x - 5x}{2} = \frac{4x}{2} = 2x$
Таким образом, выражение в числителе дроби преобразуется к виду:
$\cos 9x + \cos 5x = 2 \cos 7x \cos 2x$
Теперь подставим полученное выражение обратно в исходную формулу для $f(x)$:
$f(x) = \frac{2 \cos 7x \cos 2x}{2}$
Сократив на 2, получаем окончательный вид функции:
$f(x) = \cos 7x \cos 2x$
Сравнивая полученный результат с предложенными вариантами, мы видим, что он совпадает с утверждением б).
Ответ: б) $f(x) = \cos 7x \cos 2x$.
№5 (с. 150)
Условие. №5 (с. 150)
скриншот условия

5. Дано тождество $f(x) = \frac{\cos 9x - \cos 5x}{2}$. Какое из приведённых ниже утверждений верно:
а) $f(x) = \sin 7x \sin 2x;$
б) $f(x) = \cos 7x \cos 2x;$
в) $f(x) = \sin 7x \cos 2x;$
г) $f(x) = \sin 2x \cos 7x?$
Решение 6. №5 (с. 150)
Для того чтобы определить, какое из приведённых утверждений верно, необходимо преобразовать данное тождество $f(x) = \frac{\cos 9x - \cos 5x}{2}$ с помощью тригонометрических формул и сравнить результат с предложенными вариантами.
Воспользуемся формулой преобразования разности косинусов в произведение (формула перехода от суммы к произведению):
$ \cos \alpha - \cos \beta = -2 \sin\left(\frac{\alpha + \beta}{2}\right) \sin\left(\frac{\alpha - \beta}{2}\right) $
В нашем случае $ \alpha = 9x $ и $ \beta = 5x $. Подставим эти значения в формулу:
$ \cos 9x - \cos 5x = -2 \sin\left(\frac{9x + 5x}{2}\right) \sin\left(\frac{9x - 5x}{2}\right) $
Выполним вычисления в аргументах синусов:
$ \cos 9x - \cos 5x = -2 \sin\left(\frac{14x}{2}\right) \sin\left(\frac{4x}{2}\right) $
$ \cos 9x - \cos 5x = -2 \sin(7x) \sin(2x) $
Теперь подставим полученное выражение обратно в исходную функцию $ f(x) $:
$ f(x) = \frac{-2 \sin(7x) \sin(2x)}{2} = -\sin(7x) \sin(2x) $
Теперь сравним полученный нами результат $ -\sin(7x) \sin(2x) $ с предложенными вариантами:
- а) f(x) = sin 7x sin 2x;
- б) f(x) = cos 7x cos 2x;
- в) f(x) = sin 7x cos 2x;
- г) f(x) = sin 2x cos 7x?
Мы видим, что наш результат $ -\sin(7x) \sin(2x) $ не совпадает ни с одним из вариантов в точности. Однако вариант а) отличается от нашего результата только знаком. Это указывает на вероятную опечатку в условии задачи. Скорее всего, в числителе исходной функции должно было стоять $ \cos 5x - \cos 9x $.
Проверим это предположение. Если бы функция была $f(x) = \frac{\cos 5x - \cos 9x}{2}$, то:
$ f(x) = \frac{-(\cos 9x - \cos 5x)}{2} = -(-\sin(7x) \sin(2x)) = \sin(7x) \sin(2x) $
В этом случае утверждение а) было бы верным. Учитывая, что это задание с выбором ответа, и один из ответов должен быть верным, мы делаем вывод, что в условии допущена опечатка, и правильным ответом является вариант а).
Ответ: а) f(x) = sin 7x sin 2x;
Помогло решение? Оставьте отзыв в комментариях ниже.