Страница 151, часть 2 - гдз по алгебре 10-11 класс задачник часть 1, 2 Мордкович, Семенов


Авторы: Мордкович А. Г., Семенов П. В., Денищева Л. О., Корешкова Т. А., Мишустина Т. Н., Тульчинская Е. Е.
Тип: Задачник
Издательство: Мнемозина
Год издания: 2019 - 2025
Уровень обучения: базовый
Часть: 2
Цвет обложки:
ISBN: 978-5-346-04509-0 (общ.), 978-5-346-04510-6 (ч. 1), 978-5-346-04511-3 (ч. 2)
Рекомендовано Министерством образования и науки Российской Федерации
Математика: алгебра и начала математического анализа, геометрия
Популярные ГДЗ в 10 классе
ч. 2. Cтраница 151

№38.33 (с. 151)
Условие. №38.33 (с. 151)
скриншот условия

38.33 Постройте график функции:
a) $y = 2(x - 1)^{\frac{2}{3}} - 2$;
б) $y = -\frac{1}{\sqrt[4]{x+4}} + 2$;
в) $y = -(x + 2)^{\frac{3}{2}} + 1$;
г) $y = 1,5(x - 3)^{-\frac{2}{7}} - 4$.
Решение 1. №38.33 (с. 151)

Решение 2. №38.33 (с. 151)




Решение 3. №38.33 (с. 151)

Решение 5. №38.33 (с. 151)




Решение 6. №38.33 (с. 151)
а) $y = 2(x - 1)^{\frac{2}{3}} - 2$
Для построения графика данной функции используем метод преобразования графиков. В качестве базовой функции возьмем степенную функцию $y_0 = x^{\frac{2}{3}}$, что эквивалентно $y_0 = \sqrt[3]{x^2}$.
- Базовый график $y_0 = x^{\frac{2}{3}}$.
- Область определения: $D(y) = (-\infty; +\infty)$.
- Функция является четной ($y(-x) = (-x)^{2/3} = (x^2)^{1/3} = x^{2/3} = y(x)$), поэтому ее график симметричен относительно оси ординат.
- График проходит через точки $(0, 0)$ (это точка возврата, или касп), $(1, 1)$, $(-1, 1)$, $(8, 4)$, $(-8, 4)$.
- Преобразования:
- $y_1 = (x-1)^{\frac{2}{3}}$: Сдвиг графика $y_0$ на 1 единицу вправо вдоль оси абсцисс. Точка возврата перемещается в $(1, 0)$.
- $y_2 = 2(x-1)^{\frac{2}{3}}$: Растяжение графика $y_1$ в 2 раза вдоль оси ординат. Точка возврата $(1, 0)$ остается на месте, но другие точки поднимаются. Например, точка $(2, 1)$ на графике $y_1$ переходит в $(2, 2)$.
- $y = 2(x-1)^{\frac{2}{3}} - 2$: Сдвиг графика $y_2$ на 2 единицы вниз вдоль оси ординат.
- Анализ итоговой функции $y = 2(x - 1)^{\frac{2}{3}} - 2$:
- Область определения: $D(y) = (-\infty; +\infty)$.
- Область значений: так как $(x-1)^{2/3} \ge 0$, то $2(x-1)^{2/3} \ge 0$, и $y \ge -2$. $E(y) = [-2; +\infty)$.
- Точка возврата (касп) находится в точке $(1, -2)$.
- Пересечение с осью OY (полагаем $x=0$): $y = 2(0 - 1)^{\frac{2}{3}} - 2 = 2(1) - 2 = 0$. Точка $(0, 0)$.
- Пересечение с осью OX (полагаем $y=0$): $0 = 2(x - 1)^{\frac{2}{3}} - 2 \Rightarrow 2 = 2(x - 1)^{\frac{2}{3}} \Rightarrow 1 = (x - 1)^{\frac{2}{3}} \Rightarrow 1 = (x-1)^2 \Rightarrow x-1 = \pm 1$. Отсюда $x=2$ или $x=0$. Точки $(0, 0)$ и $(2, 0)$.
- Дополнительные точки: при $x=9$, $y = 2(8)^{2/3} - 2 = 2(4)-2=6$. Точка $(9, 6)$. При $x=-7$, $y = 2(-8)^{2/3} - 2 = 2(4)-2=6$. Точка $(-7, 6)$.
Ответ: График функции $y = 2(x - 1)^{\frac{2}{3}} - 2$ представляет собой график функции $y=x^{2/3}$, сдвинутый на 1 единицу вправо, растянутый в 2 раза по вертикали и сдвинутый на 2 единицы вниз. График имеет точку возврата в точке $(1, -2)$ и проходит через точки $(0,0)$ и $(2,0)$. Он симметричен относительно вертикальной прямой $x=1$. Область значений функции — $[-2, +\infty)$.
б) $y = -\frac{1}{\sqrt[4]{x+4}} + 2$
Для построения графика используем преобразования базовой функции $y_0 = x^{-\frac{1}{4}}$, или $y_0 = \frac{1}{\sqrt[4]{x}}$.
- Базовый график $y_0 = \frac{1}{\sqrt[4]{x}}$.
- Область определения: $x > 0$, т.е. $D(y_0) = (0; +\infty)$.
- График имеет вертикальную асимптоту $x=0$ и горизонтальную асимптоту $y=0$.
- Функция убывающая, все значения положительны.
- Ключевые точки: $(1, 1)$, $(16, 1/2)$.
- Преобразования:
- $y_1 = \frac{1}{\sqrt[4]{x+4}}$: Сдвиг графика $y_0$ на 4 единицы влево. Вертикальная асимптота смещается на $x=-4$. Область определения становится $x > -4$.
- $y_2 = -\frac{1}{\sqrt[4]{x+4}}$: Симметричное отражение графика $y_1$ относительно оси абсцисс.
- $y = -\frac{1}{\sqrt[4]{x+4}} + 2$: Сдвиг графика $y_2$ на 2 единицы вверх. Горизонтальная асимптота смещается на $y=2$.
- Анализ итоговой функции $y = -\frac{1}{\sqrt[4]{x+4}} + 2$:
- Область определения: $x+4 > 0 \Rightarrow x > -4$. $D(y) = (-4; +\infty)$.
- Область значений: $\frac{1}{\sqrt[4]{x+4}} > 0 \Rightarrow -\frac{1}{\sqrt[4]{x+4}} < 0 \Rightarrow y < 2$. $E(y) = (-\infty; 2)$.
- Асимптоты: вертикальная $x=-4$, горизонтальная $y=2$.
- Пересечение с осью OY ($x=0$): $y = -\frac{1}{\sqrt[4]{4}} + 2 = -\frac{1}{\sqrt{2}} + 2 = 2 - \frac{\sqrt{2}}{2} \approx 1.29$. Точка $(0, 2 - \frac{1}{\sqrt{2}})$.
- Пересечение с осью OX ($y=0$): $0 = -\frac{1}{\sqrt[4]{x+4}} + 2 \Rightarrow \frac{1}{\sqrt[4]{x+4}} = 2 \Rightarrow \sqrt[4]{x+4} = \frac{1}{2} \Rightarrow x+4 = \frac{1}{16} \Rightarrow x = -3\frac{15}{16}$. Точка $(-3\frac{15}{16}, 0)$.
- Дополнительные точки: при $x=-3$, $y = -\frac{1}{\sqrt[4]{1}} + 2 = 1$. Точка $(-3, 1)$. При $x=12$, $y = -\frac{1}{\sqrt[4]{16}} + 2 = -\frac{1}{2} + 2 = 1.5$. Точка $(12, 1.5)$.
Ответ: График функции $y = -\frac{1}{\sqrt[4]{x+4}} + 2$ получается из графика $y = 1/\sqrt[4]{x}$ сдвигом на 4 влево, отражением относительно оси OX и сдвигом на 2 вверх. График расположен в области $x > -4$, приближаясь к вертикальной асимптоте $x=-4$ слева и к горизонтальной асимптоте $y=2$ при $x \to \infty$. Функция возрастающая на всей области определения. Область значений $(-\infty; 2)$.
в) $y = -(x + 2)^{\frac{3}{2}} + 1$
Строим график с помощью преобразований базовой функции $y_0 = x^{\frac{3}{2}}$, или $y_0 = \sqrt{x^3}$.
- Базовый график $y_0 = x^{\frac{3}{2}}$.
- Область определения: $x \ge 0$, т.е. $D(y_0) = [0; +\infty)$.
- График начинается в точке $(0, 0)$ и монотонно возрастает.
- Ключевые точки: $(0, 0)$, $(1, 1)$, $(4, 8)$.
- Преобразования:
- $y_1 = (x+2)^{\frac{3}{2}}$: Сдвиг графика $y_0$ на 2 единицы влево. Начальная точка смещается в $(-2, 0)$. Область определения $x \ge -2$.
- $y_2 = -(x+2)^{\frac{3}{2}}$: Симметричное отражение графика $y_1$ относительно оси абсцисс. График теперь убывает от начальной точки.
- $y = -(x+2)^{\frac{3}{2}} + 1$: Сдвиг графика $y_2$ на 1 единицу вверх. Начальная точка смещается в $(-2, 1)$.
- Анализ итоговой функции $y = -(x + 2)^{\frac{3}{2}} + 1$:
- Область определения: $x+2 \ge 0 \Rightarrow x \ge -2$. $D(y) = [-2; +\infty)$.
- Область значений: $(x+2)^{\frac{3}{2}} \ge 0 \Rightarrow -(x+2)^{\frac{3}{2}} \le 0 \Rightarrow y \le 1$. $E(y) = (-\infty; 1]$.
- Начальная точка графика: $(-2, 1)$.
- Пересечение с осью OY ($x=0$): $y = -(0+2)^{\frac{3}{2}} + 1 = -2\sqrt{2} + 1 \approx -1.83$. Точка $(0, 1-2\sqrt{2})$.
- Пересечение с осью OX ($y=0$): $0 = -(x+2)^{\frac{3}{2}} + 1 \Rightarrow (x+2)^{\frac{3}{2}} = 1 \Rightarrow x+2 = 1 \Rightarrow x = -1$. Точка $(-1, 0)$.
- Дополнительная точка: при $x=2$, $y = -(2+2)^{3/2} + 1 = -4^{3/2} + 1 = -8+1 = -7$. Точка $(2, -7)$.
Ответ: График функции $y = -(x + 2)^{\frac{3}{2}} + 1$ — это ветвь параболы, которая получается из графика $y=x^{3/2}$ сдвигом на 2 влево, отражением относительно оси OX и сдвигом на 1 вверх. График начинается в точке $(-2, 1)$, убывает на всей области определения $[-2, +\infty)$ и пересекает оси координат в точках $(-1, 0)$ и $(0, 1-2\sqrt{2})$.
г) $y = 1,5(x - 3)^{-\frac{2}{7}} - 4$
Строим график с помощью преобразований базовой функции $y_0 = x^{-\frac{2}{7}}$, или $y_0 = \frac{1}{\sqrt[7]{x^2}}$.
- Базовый график $y_0 = x^{-\frac{2}{7}}$.
- Область определения: $x \neq 0$, т.е. $D(y_0) = (-\infty; 0) \cup (0; +\infty)$.
- Функция четная, график симметричен относительно оси OY.
- Асимптоты: вертикальная $x=0$, горизонтальная $y=0$.
- Ключевые точки: $(1, 1)$, $(-1, 1)$. При $x \to 0$, $y \to +\infty$.
- Преобразования:
- $y_1 = (x-3)^{-\frac{2}{7}}$: Сдвиг графика $y_0$ на 3 единицы вправо. Вертикальная асимптота смещается на $x=3$.
- $y_2 = 1,5(x-3)^{-\frac{2}{7}}$: Растяжение графика $y_1$ в 1,5 раза вдоль оси ординат.
- $y = 1,5(x-3)^{-\frac{2}{7}} - 4$: Сдвиг графика $y_2$ на 4 единицы вниз. Горизонтальная асимптота смещается на $y=-4$.
- Анализ итоговой функции $y = 1,5(x - 3)^{-\frac{2}{7}} - 4$:
- Область определения: $x-3 \neq 0 \Rightarrow x \neq 3$. $D(y) = (-\infty; 3) \cup (3; +\infty)$.
- Область значений: $(x-3)^{-2/7} > 0 \Rightarrow 1,5(x-3)^{-2/7} > 0 \Rightarrow y > -4$. $E(y) = (-4; +\infty)$.
- Асимптоты: вертикальная $x=3$, горизонтальная $y=-4$.
- График симметричен относительно прямой $x=3$.
- Пересечение с осью OY ($x=0$): $y = 1,5(-3)^{-2/7} - 4 = \frac{1,5}{\sqrt[7]{9}} - 4 \approx -2.9$. Точка $(0, \frac{1,5}{\sqrt[7]{9}} - 4)$.
- Пересечение с осью OX ($y=0$): $0 = 1,5(x-3)^{-2/7} - 4 \Rightarrow (x-3)^{-2/7} = \frac{4}{1,5} = \frac{8}{3} \Rightarrow (x-3)^{2/7} = \frac{3}{8} \Rightarrow (x-3)^2 = (\frac{3}{8})^7 \Rightarrow x-3 = \pm \sqrt{(\frac{3}{8})^7} = \pm (\frac{3}{8})^{3.5}$. $x = 3 \pm (\frac{3}{8})^{3.5}$. Это точки, очень близкие к асимптоте $x=3$.
- Дополнительные точки: при $x=4$, $y = 1,5(1)^{-2/7} - 4 = 1,5 - 4 = -2,5$. Точка $(4, -2.5)$. В силу симметрии, при $x=2$, $y$ также равен $-2,5$. Точка $(2, -2.5)$.
Ответ: График функции $y = 1,5(x - 3)^{-\frac{2}{7}} - 4$ получается из графика $y=x^{-2/7}$ сдвигом на 3 вправо, растяжением в 1,5 раза по вертикали и сдвигом на 4 вниз. График состоит из двух ветвей, симметричных относительно вертикальной асимптоты $x=3$. Ветви уходят на $+\infty$ при приближении к $x=3$ с обеих сторон. При $x \to \pm\infty$ график приближается к горизонтальной асимптоте $y=-4$ сверху. Область значений $(-4, +\infty)$.
№38.37 (с. 151)
Условие. №38.37 (с. 151)
скриншот условия

38.37 Проведите касательную к графику функции $y = f(x)$, параллельную заданной прямой $y = kx + m$:
a) $f(x) = 4\sqrt[4]{x}$, $y = x - 2$;
б) $f(x) = \frac{1}{x^3}$, $y = 5 - 3x$.
Решение 1. №38.37 (с. 151)

Решение 2. №38.37 (с. 151)


Решение 3. №38.37 (с. 151)

Решение 5. №38.37 (с. 151)



Решение 6. №38.37 (с. 151)
а)
Требуется найти уравнение касательной к графику функции $f(x) = 4\sqrt[4]{x}$, которая параллельна прямой $y = x - 2$.
Условие параллельности двух прямых заключается в равенстве их угловых коэффициентов. Угловой коэффициент (наклон) прямой $y = x - 2$ равен $k=1$.
Угловой коэффициент касательной к графику функции $y = f(x)$ в точке с абсциссой $x_0$ равен значению производной функции в этой точке, то есть $f'(x_0)$.
Таким образом, для нахождения точки касания необходимо решить уравнение $f'(x_0) = 1$.
1. Найдём производную функции $f(x)$. Для удобства представим функцию в виде $f(x) = 4x^{1/4}$.
$f'(x) = (4x^{1/4})' = 4 \cdot \frac{1}{4}x^{\frac{1}{4}-1} = x^{-3/4} = \frac{1}{x^{3/4}} = \frac{1}{\sqrt[4]{x^3}}$.
2. Найдём абсциссу точки касания $x_0$, решив уравнение $f'(x_0) = 1$.
$\frac{1}{\sqrt[4]{x_0^3}} = 1$
$\sqrt[4]{x_0^3} = 1$
$x_0^3 = 1^4$
$x_0 = 1$.
3. Найдём ординату точки касания $y_0 = f(x_0)$.
$y_0 = f(1) = 4\sqrt[4]{1} = 4 \cdot 1 = 4$.
Таким образом, точка касания имеет координаты $(1; 4)$.
4. Составим уравнение касательной по формуле $y = y_0 + k(x - x_0)$, где $k=1$, $x_0=1$, $y_0=4$.
$y = 4 + 1 \cdot (x - 1)$
$y = 4 + x - 1$
$y = x + 3$.
Ответ: $y = x + 3$.
б)
Требуется найти уравнение касательной к графику функции $f(x) = \frac{1}{x^3}$, которая параллельна прямой $y = 5 - 3x$.
Угловой коэффициент прямой $y = 5 - 3x$ равен $k=-3$.
Искомая касательная должна иметь такой же угловой коэффициент, поэтому будем искать точку $x_0$, в которой $f'(x_0) = -3$.
1. Найдём производную функции $f(x)$. Представим функцию в виде $f(x) = x^{-3}$.
$f'(x) = (x^{-3})' = -3x^{-3-1} = -3x^{-4} = -\frac{3}{x^4}$.
2. Найдём абсциссы точек касания, решив уравнение $f'(x_0) = -3$.
$-\frac{3}{x_0^4} = -3$
Разделим обе части на $-3$:
$\frac{1}{x_0^4} = 1$
$x_0^4 = 1$.
Это уравнение имеет два действительных корня: $x_0 = 1$ и $x_0 = -1$. Следовательно, существуют две касательные, удовлетворяющие условию задачи.
3. Найдём уравнения для каждой касательной.
Случай 1: $x_0 = 1$.
Найдём ординату точки касания: $y_0 = f(1) = \frac{1}{1^3} = 1$.
Точка касания: $(1; 1)$.
Уравнение касательной: $y - 1 = -3(x - 1)$, откуда $y = -3x + 3 + 1$, то есть $y = -3x + 4$.
Случай 2: $x_0 = -1$.
Найдём ординату точки касания: $y_0 = f(-1) = \frac{1}{(-1)^3} = -1$.
Точка касания: $(-1; -1)$.
Уравнение касательной: $y - (-1) = -3(x - (-1))$, откуда $y + 1 = -3(x+1)$, то есть $y = -3x - 3 - 1$, что дает $y = -3x - 4$.
Ответ: $y = -3x + 4$ и $y = -3x - 4$.
№38.34 (с. 151)
Условие. №38.34 (с. 151)
скриншот условия

38.34 Решите графически неравенство:
а) $x^{\frac{1}{2}} < 6 - x;$
б) $x^{\frac{3}{2}} \ge x^{-2};$
в) $x^{-\frac{1}{4}} \le x^3;$
г) $x^{\frac{2}{3}} > x - 4.$
Решение 1. №38.34 (с. 151)

Решение 2. №38.34 (с. 151)




Решение 3. №38.34 (с. 151)

Решение 5. №38.34 (с. 151)



Решение 6. №38.34 (с. 151)
а) $x^{\frac{1}{2}} < 6 - x$
Для решения данного неравенства графическим методом необходимо построить в одной системе координат графики двух функций: $y = x^{\frac{1}{2}}$ и $y = 6 - x$, а затем определить, на каких интервалах график первой функции находится ниже графика второй.
1. Построим график функции $y_1 = x^{\frac{1}{2}}$, что эквивалентно $y_1 = \sqrt{x}$. Область определения этой функции — $x \ge 0$. График представляет собой верхнюю ветвь параболы, симметричной относительно оси Ox, и расположен в первой координатной четверти.
2. Построим график функции $y_2 = 6 - x$. Это линейная функция, ее график — прямая. Для построения найдем две точки, например, $(0, 6)$ и $(6, 0)$.
3. Найдем абсциссу точки пересечения графиков, решив уравнение $x^{\frac{1}{2}} = 6 - x$.
Учтем область определения $x \ge 0$ и условие неотрицательности правой части $6 - x \ge 0$, то есть $x \le 6$. Таким образом, корень должен лежать в отрезке $[0, 6]$.
Возведем обе части уравнения в квадрат:
$(\sqrt{x})^2 = (6 - x)^2$
$x = 36 - 12x + x^2$
$x^2 - 13x + 36 = 0$
По теореме Виета, корни этого квадратного уравнения $x_1 = 4$ и $x_2 = 9$.
Корень $x_2 = 9$ не удовлетворяет условию $x \le 6$, поэтому он является посторонним. Корень $x_1 = 4$ принадлежит отрезку $[0, 6]$.
Следовательно, графики функций пересекаются в одной точке, абсцисса которой равна 4.
4. Неравенство $x^{\frac{1}{2}} < 6 - x$ выполняется для тех $x$ из области определения $[0, +\infty)$, где график $y = \sqrt{x}$ лежит ниже прямой $y = 6 - x$. Это происходит на интервале от начала области определения ($x=0$) до точки их пересечения ($x=4$). Поскольку неравенство строгое, точка пересечения не включается в решение.
Ответ: $x \in [0, 4)$.
б) $x^{\frac{3}{2}} \ge x^{-2}$
Рассмотрим функции $y_1 = x^{\frac{3}{2}}$ и $y_2 = x^{-2}$ и построим их графики.
1. Функция $y_1 = x^{\frac{3}{2}} = x\sqrt{x}$. Область определения $D(y_1) = [0, +\infty)$. График начинается в точке $(0, 0)$ и монотонно возрастает.
2. Функция $y_2 = x^{-2} = \frac{1}{x^2}$. Область определения $D(y_2) = (-\infty, 0) \cup (0, +\infty)$. Так как в первой функции $x \ge 0$, общая область определения для неравенства — $x > 0$. В этой области график $y_2$ представляет собой убывающую кривую в первой четверти.
3. Найдем точку пересечения графиков для $x > 0$ из уравнения $x^{\frac{3}{2}} = x^{-2}$.
$x^{\frac{3}{2}} = \frac{1}{x^2}$
$x^{\frac{3}{2}} \cdot x^2 = 1$
$x^{\frac{3}{2} + 2} = x^{\frac{7}{2}} = 1$
Единственным положительным решением является $x = 1$. Точка пересечения — $(1, 1)$.
4. Нам нужно найти значения $x$, при которых график $y_1$ находится не ниже (выше или совпадает) графика $y_2$. На промежутке $(0, 1)$ функция $y_1$ возрастает от 0 до 1, а $y_2$ убывает от $+\infty$ до 1, поэтому $y_1 < y_2$. На промежутке $(1, +\infty)$ функция $y_1$ продолжает возрастать, а $y_2$ убывает к 0, поэтому $y_1 > y_2$. В точке $x=1$ функции равны. Так как неравенство нестрогое ($\ge$), точка $x=1$ включается в решение.
Ответ: $x \in [1, +\infty)$.
в) $x^{-\frac{1}{4}} \le x^3$
Построим графики функций $y_1 = x^{-\frac{1}{4}}$ и $y_2 = x^3$.
1. Функция $y_1 = x^{-\frac{1}{4}} = \frac{1}{\sqrt[4]{x}}$. Область определения $D(y_1) = (0, +\infty)$. График расположен в первой четверти и является убывающей функцией.
2. Функция $y_2 = x^3$. График — кубическая парабола. Общая область определения для неравенства — $x > 0$.
3. Найдем точку пересечения графиков для $x > 0$, решив уравнение $x^{-\frac{1}{4}} = x^3$.
$\frac{1}{x^{1/4}} = x^3$
$1 = x^3 \cdot x^{1/4}$
$1 = x^{3 + \frac{1}{4}} = x^{\frac{13}{4}}$
Единственное положительное решение — $x=1$. Точка пересечения — $(1, 1)$.
4. Ищем значения $x$, при которых график $y_1$ лежит не выше (ниже или совпадает) графика $y_2$. На интервале $(0, 1)$ график $y_1 = \frac{1}{\sqrt[4]{x}}$ находится выше графика $y_2 = x^3$. На интервале $(1, +\infty)$ график $y_1$ находится ниже графика $y_2$. В точке $x=1$ графики пересекаются. Так как неравенство нестрогое ($\le$), решение включает точку $x=1$.
Ответ: $x \in [1, +\infty)$.
г) $x^{\frac{2}{3}} > x - 4$
Построим графики функций $y_1 = x^{\frac{2}{3}}$ и $y_2 = x - 4$.
1. Функция $y_1 = x^{\frac{2}{3}} = \sqrt[3]{x^2}$. Область определения $D(y_1) = (-\infty, +\infty)$. Функция четная, ее график симметричен относительно оси Oy. Значения функции всегда неотрицательны, $y_1 \ge 0$. В точке $(0,0)$ график имеет точку возврата (касп).
2. Функция $y_2 = x - 4$. График — прямая, пересекающая оси в точках $(0, -4)$ и $(4, 0)$.
3. Найдем точку пересечения, решив уравнение $x^{\frac{2}{3}} = x - 4$.
Поскольку левая часть всегда неотрицательна, правая часть также должна быть неотрицательной, то есть $x - 4 \ge 0 \Rightarrow x \ge 4$.
Подбором находим корень $x=8$:
$y_1(8) = 8^{\frac{2}{3}} = (\sqrt[3]{8})^2 = 2^2 = 4$
$y_2(8) = 8 - 4 = 4$
Так как $4=4$, то $x=8$ — абсцисса точки пересечения. Можно показать, что других точек пересечения нет.
4. Нам нужно найти значения $x$, при которых график $y_1$ лежит строго выше графика $y_2$.
— При $x < 4$, значения $y_1 = x^{\frac{2}{3}}$ неотрицательны ($y_1 \ge 0$), а значения $y_2 = x-4$ отрицательны ($y_2 < 0$). Очевидно, что любое неотрицательное число больше любого отрицательного, поэтому неравенство $y_1 > y_2$ выполняется для всех $x < 4$.
— При $x \in [4, 8)$, график $y_1$ все еще находится выше графика $y_2$. Например, при $x=5$, $y_1=\sqrt[3]{25} \approx 2.92$, а $y_2 = 1$.
— В точке $x=8$ значения функций равны, но так как неравенство строгое, эта точка не входит в решение.
— При $x > 8$ прямая $y_2=x-4$ растет быстрее, чем кривая $y_1=x^{2/3}$, и ее график оказывается выше.
Объединяя интервалы, на которых выполняется неравенство, получаем решение.
Ответ: $x \in (-\infty, 8)$.
№38.31 (с. 151)
Условие. №38.31 (с. 151)
скриншот условия

38.31 Исследуйте функцию на монотонность и экстремумы:
a) $y = \frac{2}{3}x\sqrt{x} - 2x;$
б) $y = \frac{3}{2}x^{\frac{2}{3}} - x.$
Решение 1. №38.31 (с. 151)

Решение 2. №38.31 (с. 151)


Решение 3. №38.31 (с. 151)

Решение 5. №38.31 (с. 151)

Решение 6. №38.31 (с. 151)
а) $y = \frac{2}{3}x\sqrt{x} - 2x$
1. Область определения функции.
Функция содержит выражение $\sqrt{x}$, которое определено при $x \ge 0$. Следовательно, область определения функции $D(y) = [0, +\infty)$.
2. Производная функции.
Для удобства дифференцирования представим функцию в виде $y = \frac{2}{3}x^{\frac{3}{2}} - 2x$.
Найдем производную $y'$:
$y' = \left(\frac{2}{3}x^{\frac{3}{2}} - 2x\right)' = \frac{2}{3} \cdot \frac{3}{2}x^{\frac{3}{2}-1} - 2 = x^{\frac{1}{2}} - 2 = \sqrt{x} - 2$.
3. Критические точки.
Критические точки — это точки из области определения, в которых производная равна нулю или не существует. Производная $y' = \sqrt{x} - 2$ определена на всей области определения функции $[0, +\infty)$.
Найдем точки, в которых производная равна нулю:
$y' = 0 \implies \sqrt{x} - 2 = 0$
$\sqrt{x} = 2$
$x = 4$
Точка $x=4$ принадлежит области определения функции, следовательно, это единственная критическая точка.
4. Промежутки монотонности.
Исследуем знак производной на промежутках, на которые область определения $[0, +\infty)$ делится критической точкой $x=4$.
- Промежуток $[0, 4)$: Возьмем пробную точку $x=1$. $y'(1) = \sqrt{1} - 2 = -1 < 0$. Так как производная отрицательна, функция убывает на промежутке $[0, 4]$.
- Промежуток $(4, +\infty)$: Возьмем пробную точку $x=9$. $y'(9) = \sqrt{9} - 2 = 1 > 0$. Так как производная положительна, функция возрастает на промежутке $[4, +\infty)$.
5. Экстремумы.
В точке $x=4$ производная меняет знак с минуса на плюс, следовательно, $x=4$ — точка локального минимума.
Найдем значение функции в этой точке:
$y_{min} = y(4) = \frac{2}{3} \cdot 4\sqrt{4} - 2 \cdot 4 = \frac{2}{3} \cdot 4 \cdot 2 - 8 = \frac{16}{3} - 8 = \frac{16 - 24}{3} = -\frac{8}{3}$.
Ответ: функция убывает на промежутке $[0, 4]$, возрастает на промежутке $[4, +\infty)$; $x_{min} = 4$, $y_{min} = -\frac{8}{3}$.
б) $y = \frac{3}{2}x^{\frac{2}{3}} - x$
1. Область определения функции.
Функция $y = \frac{3}{2}\sqrt[3]{x^2} - x$ определена для всех действительных чисел. Следовательно, область определения $D(y) = (-\infty, +\infty)$.
2. Производная функции.
Найдем производную $y'$:
$y' = \left(\frac{3}{2}x^{\frac{2}{3}} - x\right)' = \frac{3}{2} \cdot \frac{2}{3}x^{\frac{2}{3}-1} - 1 = x^{-\frac{1}{3}} - 1 = \frac{1}{\sqrt[3]{x}} - 1$.
3. Критические точки.
Критические точки — это точки из области определения, в которых производная равна нулю или не существует.
- Производная не существует, когда знаменатель $\sqrt[3]{x}$ равен нулю, то есть при $x=0$. Эта точка принадлежит области определения, значит $x=0$ — критическая точка.
- Найдем точки, в которых производная равна нулю:
$y' = 0 \implies \frac{1}{\sqrt[3]{x}} - 1 = 0$
$\frac{1}{\sqrt[3]{x}} = 1$
$\sqrt[3]{x} = 1$
$x = 1$
Точка $x=1$ принадлежит области определения, следовательно, это вторая критическая точка.
4. Промежутки монотонности.
Исследуем знак производной $y' = \frac{1-\sqrt[3]{x}}{\sqrt[3]{x}}$ на промежутках, на которые область определения $(-\infty, +\infty)$ делится критическими точками $x=0$ и $x=1$.
- Промежуток $(-\infty, 0)$: Возьмем пробную точку $x=-8$. $y'(-8) = \frac{1}{\sqrt[3]{-8}} - 1 = -\frac{1}{2} - 1 = -1.5 < 0$. Функция убывает на промежутке $(-\infty, 0]$.
- Промежуток $(0, 1)$: Возьмем пробную точку $x=1/8$. $y'(1/8) = \frac{1}{\sqrt[3]{1/8}} - 1 = 2 - 1 = 1 > 0$. Функция возрастает на промежутке $[0, 1]$.
- Промежуток $(1, +\infty)$: Возьмем пробную точку $x=8$. $y'(8) = \frac{1}{\sqrt[3]{8}} - 1 = \frac{1}{2} - 1 = -0.5 < 0$. Функция убывает на промежутке $[1, +\infty)$.
5. Экстремумы.
- В точке $x=0$ производная меняет знак с минуса на плюс, следовательно, $x=0$ — точка локального минимума. Найдем значение функции: $y_{min} = y(0) = \frac{3}{2}(0)^{\frac{2}{3}} - 0 = 0$.
- В точке $x=1$ производная меняет знак с плюса на минус, следовательно, $x=1$ — точка локального максимума. Найдем значение функции: $y_{max} = y(1) = \frac{3}{2}(1)^{\frac{2}{3}} - 1 = \frac{3}{2} - 1 = \frac{1}{2}$.
Ответ: функция убывает на промежутках $(-\infty, 0]$ и $[1, +\infty)$, возрастает на промежутке $[0, 1]$; $x_{min} = 0$, $y_{min} = 0$; $x_{max} = 1$, $y_{max} = \frac{1}{2}$.
№38.35 (с. 151)
Условие. №38.35 (с. 151)
скриншот условия

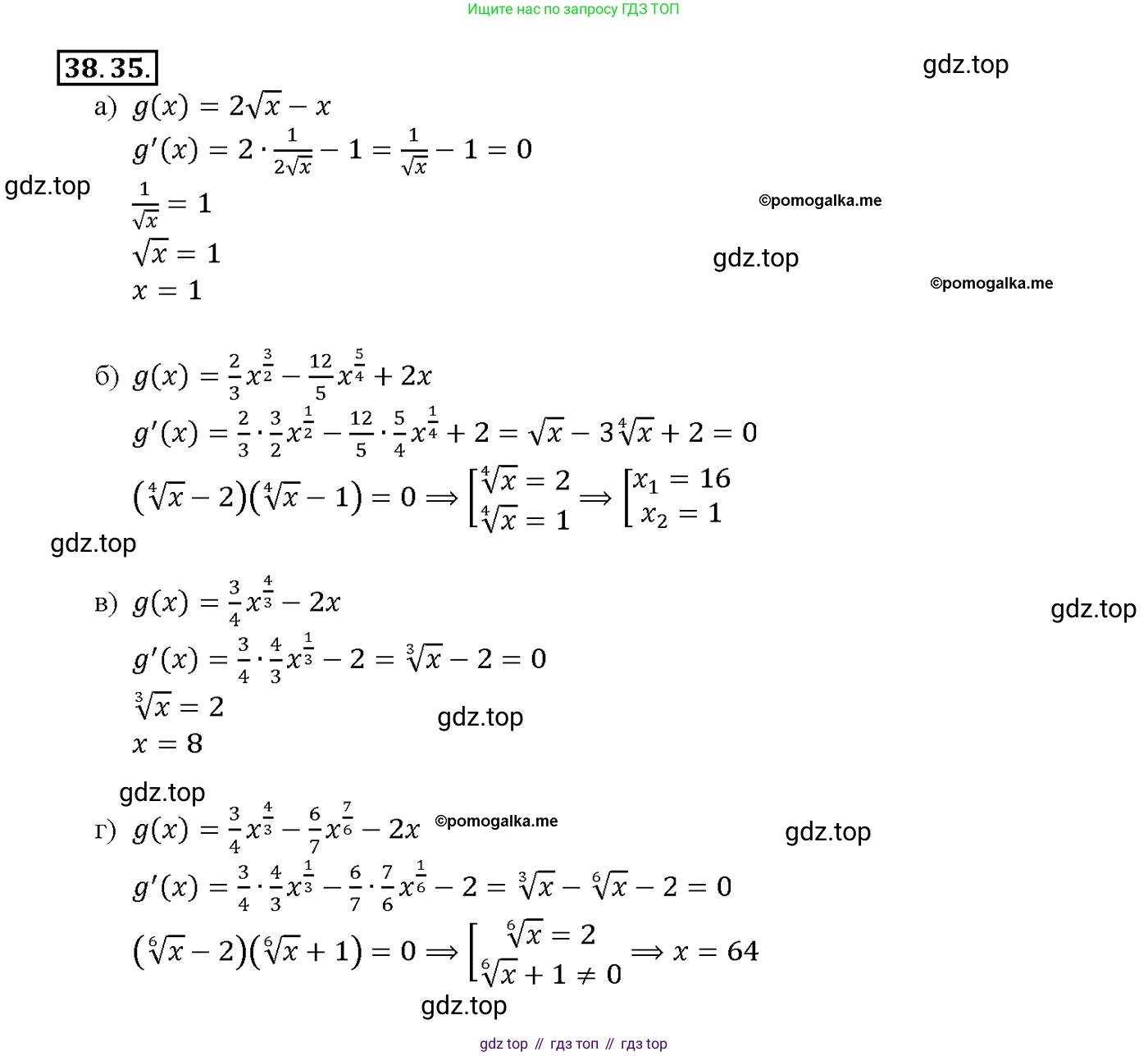
38.35 Решите уравнение $g'(x) = 0$, если:
а) $g(x) = 2\sqrt{x} - x$;
б) $g(x) = \frac{2}{3}x^{\frac{3}{2}} - \frac{12}{5}x^{\frac{5}{4}} + 2x$;
в) $g(x) = \frac{3}{4}x^{\frac{4}{3}} - 2x$;
г) $g(x) = \frac{3}{4}x^{\frac{4}{3}} - \frac{6}{7}x^{\frac{7}{6}} - 2x$.
Решение 1. №38.35 (с. 151)

Решение 2. №38.35 (с. 151)


Решение 3. №38.35 (с. 151)

Решение 5. №38.35 (с. 151)


Решение 6. №38.35 (с. 151)
а) Дана функция $g(x) = 2\sqrt{x} - x$.
Для решения уравнения $g'(x) = 0$ сначала найдем производную функции $g(x)$. Представим функцию в виде $g(x) = 2x^{\frac{1}{2}} - x$. Используя правило дифференцирования степенной функции $(x^n)' = nx^{n-1}$, получаем:
$g'(x) = (2x^{\frac{1}{2}} - x)' = 2 \cdot \frac{1}{2}x^{\frac{1}{2} - 1} - 1 = x^{-\frac{1}{2}} - 1 = \frac{1}{\sqrt{x}} - 1$.
Теперь приравняем производную к нулю и решим полученное уравнение. Область определения производной $x > 0$.
$\frac{1}{\sqrt{x}} - 1 = 0$
$\frac{1}{\sqrt{x}} = 1$
$\sqrt{x} = 1$
Возведя обе части уравнения в квадрат, находим $x = 1$. Этот корень удовлетворяет условию $x > 0$.
Ответ: 1
б) Дана функция $g(x) = \frac{2}{3}x^{\frac{3}{2}} - \frac{12}{5}x^{\frac{5}{4}} + 2x$.
Найдем производную функции $g(x)$, применяя правило дифференцирования степенной функции:
$g'(x) = (\frac{2}{3}x^{\frac{3}{2}} - \frac{12}{5}x^{\frac{5}{4}} + 2x)' = \frac{2}{3} \cdot \frac{3}{2}x^{\frac{3}{2}-1} - \frac{12}{5} \cdot \frac{5}{4}x^{\frac{5}{4}-1} + 2 = x^{\frac{1}{2}} - 3x^{\frac{1}{4}} + 2$.
Решим уравнение $g'(x) = 0$:
$x^{\frac{1}{2}} - 3x^{\frac{1}{4}} + 2 = 0$
Перепишем уравнение в виде $\sqrt{x} - 3\sqrt[4]{x} + 2 = 0$. Это уравнение является квадратным относительно $\sqrt[4]{x}$. Сделаем замену переменной. Пусть $y = \sqrt[4]{x}$, тогда $y^2 = \sqrt{x}$. Уравнение примет вид:
$y^2 - 3y + 2 = 0$
По теореме Виета, корнями этого квадратного уравнения являются $y_1 = 1$ и $y_2 = 2$.
Выполним обратную замену:
1) Если $y = 1$, то $\sqrt[4]{x} = 1$, откуда $x = 1^4 = 1$.
2) Если $y = 2$, то $\sqrt[4]{x} = 2$, откуда $x = 2^4 = 16$.
Оба корня принадлежат области определения функции и ее производной ($x > 0$).
Ответ: 1; 16
в) Дана функция $g(x) = \frac{3}{4}x^{\frac{4}{3}} - 2x$.
Найдем производную функции $g(x)$:
$g'(x) = (\frac{3}{4}x^{\frac{4}{3}} - 2x)' = \frac{3}{4} \cdot \frac{4}{3}x^{\frac{4}{3}-1} - 2 = x^{\frac{1}{3}} - 2$.
Решим уравнение $g'(x) = 0$:
$x^{\frac{1}{3}} - 2 = 0$
$\sqrt[3]{x} = 2$
Возведя обе части уравнения в куб, получаем $x = 2^3 = 8$.
Ответ: 8
г) Дана функция $g(x) = \frac{3}{4}x^{\frac{4}{3}} - \frac{6}{7}x^{\frac{7}{6}} - 2x$.
Найдем производную функции $g(x)$:
$g'(x) = (\frac{3}{4}x^{\frac{4}{3}} - \frac{6}{7}x^{\frac{7}{6}} - 2x)' = \frac{3}{4} \cdot \frac{4}{3}x^{\frac{4}{3}-1} - \frac{6}{7} \cdot \frac{7}{6}x^{\frac{7}{6}-1} - 2 = x^{\frac{1}{3}} - x^{\frac{1}{6}} - 2$.
Решим уравнение $g'(x) = 0$:
$x^{\frac{1}{3}} - x^{\frac{1}{6}} - 2 = 0$
Перепишем уравнение в виде $\sqrt[3]{x} - \sqrt[6]{x} - 2 = 0$. Это уравнение является квадратным относительно $\sqrt[6]{x}$. Сделаем замену переменной. Пусть $y = \sqrt[6]{x}$. Так как корень четной степени, должно выполняться условие $y \ge 0$. Тогда $y^2 = \sqrt[3]{x}$. Уравнение примет вид:
$y^2 - y - 2 = 0$
Корнями этого квадратного уравнения являются $y_1 = 2$ и $y_2 = -1$.
Так как $y \ge 0$, корень $y_2 = -1$ является посторонним.
Выполним обратную замену для $y_1 = 2$:
$\sqrt[6]{x} = 2$
Возведя обе части в шестую степень, получаем $x = 2^6 = 64$.
Ответ: 64
№38.32 (с. 151)
Условие. №38.32 (с. 151)
скриншот условия

38.32 Найдите наименьшее и наибольшее значения заданной функции на заданном промежутке:
а) $y = \frac{2}{3}x\sqrt{x} - 2x$, $[1; 9];$
б) $y = \frac{3}{2}x^{\frac{2}{3}} - x$, $(0; 8);$
в) $y = \frac{2}{3}x\sqrt{x} - 2x$, $(1; 9);$
г) $y = \frac{3}{2}x^{\frac{2}{3}} - x$, $[0; 8].$
Решение 1. №38.32 (с. 151)

Решение 2. №38.32 (с. 151)



Решение 3. №38.32 (с. 151)

Решение 5. №38.32 (с. 151)



Решение 6. №38.32 (с. 151)
а) $y = \frac{2}{3}x\sqrt{x} - 2x$, на отрезке $[1; 9]$
1. Для нахождения наименьшего и наибольшего значений функции на отрезке, найдем ее значения в критических точках, принадлежащих этому отрезку, и на его концах. Представим функцию в виде $y = \frac{2}{3}x^{\frac{3}{2}} - 2x$.
2. Найдем производную функции:
$y' = (\frac{2}{3}x^{\frac{3}{2}} - 2x)' = \frac{2}{3} \cdot \frac{3}{2}x^{\frac{1}{2}} - 2 = \sqrt{x} - 2$.
3. Найдем критические точки, решив уравнение $y' = 0$:
$\sqrt{x} - 2 = 0 \implies \sqrt{x} = 2 \implies x = 4$.
Критическая точка $x=4$ принадлежит отрезку $[1; 9]$.
4. Вычислим значения функции в точке $x=4$ и на концах отрезка $x=1$ и $x=9$:
$y(1) = \frac{2}{3} \cdot 1^{\frac{3}{2}} - 2 \cdot 1 = \frac{2}{3} - 2 = -\frac{4}{3}$.
$y(4) = \frac{2}{3} \cdot 4^{\frac{3}{2}} - 2 \cdot 4 = \frac{2}{3} \cdot (\sqrt{4})^3 - 8 = \frac{2}{3} \cdot 8 - 8 = \frac{16}{3} - \frac{24}{3} = -\frac{8}{3}$.
$y(9) = \frac{2}{3} \cdot 9^{\frac{3}{2}} - 2 \cdot 9 = \frac{2}{3} \cdot (\sqrt{9})^3 - 18 = \frac{2}{3} \cdot 27 - 18 = 18 - 18 = 0$.
5. Сравнивая полученные значения ($-\frac{4}{3}$, $-\frac{8}{3}$, $0$), заключаем, что наименьшее значение функции равно $-\frac{8}{3}$, а наибольшее равно $0$.
Ответ: наименьшее значение $y_{min} = -\frac{8}{3}$, наибольшее значение $y_{max} = 0$.
б) $y = \frac{3}{2}x^{\frac{2}{3}} - x$, на интервале $(0; 8)$
1. Для нахождения наименьшего и наибольшего значений функции на интервале, найдем ее критические точки и исследуем поведение на границах интервала.
2. Найдем производную функции:
$y' = (\frac{3}{2}x^{\frac{2}{3}} - x)' = \frac{3}{2} \cdot \frac{2}{3}x^{-\frac{1}{3}} - 1 = x^{-\frac{1}{3}} - 1 = \frac{1}{\sqrt[3]{x}} - 1$.
3. Найдем критические точки. Производная равна нулю при $x=1$. Производная не определена при $x=0$, но эта точка не принадлежит интервалу $(0; 8)$.
Критическая точка $x=1$ принадлежит интервалу $(0; 8)$. При переходе через эту точку производная меняет знак с плюса на минус (например, $y'(0.125) = 1 > 0$, $y'(8) = -0.5 < 0$), следовательно, $x=1$ — точка максимума.
4. Значение функции в точке максимума: $y(1) = \frac{3}{2}(1)^{\frac{2}{3}} - 1 = \frac{3}{2} - 1 = \frac{1}{2}$. Это наибольшее значение функции на данном интервале.
5. Так как интервал открытый, наименьшее значение может не достигаться. Найдем пределы функции на границах интервала:
$\lim_{x \to 0^+} y(x) = \frac{3}{2}(0)^{\frac{2}{3}} - 0 = 0$.
$\lim_{x \to 8^-} y(x) = \frac{3}{2} \cdot 8^{\frac{2}{3}} - 8 = \frac{3}{2} \cdot (\sqrt[3]{8})^2 - 8 = \frac{3}{2} \cdot 4 - 8 = 6-8 = -2$.
6. Функция стремится к $-2$ при $x \to 8^-$, но не достигает этого значения внутри интервала $(0; 8)$. Следовательно, наименьшего значения у функции на данном интервале не существует.
Ответ: наибольшее значение $y_{max} = \frac{1}{2}$, наименьшего значения не существует.
в) $y = \frac{2}{3}x\sqrt{x} - 2x$, на интервале $(1; 9)$
1. Функция и ее производная такие же, как в пункте а): $y = \frac{2}{3}x^{\frac{3}{2}} - 2x$, $y' = \sqrt{x} - 2$.
2. Критическая точка $x=4$ принадлежит интервалу $(1; 9)$. При переходе через эту точку производная меняет знак с минуса на плюс (например, $y'(2) = \sqrt{2}-2 < 0$, $y'(5) = \sqrt{5}-2 > 0$), следовательно, $x=4$ — точка минимума.
3. Значение функции в точке минимума: $y(4) = \frac{2}{3} \cdot 4^{\frac{3}{2}} - 2 \cdot 4 = -\frac{8}{3}$. Это наименьшее значение функции на данном интервале.
4. Так как интервал открытый, наибольшее значение может не достигаться. Найдем пределы функции на границах интервала:
$\lim_{x \to 1^+} y(x) = \frac{2}{3}(1)^{\frac{3}{2}} - 2(1) = -\frac{4}{3}$.
$\lim_{x \to 9^-} y(x) = \frac{2}{3}(9)^{\frac{3}{2}} - 2(9) = 0$.
5. Функция стремится к $0$ при $x \to 9^-$, но не достигает этого значения внутри интервала $(1; 9)$. Следовательно, наибольшего значения у функции на данном интервале не существует.
Ответ: наименьшее значение $y_{min} = -\frac{8}{3}$, наибольшего значения не существует.
г) $y = \frac{3}{2}x^{\frac{2}{3}} - x$, на отрезке $[0; 8]$
1. Функция и ее производная такие же, как в пункте б): $y = \frac{3}{2}x^{\frac{2}{3}} - x$, $y' = \frac{1}{\sqrt[3]{x}} - 1$.
2. Найдем критические точки. Уравнение $y'=0$ дает $x=1$. Производная не определена при $x=0$. Обе точки, $x=0$ и $x=1$, принадлежат отрезку $[0; 8]$.
3. Вычислим значения функции в критических точках $x=0$, $x=1$ и на правом конце отрезка $x=8$:
$y(0) = \frac{3}{2} \cdot 0^{\frac{2}{3}} - 0 = 0$.
$y(1) = \frac{3}{2} \cdot 1^{\frac{2}{3}} - 1 = \frac{3}{2} - 1 = \frac{1}{2}$.
$y(8) = \frac{3}{2} \cdot 8^{\frac{2}{3}} - 8 = \frac{3}{2} \cdot (\sqrt[3]{8})^2 - 8 = \frac{3}{2} \cdot 4 - 8 = 6 - 8 = -2$.
4. Сравнивая полученные значения ($0$, $\frac{1}{2}$, $-2$), заключаем, что наименьшее значение функции равно $-2$, а наибольшее равно $\frac{1}{2}$.
Ответ: наименьшее значение $y_{min} = -2$, наибольшее значение $y_{max} = \frac{1}{2}$.
№38.36 (с. 151)
Условие. №38.36 (с. 151)
скриншот условия

38.36 Решите неравенство $f'(x) > 0$, если:
a) $f(x) = x^2 - \frac{2}{3}x^{\frac{3}{2}};$
б) $f(x) = -\frac{8}{x} - \frac{x^2}{2};$
В) $f(x) = \frac{3}{5}x^{\frac{5}{3}} + \frac{3}{2}x^{\frac{4}{3}};$
Г) $f(x) = 0,4x^{\frac{5}{4}} - \frac{8}{3}x^{\frac{3}{4}}.$
Решение 1. №38.36 (с. 151)

Решение 2. №38.36 (с. 151)


Решение 3. №38.36 (с. 151)

Решение 5. №38.36 (с. 151)




Решение 6. №38.36 (с. 151)
а)
Дана функция $f(x) = x^2 - \frac{2}{3}x^{\frac{3}{2}}$.
Область определения функции (ОДЗ) определяется выражением $x^{\frac{3}{2}} = \sqrt{x^3}$, откуда следует, что $x \ge 0$.
Сначала найдем производную функции $f(x)$:
$f'(x) = (x^2 - \frac{2}{3}x^{\frac{3}{2}})' = (x^2)' - (\frac{2}{3}x^{\frac{3}{2}})' = 2x - \frac{2}{3} \cdot \frac{3}{2}x^{\frac{3}{2}-1} = 2x - x^{\frac{1}{2}} = 2x - \sqrt{x}$.
Теперь решим неравенство $f'(x) > 0$:
$2x - \sqrt{x} > 0$
Для решения вынесем $\sqrt{x}$ за скобки. Заметим, что $x$ не может быть равен 0, так как $2(0) - \sqrt{0} = 0$, что не удовлетворяет строгому неравенству. Поэтому будем считать, что $x>0$.
$\sqrt{x}(2\sqrt{x} - 1) > 0$
Так как для $x>0$ множитель $\sqrt{x} > 0$, то мы можем разделить обе части неравенства на $\sqrt{x}$, не меняя знака:
$2\sqrt{x} - 1 > 0$
$2\sqrt{x} > 1$
$\sqrt{x} > \frac{1}{2}$
Возведем обе части неравенства в квадрат, так как обе части неотрицательны:
$x > (\frac{1}{2})^2$
$x > \frac{1}{4}$
Это решение удовлетворяет начальной области определения $x \ge 0$.
Ответ: $x \in (\frac{1}{4}; +\infty)$.
б)
Дана функция $f(x) = -\frac{8}{x} - \frac{x^2}{2}$.
Область определения функции: $x \ne 0$.
Для нахождения производной запишем функцию в виде $f(x) = -8x^{-1} - \frac{1}{2}x^2$.
Найдем производную:
$f'(x) = (-8x^{-1} - \frac{1}{2}x^2)' = -8(-1)x^{-1-1} - \frac{1}{2}(2x^1) = 8x^{-2} - x = \frac{8}{x^2} - x$.
Решим неравенство $f'(x) > 0$:
$\frac{8}{x^2} - x > 0$
Приведем выражение к общему знаменателю:
$\frac{8 - x^3}{x^2} > 0$
Знаменатель $x^2$ всегда положителен для любого $x$ из области определения ($x \ne 0$). Следовательно, знак дроби совпадает со знаком числителя:
$8 - x^3 > 0$
$8 > x^3$
$x^3 < 8$
Извлекая кубический корень из обеих частей, получаем:
$x < \sqrt[3]{8}$
$x < 2$
Учитывая область определения $x \ne 0$, получаем итоговое решение.
Ответ: $x \in (-\infty; 0) \cup (0; 2)$.
в)
Дана функция $f(x) = \frac{3}{5}x^{\frac{5}{3}} + \frac{3}{2}x^{\frac{4}{3}}$.
Область определения функции: $x \in \mathbb{R}$, так как корень нечетной степени (в знаменателе показателя) определен для любых действительных чисел.
Найдем производную:
$f'(x) = (\frac{3}{5}x^{\frac{5}{3}} + \frac{3}{2}x^{\frac{4}{3}})' = \frac{3}{5} \cdot \frac{5}{3}x^{\frac{5}{3}-1} + \frac{3}{2} \cdot \frac{4}{3}x^{\frac{4}{3}-1} = x^{\frac{2}{3}} + 2x^{\frac{1}{3}}$.
Решим неравенство $f'(x) > 0$:
$x^{\frac{2}{3}} + 2x^{\frac{1}{3}} > 0$
Вынесем общий множитель $x^{\frac{1}{3}}$ за скобки:
$x^{\frac{1}{3}}(x^{\frac{1}{3}} + 2) > 0$
Сделаем замену переменной $t = x^{\frac{1}{3}}$. Неравенство примет вид:
$t(t+2) > 0$
Корни соответствующего уравнения $t(t+2)=0$ равны $t_1=0$ и $t_2=-2$. Так как это квадратичная функция с ветвями параболы вверх, решение неравенства: $t < -2$ или $t > 0$.
Выполним обратную замену:
1) $x^{\frac{1}{3}} < -2 \implies \sqrt[3]{x} < -2 \implies x < (-2)^3 \implies x < -8$.
2) $x^{\frac{1}{3}} > 0 \implies \sqrt[3]{x} > 0 \implies x > 0^3 \implies x > 0$.
Объединяя полученные решения, получаем итоговый интервал.
Ответ: $x \in (-\infty; -8) \cup (0; +\infty)$.
г)
Дана функция $f(x) = 0,4x^{\frac{5}{4}} - \frac{8}{3}x^{\frac{3}{4}}$.
Область определения функции (ОДЗ): выражения $x^{\frac{5}{4}} = \sqrt[4]{x^5}$ и $x^{\frac{3}{4}} = \sqrt[4]{x^3}$ определены при $x \ge 0$.
Представим десятичную дробь в виде обыкновенной: $0,4 = \frac{4}{10} = \frac{2}{5}$. Тогда $f(x) = \frac{2}{5}x^{\frac{5}{4}} - \frac{8}{3}x^{\frac{3}{4}}$.
Найдем производную:
$f'(x) = (\frac{2}{5}x^{\frac{5}{4}} - \frac{8}{3}x^{\frac{3}{4}})' = \frac{2}{5} \cdot \frac{5}{4}x^{\frac{5}{4}-1} - \frac{8}{3} \cdot \frac{3}{4}x^{\frac{3}{4}-1} = \frac{1}{2}x^{\frac{1}{4}} - 2x^{-\frac{1}{4}}$.
Область определения производной $x>0$ из-за члена $x^{-\frac{1}{4}} = \frac{1}{\sqrt[4]{x}}$.
Решим неравенство $f'(x) > 0$ при $x>0$:
$\frac{1}{2}x^{\frac{1}{4}} - 2x^{-\frac{1}{4}} > 0$
$\frac{1}{2}x^{\frac{1}{4}} > 2x^{-\frac{1}{4}}$
$\frac{\sqrt[4]{x}}{2} > \frac{2}{\sqrt[4]{x}}$
Умножим обе части на $2\sqrt[4]{x}$. Так как $x>0$, это выражение положительно, и знак неравенства не изменится:
$(\sqrt[4]{x}) \cdot (\sqrt[4]{x}) > 2 \cdot 2$
$x^{\frac{1}{4}} \cdot x^{\frac{1}{4}} > 4$
$x^{\frac{1}{2}} > 4$
$\sqrt{x} > 4$
Возведем обе части в квадрат:
$x > 16$
Это решение удовлетворяет ОДЗ производной ($x>0$).
Ответ: $x \in (16; +\infty)$.
Помогло решение? Оставьте отзыв в комментариях ниже.