Номер 360, страница 112 - гдз по алгебре 7 класс учебник Дорофеев, Суворова

Авторы: Дорофеев Г. В., Суворова С. Б., Бунимович Е. А., Кузнецова Л. В., Минаева С. С., Рослова Л. О.
Тип: Учебник
Издательство: Просвещение
Год издания: 2019 - 2022
Цвет обложки: белый, голубой, оранжевый с галочкой
ISBN: 978-5-09-074650-2
Рекомендовано Министерством образования и науки Российской Федерации
Популярные ГДЗ в 7 классе
Упражнения. 4.3. Решение уравнений. Глава 4. Уравнения - номер 360, страница 112.
№360 (с. 112)
Условие. №360 (с. 112)
скриншот условия

Найдите корень уравнения (360–361).
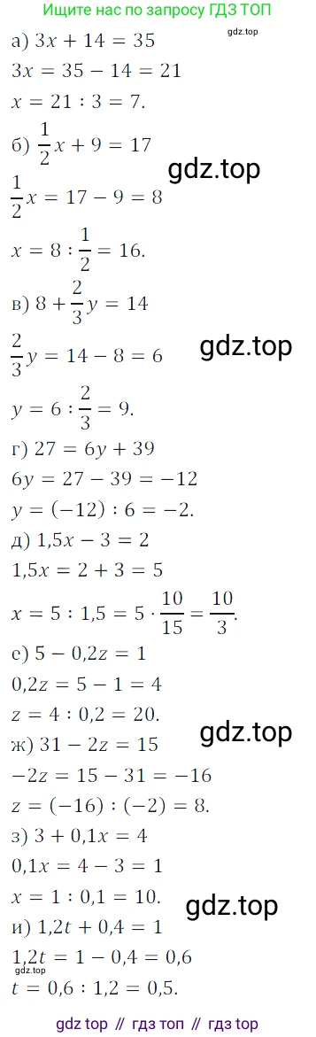
360 а) $3x+14=35;$
б) $\frac{1}{2}x+9=17;$
в) $8+\frac{2}{3}y=14;$
г) $27=6y+39;$
д) $1.5x-3=2;$
е) $5-0.2z=1;$
ж) $31-2z=15;$
з) $3+0.1x=4;$
и) $1.2t+0.4=1.$
Решение 1. №360 (с. 112)









Решение 2. №360 (с. 112)

Решение 3. №360 (с. 112)

Решение 4. №360 (с. 112)


Решение 5. №360 (с. 112)

Решение 6. №360 (с. 112)
а)Исходное уравнение: $3x + 14 = 35$.
Для того чтобы найти $x$, нужно сначала изолировать член с переменной. Перенесем 14 в правую часть уравнения, изменив его знак:
$3x = 35 - 14$
$3x = 21$
Теперь разделим обе части уравнения на коэффициент при $x$, то есть на 3:
$x = \frac{21}{3}$
$x = 7$
Ответ: 7
б)Исходное уравнение: $\frac{1}{2}x + 9 = 17$.
Перенесем 9 в правую часть уравнения с противоположным знаком:
$\frac{1}{2}x = 17 - 9$
$\frac{1}{2}x = 8$
Чтобы найти $x$, умножим обе части уравнения на 2:
$x = 8 \cdot 2$
$x = 16$
Ответ: 16
в)Исходное уравнение: $8 + \frac{2}{3}y = 14$.
Перенесем 8 в правую часть уравнения:
$\frac{2}{3}y = 14 - 8$
$\frac{2}{3}y = 6$
Чтобы найти $y$, умножим обе части на $\frac{3}{2}$ (обратную дробь к $\frac{2}{3}$):
$y = 6 \cdot \frac{3}{2}$
$y = \frac{18}{2}$
$y = 9$
Ответ: 9
г)Исходное уравнение: $27 = 6y + 39$.
Для удобства поменяем местами левую и правую части: $6y + 39 = 27$.
Перенесем 39 в правую часть:
$6y = 27 - 39$
$6y = -12$
Разделим обе части на 6:
$y = \frac{-12}{6}$
$y = -2$
Ответ: -2
д)Исходное уравнение: $1,5x - 3 = 2$.
Перенесем -3 в правую часть, изменив знак:
$1,5x = 2 + 3$
$1,5x = 5$
Разделим обе части на 1,5:
$x = \frac{5}{1,5}$
Чтобы избавиться от десятичной дроби в знаменателе, умножим числитель и знаменатель на 10:
$x = \frac{50}{15}$
Сократим дробь на 5:
$x = \frac{10}{3}$
Ответ: $\frac{10}{3}$
е)Исходное уравнение: $5 - 0,2z = 1$.
Перенесем 5 в правую часть:
$-0,2z = 1 - 5$
$-0,2z = -4$
Разделим обе части на -0,2:
$z = \frac{-4}{-0,2}$
$z = \frac{4}{0,2}$
Умножим числитель и знаменатель на 10:
$z = \frac{40}{2}$
$z = 20$
Ответ: 20
ж)Исходное уравнение: $31 - 2z = 15$.
Выразим член с переменной $z$. Для этого перенесем 31 в правую часть:
$-2z = 15 - 31$
$-2z = -16$
Разделим обе части на -2:
$z = \frac{-16}{-2}$
$z = 8$
Ответ: 8
з)Исходное уравнение: $3 + 0,1x = 4$.
Перенесем 3 в правую часть:
$0,1x = 4 - 3$
$0,1x = 1$
Разделим обе части на 0,1. Деление на 0,1 эквивалентно умножению на 10:
$x = \frac{1}{0,1}$
$x = 10$
Ответ: 10
и)Исходное уравнение: $1,2t + 0,4 = 1$.
Перенесем 0,4 в правую часть:
$1,2t = 1 - 0,4$
$1,2t = 0,6$
Разделим обе части на 1,2:
$t = \frac{0,6}{1,2}$
Умножим числитель и знаменатель на 10, чтобы избавиться от десятичных дробей:
$t = \frac{6}{12}$
Сократим дробь:
$t = \frac{1}{2}$ или $t=0,5$
Ответ: 0,5
Другие задания:
Помогло решение? Оставьте отзыв в комментариях ниже.
Мы подготовили для вас ответ c подробным объяснением домашего задания по алгебре за 7 класс, для упражнения номер 360 расположенного на странице 112 к учебнику 2019 - 2022 года издания для учащихся школ и гимназий.
Теперь на нашем сайте ГДЗ.ТОП вы всегда легко и бесплатно найдёте условие с правильным ответом на вопрос «Как решить ДЗ» и «Как сделать» задание по алгебре к упражнению №360 (с. 112), авторов: Дорофеев (Георгий Владимирович), Суворова (Светлана Борисовна), Бунимович (Евгений Абрамович), Кузнецова (Людмила Викторовна), Минаева (Светлана Станиславовна), Рослова (Лариса Олеговна), ФГОС (старый) учебного пособия издательства Просвещение.