Номер 568, страница 171 - гдз по алгебре 7 класс учебник Дорофеев, Суворова

Авторы: Дорофеев Г. В., Суворова С. Б., Бунимович Е. А., Кузнецова Л. В., Минаева С. С., Рослова Л. О.
Тип: Учебник
Издательство: Просвещение
Год издания: 2019 - 2022
Цвет обложки: белый, голубой, оранжевый с галочкой
ISBN: 978-5-09-074650-2
Рекомендовано Министерством образования и науки Российской Федерации
Популярные ГДЗ в 7 классе
Упражнения. 6.2. Степень степени, произведения и дроби. Глава 6. Свойства степени с натуральным показателем - номер 568, страница 171.
№568 (с. 171)
Условие. №568 (с. 171)
скриншот условия

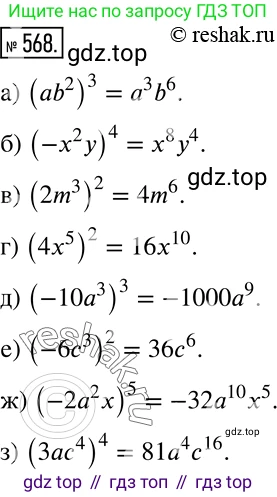
568 Выполните действие:
а) $(ab^2)^3$;
б) $(-x^2y)^4$;
в) $(2m^3)^2$;
г) $(4x^5)^2$;
д) $(-10a^3)^3$;
е) $(-6c^3)^2$;
ж) $(-2a^2x)^5$;
з) $(3ac^4)^4$.
Решение 1. №568 (с. 171)








Решение 2. №568 (с. 171)

Решение 3. №568 (с. 171)

Решение 4. №568 (с. 171)

Решение 5. №568 (с. 171)

Решение 6. №568 (с. 171)
а) Чтобы возвести одночлен в степень, необходимо возвести в эту степень каждый его множитель. При возведении степени в степень их показатели перемножаются. Используем свойства степеней: $(xy)^n = x^n y^n$ и $(x^m)^n = x^{mn}$.
$(ab^2)^3 = a^3 \cdot (b^2)^3 = a^3 \cdot b^{2 \cdot 3} = a^3b^6$.
Ответ: $a^3b^6$
б) Возводим в четвертую степень каждый множитель одночлена: $-1$, $x^2$ и $y$. Так как показатель степени четный (4), то отрицательное основание $(-1)$ в результате даст положительное число.
$(-x^2y)^4 = (-1)^4 \cdot (x^2)^4 \cdot y^4 = 1 \cdot x^{2 \cdot 4} \cdot y^4 = x^8y^4$.
Ответ: $x^8y^4$
в) Возводим в квадрат коэффициент 2 и множитель $m^3$, используя те же правила.
$(2m^3)^2 = 2^2 \cdot (m^3)^2 = 4 \cdot m^{3 \cdot 2} = 4m^6$.
Ответ: $4m^6$
г) Возводим в квадрат коэффициент 4 и множитель $x^5$.
$(4x^5)^2 = 4^2 \cdot (x^5)^2 = 16 \cdot x^{5 \cdot 2} = 16x^{10}$.
Ответ: $16x^{10}$
д) Возводим в куб каждый множитель: $-10$ и $a^3$. Так как показатель степени нечетный (3), то отрицательный коэффициент $(-10)$ останется отрицательным.
$(-10a^3)^3 = (-10)^3 \cdot (a^3)^3 = -1000 \cdot a^{3 \cdot 3} = -1000a^9$.
Ответ: $-1000a^9$
е) Возводим в квадрат каждый множитель: $-6$ и $c^3$. Так как показатель степени четный (2), отрицательный коэффициент $(-6)$ станет положительным.
$(-6c^3)^2 = (-6)^2 \cdot (c^3)^2 = 36 \cdot c^{3 \cdot 2} = 36c^6$.
Ответ: $36c^6$
ж) Возводим в пятую степень каждый множитель: $-2$, $a^2$ и $x$. Так как показатель степени нечетный (5), отрицательный коэффициент $(-2)$ останется отрицательным.
$(-2a^2x)^5 = (-2)^5 \cdot (a^2)^5 \cdot x^5 = -32 \cdot a^{2 \cdot 5} \cdot x^5 = -32a^{10}x^5$.
Ответ: $-32a^{10}x^5$
з) Возводим в четвертую степень каждый множитель одночлена: 3, $a$ и $c^4$.
$(3ac^4)^4 = 3^4 \cdot a^4 \cdot (c^4)^4 = 81 \cdot a^4 \cdot c^{4 \cdot 4} = 81a^4c^{16}$.
Ответ: $81a^4c^{16}$
Другие задания:
Помогло решение? Оставьте отзыв в комментариях ниже.
Мы подготовили для вас ответ c подробным объяснением домашего задания по алгебре за 7 класс, для упражнения номер 568 расположенного на странице 171 к учебнику 2019 - 2022 года издания для учащихся школ и гимназий.
Теперь на нашем сайте ГДЗ.ТОП вы всегда легко и бесплатно найдёте условие с правильным ответом на вопрос «Как решить ДЗ» и «Как сделать» задание по алгебре к упражнению №568 (с. 171), авторов: Дорофеев (Георгий Владимирович), Суворова (Светлана Борисовна), Бунимович (Евгений Абрамович), Кузнецова (Людмила Викторовна), Минаева (Светлана Станиславовна), Рослова (Лариса Олеговна), ФГОС (старый) учебного пособия издательства Просвещение.