Страница 171 - гдз по алгебре 7 класс учебник Дорофеев, Суворова

Авторы: Дорофеев Г. В., Суворова С. Б., Бунимович Е. А., Кузнецова Л. В., Минаева С. С., Рослова Л. О.
Тип: Учебник
Издательство: Просвещение
Год издания: 2019 - 2022
Цвет обложки: белый, голубой, оранжевый с галочкой
ISBN: 978-5-09-074650-2
Рекомендовано Министерством образования и науки Российской Федерации
Популярные ГДЗ в 7 классе
Cтраница 171

№560 (с. 171)
Условие. №560 (с. 171)
скриншот условия

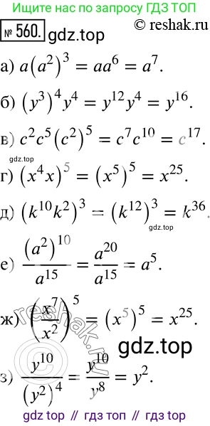
560 Упростите выражение:
а) $a(a^2)^3;$
б) $(y^3)^4y^4;$
в) $c^2c^5(c^2)^5;$
г) $(x^4x)^5;$
д) $(k^{10}k^2)^3;$
е) $\frac{(a^2)^{10}}{a^{15}};$
ж) $(\frac{x^7}{x^2})^5;$
з) $\frac{y^{10}}{(y^2)^4}.$
Решение 1. №560 (с. 171)








Решение 2. №560 (с. 171)

Решение 3. №560 (с. 171)

Решение 4. №560 (с. 171)

Решение 5. №560 (с. 171)

Решение 6. №560 (с. 171)
а) Для упрощения выражения $a(a^2)^3$ воспользуемся свойствами степеней.
Сначала возведем степень в степень, используя правило $(x^m)^n = x^{mn}$:
$(a^2)^3 = a^{2 \cdot 3} = a^6$.
Теперь исходное выражение принимает вид $a \cdot a^6$.
Далее применим правило умножения степеней с одинаковым основанием $x^m \cdot x^n = x^{m+n}$. Учитывая, что $a = a^1$:
$a^1 \cdot a^6 = a^{1+6} = a^7$.
Ответ: $a^7$.
б) Рассмотрим выражение $(y^3)^4 y^4$.
Применим правило возведения степени в степень $(x^m)^n = x^{mn}$ к первому множителю:
$(y^3)^4 = y^{3 \cdot 4} = y^{12}$.
Теперь выражение выглядит так: $y^{12} \cdot y^4$.
Используем правило умножения степеней с одинаковым основанием $x^m \cdot x^n = x^{m+n}$:
$y^{12} \cdot y^4 = y^{12+4} = y^{16}$.
Ответ: $y^{16}$.
в) Упростим выражение $c^2 c^5 (c^2)^5$.
Сначала упростим множитель в скобках, используя правило $(x^m)^n = x^{mn}$:
$(c^2)^5 = c^{2 \cdot 5} = c^{10}$.
Теперь подставим это в исходное выражение: $c^2 \cdot c^5 \cdot c^{10}$.
Применим правило умножения степеней с одинаковым основанием $x^m \cdot x^n \cdot x^p = x^{m+n+p}$:
$c^{2+5+10} = c^{17}$.
Ответ: $c^{17}$.
г) Упростим выражение $(x^4 x)^5$.
Сначала выполним действие в скобках, используя правило умножения степеней $x^m \cdot x^n = x^{m+n}$ и учитывая, что $x=x^1$:
$x^4 \cdot x = x^4 \cdot x^1 = x^{4+1} = x^5$.
Теперь выражение принимает вид $(x^5)^5$.
Далее применим правило возведения степени в степень $(x^m)^n = x^{mn}$:
$(x^5)^5 = x^{5 \cdot 5} = x^{25}$.
Ответ: $x^{25}$.
д) Рассмотрим выражение $(k^{10} k^2)^3$.
Сначала упростим выражение в скобках, используя свойство умножения степеней $x^m \cdot x^n = x^{m+n}$:
$k^{10} \cdot k^2 = k^{10+2} = k^{12}$.
Теперь выражение выглядит так: $(k^{12})^3$.
Применим свойство возведения степени в степень $(x^m)^n = x^{mn}$:
$(k^{12})^3 = k^{12 \cdot 3} = k^{36}$.
Ответ: $k^{36}$.
е) Упростим выражение $\frac{(a^2)^{10}}{a^{15}}$.
Сначала преобразуем числитель, используя правило возведения степени в степень $(x^m)^n = x^{mn}$:
$(a^2)^{10} = a^{2 \cdot 10} = a^{20}$.
Теперь выражение имеет вид $\frac{a^{20}}{a^{15}}$.
Применим правило деления степеней с одинаковым основанием $\frac{x^m}{x^n} = x^{m-n}$:
$\frac{a^{20}}{a^{15}} = a^{20-15} = a^5$.
Ответ: $a^5$.
ж) Упростим выражение $(\frac{x^7}{x^2})^5$.
Сначала упростим выражение в скобках, используя правило деления степеней с одинаковым основанием $\frac{a^m}{a^n} = a^{m-n}$:
$\frac{x^7}{x^2} = x^{7-2} = x^5$.
Теперь выражение принимает вид $(x^5)^5$.
Применим правило возведения степени в степень $(a^m)^n = a^{mn}$:
$(x^5)^5 = x^{5 \cdot 5} = x^{25}$.
Ответ: $x^{25}$.
з) Упростим выражение $\frac{y^{10}}{(y^2)^4}$.
Сначала преобразуем знаменатель, используя правило возведения степени в степень $(x^m)^n = x^{mn}$:
$(y^2)^4 = y^{2 \cdot 4} = y^8$.
Теперь выражение принимает вид $\frac{y^{10}}{y^8}$.
Применим правило деления степеней с одинаковым основанием $\frac{x^m}{x^n} = x^{m-n}$:
$\frac{y^{10}}{y^8} = y^{10-8} = y^2$.
Ответ: $y^2$.
№561 (с. 171)
Условие. №561 (с. 171)
скриншот условия

561 Представьте $a^{30}$ в виде степени с основанием:
а) $a^2$;
б) $a^3$;
в) $a^5$;
г) $a^{10}$.
Решение 1. №561 (с. 171)




Решение 2. №561 (с. 171)

Решение 3. №561 (с. 171)

Решение 4. №561 (с. 171)

Решение 5. №561 (с. 171)

Решение 6. №561 (с. 171)
Для решения этой задачи воспользуемся свойством возведения степени в степень: $(a^m)^n = a^{m \cdot n}$. Нам нужно найти такой показатель степени $n$ для каждого заданного основания, чтобы произведение показателей было равно 30.
а) Представить $a^{30}$ в виде степени с основанием $a^2$.
Мы ищем такое число $n$, что $(a^2)^n = a^{30}$.
Согласно свойству степени, $a^{2 \cdot n} = a^{30}$.
Приравнивая показатели, получаем уравнение:
$2n = 30$
$n = \frac{30}{2}$
$n = 15$
Следовательно, $a^{30} = (a^2)^{15}$.
Ответ: $(a^2)^{15}$.
б) Представить $a^{30}$ в виде степени с основанием $a^3$.
Мы ищем такое число $n$, что $(a^3)^n = a^{30}$.
Согласно свойству степени, $a^{3 \cdot n} = a^{30}$.
Приравнивая показатели, получаем уравнение:
$3n = 30$
$n = \frac{30}{3}$
$n = 10$
Следовательно, $a^{30} = (a^3)^{10}$.
Ответ: $(a^3)^{10}$.
в) Представить $a^{30}$ в виде степени с основанием $a^5$.
Мы ищем такое число $n$, что $(a^5)^n = a^{30}$.
Согласно свойству степени, $a^{5 \cdot n} = a^{30}$.
Приравнивая показатели, получаем уравнение:
$5n = 30$
$n = \frac{30}{5}$
$n = 6$
Следовательно, $a^{30} = (a^5)^{6}$.
Ответ: $(a^5)^{6}$.
г) Представить $a^{30}$ в виде степени с основанием $a^{10}$.
Мы ищем такое число $n$, что $(a^{10})^n = a^{30}$.
Согласно свойству степени, $a^{10 \cdot n} = a^{30}$.
Приравнивая показатели, получаем уравнение:
$10n = 30$
$n = \frac{30}{10}$
$n = 3$
Следовательно, $a^{30} = (a^{10})^{3}$.
Ответ: $(a^{10})^{3}$.
№562 (с. 171)
Условие. №562 (с. 171)
скриншот условия

562 ПРИМЕНЯЕМ АЛГЕБРУ Представьте в виде степени с основанием 2 и, если возможно, с основанием –2:
а) $8^2$;
б) $16^3$;
в) $32^3$;
г) $8^{11}$.
Решение 1. №562 (с. 171)




Решение 2. №562 (с. 171)

Решение 3. №562 (с. 171)

Решение 4. №562 (с. 171)

Решение 5. №562 (с. 171)

Решение 6. №562 (с. 171)
а) $8^2$
Чтобы представить выражение $8^2$ в виде степени с основанием 2, сначала представим число 8 как степень двойки: $8 = 2^3$.
Теперь подставим это в исходное выражение: $8^2 = (2^3)^2$.
Используя свойство возведения степени в степень $((a^m)^n = a^{m \cdot n})$, получим: $(2^3)^2 = 2^{3 \cdot 2} = 2^6$.
Далее, проверим, можно ли представить результат в виде степени с основанием -2. Мы получили $2^6$. Так как показатель степени 6 является четным числом, то $2^6 = (-2)^6$. Это верно, потому что при возведении отрицательного числа в четную степень результат всегда положителен.
Ответ: $8^2 = 2^6 = (-2)^6$.
б) $16^3$
Представим основание 16 как степень числа 2: $16 = 2^4$.
Тогда выражение $16^3$ можно записать как $(2^4)^3$.
По свойству степени $((a^m)^n = a^{m \cdot n})$: $(2^4)^3 = 2^{4 \cdot 3} = 2^{12}$.
Проверим возможность представления с основанием -2. Мы получили $2^{12}$. Показатель степени 12 — четное число, поэтому $2^{12} = (-2)^{12}$.
Ответ: $16^3 = 2^{12} = (-2)^{12}$.
в) $32^3$
Представим основание 32 как степень числа 2: $32 = 2^5$.
Тогда выражение $32^3$ можно записать как $(2^5)^3$.
По свойству степени $((a^m)^n = a^{m \cdot n})$: $(2^5)^3 = 2^{5 \cdot 3} = 2^{15}$.
Теперь рассмотрим основание -2. Мы получили $2^{15}$. Показатель степени 15 — нечетное число. При возведении отрицательного числа в нечетную степень результат будет отрицательным: $(-2)^{15} = -2^{15}$.
Поскольку $32^3$ — положительное число, а $(-2)^{15}$ — отрицательное, представить $32^3$ в виде степени с основанием -2 невозможно.
Ответ: $32^3 = 2^{15}$; представить в виде степени с основанием -2 невозможно.
г) $8^{11}$
Представим основание 8 как степень числа 2: $8 = 2^3$.
Тогда выражение $8^{11}$ можно записать как $(2^3)^{11}$.
По свойству степени $((a^m)^n = a^{m \cdot n})$: $(2^3)^{11} = 2^{3 \cdot 11} = 2^{33}$.
Рассмотрим основание -2. Мы получили $2^{33}$. Показатель степени 33 — нечетное число. Это означает, что $(-2)^{33} = -2^{33}$.
Так как $8^{11}$ является положительным числом, а $(-2)^{33}$ — отрицательным, представить $8^{11}$ в виде степени с основанием -2 невозможно.
Ответ: $8^{11} = 2^{33}$; представить в виде степени с основанием -2 невозможно.
№563 (с. 171)
Условие. №563 (с. 171)
скриншот условия

563 Выполните действия:
а) $(x^n)^m$, $(x^n)^n$, $x^n x^n$;
б) $x^2 (x^3)^4$, $x^n (x^3)^n$, $(x^n x^3)^3$.
Решение 1. №563 (с. 171)


Решение 2. №563 (с. 171)

Решение 3. №563 (с. 171)

Решение 4. №563 (с. 171)

Решение 5. №563 (с. 171)

Решение 6. №563 (с. 171)
а)
Для выражения $(x^n)^m$ применяется свойство возведения степени в степень $(a^p)^q = a^{pq}$.
$(x^n)^m = x^{n \cdot m} = x^{nm}$.
Ответ: $x^{nm}$.
Для выражения $(x^n)^n$ применяется то же свойство возведения степени в степень.
$(x^n)^n = x^{n \cdot n} = x^{n^2}$.
Ответ: $x^{n^2}$.
Для выражения $x^n x^n$ применяется свойство умножения степеней с одинаковым основанием $a^p a^q = a^{p+q}$.
$x^n x^n = x^{n+n} = x^{2n}$.
Ответ: $x^{2n}$.
б)
В выражении $x^2(x^3)^4$ сначала необходимо упростить степень в скобках, а затем выполнить умножение.
1. Возводим степень в степень: $(x^3)^4 = x^{3 \cdot 4} = x^{12}$.
2. Умножаем степени с одинаковым основанием: $x^2 \cdot x^{12} = x^{2+12} = x^{14}$.
Ответ: $x^{14}$.
В выражении $x^n(x^3)^n$ выполняем действия в том же порядке.
1. Возводим степень в степень: $(x^3)^n = x^{3 \cdot n} = x^{3n}$.
2. Умножаем степени с одинаковым основанием: $x^n \cdot x^{3n} = x^{n+3n} = x^{4n}$.
Ответ: $x^{4n}$.
В выражении $(x^n x^3)^3$ сначала выполняем умножение в скобках, а затем возводим в степень.
1. Умножаем степени в скобках: $x^n \cdot x^3 = x^{n+3}$.
2. Возводим полученное выражение в степень: $(x^{n+3})^3 = x^{(n+3) \cdot 3} = x^{3n+9}$.
Ответ: $x^{3n+9}$.
№564 (с. 171)
Условие. №564 (с. 171)
скриншот условия

564 РАССУЖДАЕМ При каком значении $k$ верно равенство:
а) $y^k \cdot y^2 = y^{12}$, $(y^k)^2 = y^{12}$;
б) $(a^5)^k = a^{20}$, $a^5 \cdot a^k = a^{20}$?
Решение 1. №564 (с. 171)


Решение 2. №564 (с. 171)

Решение 3. №564 (с. 171)

Решение 4. №564 (с. 171)

Решение 5. №564 (с. 171)

Решение 6. №564 (с. 171)
а)
Рассмотрим равенство $y^k \cdot y^2 = y^{12}$.
Для решения воспользуемся свойством умножения степеней с одинаковым основанием: при умножении степеней их показатели складываются. Формула: $x^m \cdot x^n = x^{m+n}$.
Применив это правило к левой части равенства, мы получаем: $y^{k+2} = y^{12}$.
Поскольку основания степеней в обеих частях равенства одинаковы (равны $y$), для того чтобы равенство было верным, их показатели также должны быть равны:
$k + 2 = 12$
Теперь решим полученное линейное уравнение относительно $k$:
$k = 12 - 2$
$k = 10$
Ответ: $k=10$.
Рассмотрим равенство $(y^k)^2 = y^{12}$.
Для решения воспользуемся свойством возведения степени в степень: при возведении степени в степень показатели перемножаются. Формула: $(x^m)^n = x^{m \cdot n}$.
Применив это правило к левой части, получаем: $y^{k \cdot 2} = y^{12}$, что то же самое, что и $y^{2k} = y^{12}$.
Приравниваем показатели степеней, так как основания равны:
$2k = 12$
Решаем уравнение:
$k = \frac{12}{2}$
$k = 6$
Ответ: $k=6$.
б)
Рассмотрим равенство $(a^5)^k = a^{20}$.
Используем свойство возведения степени в степень: $(x^m)^n = x^{m \cdot n}$.
Применяем это свойство к левой части: $a^{5 \cdot k} = a^{20}$, или $a^{5k} = a^{20}$.
Так как основания равны, приравниваем показатели:
$5k = 20$
Находим $k$:
$k = \frac{20}{5}$
$k = 4$
Ответ: $k=4$.
Рассмотрим равенство $a^5 \cdot a^k = a^{20}$.
Используем свойство умножения степеней с одинаковым основанием: $x^m \cdot x^n = x^{m+n}$.
Применяем это свойство к левой части: $a^{5+k} = a^{20}$.
Приравниваем показатели, так как основания равны:
$5 + k = 20$
Находим $k$:
$k = 20 - 5$
$k = 15$
Ответ: $k=15$.
№565 (с. 171)
Условие. №565 (с. 171)
скриншот условия

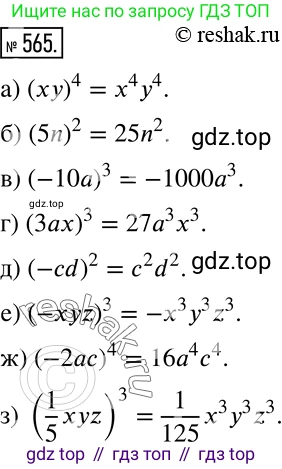
565 ДЕЙСТВУЕМ ПО ПРАВИЛУ
Возведите в степень:
а) $(xy)^4$;
б) $(5n)^2$;
в) $(-10a)^3$;
г) $(3ax)^3$;
д) $(-cd)^2$;
е) $(-xyz)^3$;
ж) $(-2ac)^4$;
з) $(\frac{1}{5}xyz)^3$.
Решение 1. №565 (с. 171)








Решение 2. №565 (с. 171)

Решение 3. №565 (с. 171)

Решение 4. №565 (с. 171)

Решение 5. №565 (с. 171)

Решение 6. №565 (с. 171)
а) Чтобы возвести произведение в степень, необходимо каждый множитель возвести в эту степень. Это следует из свойства степени $(ab)^n = a^n b^n$.
$(xy)^4 = x^4 \cdot y^4 = x^4y^4$
Ответ: $x^4y^4$
б) Применяем то же правило, что и в пункте а). Возводим в квадрат каждый множитель в скобках: число 5 и переменную n.
$(5n)^2 = 5^2 \cdot n^2 = 25n^2$
Ответ: $25n^2$
в) Возводим в куб каждый множитель. При возведении отрицательного числа в нечетную степень (в данном случае 3), результат будет отрицательным.
$(-10a)^3 = (-10)^3 \cdot a^3 = (-10 \cdot -10 \cdot -10) \cdot a^3 = -1000a^3$
Ответ: $-1000a^3$
г) Возводим в куб каждый из трех множителей: 3, a и x.
$(3ax)^3 = 3^3 \cdot a^3 \cdot x^3 = (3 \cdot 3 \cdot 3) \cdot a^3 \cdot x^3 = 27a^3x^3$
Ответ: $27a^3x^3$
д) Возводим в квадрат произведение $(-cd)$. Так как степень четная (2), то отрицательный знак пропадает. Это связано с тем, что $(-1)^2 = 1$.
$(-cd)^2 = (-1 \cdot c \cdot d)^2 = (-1)^2 \cdot c^2 \cdot d^2 = 1 \cdot c^2d^2 = c^2d^2$
Ответ: $c^2d^2$
е) Возводим в куб произведение $(-xyz)$. Так как степень нечетная (3), отрицательный знак сохраняется.
$(-xyz)^3 = (-1 \cdot x \cdot y \cdot z)^3 = (-1)^3 \cdot x^3 \cdot y^3 \cdot z^3 = -1 \cdot x^3y^3z^3 = -x^3y^3z^3$
Ответ: $-x^3y^3z^3$
ж) Возводим в четвертую степень произведение $(-2ac)$. Степень четная (4), поэтому отрицательный знак пропадает.
$(-2ac)^4 = (-2)^4 \cdot a^4 \cdot c^4 = ((-2) \cdot (-2) \cdot (-2) \cdot (-2)) \cdot a^4 \cdot c^4 = 16a^4c^4$
Ответ: $16a^4c^4$
з) Возводим в куб каждый множитель, включая дробный коэффициент. Используем свойство степени дроби $(\frac{a}{b})^n = \frac{a^n}{b^n}$.
$(\frac{1}{5}xyz)^3 = (\frac{1}{5})^3 \cdot x^3 \cdot y^3 \cdot z^3 = \frac{1^3}{5^3} \cdot x^3y^3z^3 = \frac{1}{125}x^3y^3z^3$
Ответ: $\frac{1}{125}x^3y^3z^3$
№566 (с. 171)
Условие. №566 (с. 171)
скриншот условия

566 ПРИМЕНЯЕМ АЛГЕБРУ Вычислите:
а) $5^4 \cdot 2^4$;
б) $25^3 \cdot 4^3$;
в) $0,2^8 \cdot 5^8$;
г) $\left(\frac{2}{3}\right)^4 \cdot \left(\frac{3}{2}\right)^4$.
Решение 1. №566 (с. 171)




Решение 2. №566 (с. 171)

Решение 3. №566 (с. 171)

Решение 4. №566 (с. 171)

Решение 5. №566 (с. 171)

Решение 6. №566 (с. 171)
а) Для вычисления выражения $5^4 \cdot 2^4$ воспользуемся свойством степени произведения: $a^n \cdot b^n = (a \cdot b)^n$. В данном случае основания степеней равны $5$ и $2$, а показатель степени одинаков и равен $4$.
Применим свойство:
$5^4 \cdot 2^4 = (5 \cdot 2)^4 = 10^4$
Теперь вычислим значение $10^4$:
$10^4 = 10 \cdot 10 \cdot 10 \cdot 10 = 10000$
Ответ: $10000$.
б) Для вычисления выражения $25^3 \cdot 4^3$ также используем свойство степени произведения $a^n \cdot b^n = (a \cdot b)^n$, так как показатели степеней одинаковы и равны $3$.
Применим свойство:
$25^3 \cdot 4^3 = (25 \cdot 4)^3 = 100^3$
Вычислим значение $100^3$:
$100^3 = 100 \cdot 100 \cdot 100 = 1000000$
Ответ: $1000000$.
в) Выражение $0,2^8 \cdot 5^8$ имеет одинаковый показатель степени $8$. Применим то же свойство $a^n \cdot b^n = (a \cdot b)^n$.
Применим свойство:
$0,2^8 \cdot 5^8 = (0,2 \cdot 5)^8 = 1^8$
Любая степень числа $1$ равна $1$.
$1^8 = 1$
Ответ: $1$.
г) Для вычисления выражения $(\frac{2}{3})^4 \cdot (\frac{3}{2})^4$ используем свойство степени произведения $a^n \cdot b^n = (a \cdot b)^n$. Показатели степеней равны $4$.
Применим свойство:
$(\frac{2}{3})^4 \cdot (\frac{3}{2})^4 = (\frac{2}{3} \cdot \frac{3}{2})^4$
Вычислим произведение в скобках. Дроби $\frac{2}{3}$ и $\frac{3}{2}$ являются взаимно обратными, их произведение равно $1$.
$\frac{2}{3} \cdot \frac{3}{2} = \frac{2 \cdot 3}{3 \cdot 2} = \frac{6}{6} = 1$
Тогда выражение становится равным $1^4$.
$1^4 = 1$
Ответ: $1$.
№567 (с. 171)
Условие. №567 (с. 171)
скриншот условия

567 РАССУЖДАЕМ Какое выражение должно быть записано в скобках:
а) $(...)^3 = 8x^3;$
б) $(...)^2 = 81a^2;$
в) $(...)^3 = -27y^3;$
г) $(...)^4 = 16c^4;$
д) $0,25a^6 = (...)^2;$
е) $-{1 \over 8}b^6 = (...)^3?$
Решение 1. №567 (с. 171)






Решение 2. №567 (с. 171)

Решение 3. №567 (с. 171)

Решение 4. №567 (с. 171)

Решение 5. №567 (с. 171)

Решение 6. №567 (с. 171)
а) Для того чтобы найти выражение в скобках в уравнении $(...)^3 = 8x^3$, нам необходимо найти кубический корень из выражения $8x^3$. Используя свойство корня из произведения, получаем: $\sqrt[3]{8x^3} = \sqrt[3]{8} \cdot \sqrt[3]{x^3}$. Кубический корень из $8$ равен $2$, так как $2^3 = 8$. Кубический корень из $x^3$ равен $x$. Следовательно, искомое выражение — это $2x$.
Ответ: $2x$
б) В уравнении $(...)^2 = 81a^2$ искомое выражение является квадратным корнем из $81a^2$. Извлекаем корень из каждого множителя: $\sqrt{81a^2} = \sqrt{81} \cdot \sqrt{a^2}$. Квадратный корень из $81$ равен $9$, так как $9^2 = 81$. Квадратный корень из $a^2$ равен $a$. Таким образом, выражение в скобках — это $9a$.
Ответ: $9a$
в) Чтобы решить уравнение $(...)^3 = -27y^3$, нужно найти кубический корень из $-27y^3$. Корень нечетной степени из отрицательного числа является отрицательным числом. $\sqrt[3]{-27y^3} = \sqrt[3]{-27} \cdot \sqrt[3]{y^3}$. Кубический корень из $-27$ равен $-3$, так как $(-3)^3 = -27$. Кубический корень из $y^3$ равен $y$. Значит, искомое выражение — это $-3y$.
Ответ: $-3y$
г) В уравнении $(...)^4 = 16c^4$ требуется найти корень четвертой степени из $16c^4$. Вычисляем корень из числового коэффициента и переменной: $\sqrt[4]{16c^4} = \sqrt[4]{16} \cdot \sqrt[4]{c^4}$. Корень четвертой степени из $16$ равен $2$, так как $2^4 = 16$. Корень четвертой степени из $c^4$ равен $c$. Таким образом, искомое выражение — это $2c$.
Ответ: $2c$
д) В данном случае $0,25a^6 = (...)^2$, нам нужно найти квадратный корень из $0,25a^6$. $\sqrt{0,25a^6} = \sqrt{0,25} \cdot \sqrt{a^6}$. Квадратный корень из $0,25$ равен $0,5$, поскольку $0,5^2 = 0,25$. Для степенного выражения используем свойство извлечения корня: $\sqrt[n]{a^m} = a^{m/n}$, поэтому $\sqrt{a^6} = a^{6/2} = a^3$. Итоговое выражение — $0,5a^3$.
Ответ: $0,5a^3$
е) Для уравнения $-\frac{1}{8}b^6 = (...)^3$ необходимо найти кубический корень из левой части. $\sqrt[3]{-\frac{1}{8}b^6} = \sqrt[3]{-\frac{1}{8}} \cdot \sqrt[3]{b^6}$. Кубический корень из $-\frac{1}{8}$ равен $-\frac{1}{2}$, так как $(-\frac{1}{2})^3 = -\frac{1}{8}$. Корень из $b^6$ равен $b^{6/3} = b^2$. Следовательно, выражение в скобках равно $-\frac{1}{2}b^2$.
Ответ: $-\frac{1}{2}b^2$
№568 (с. 171)
Условие. №568 (с. 171)
скриншот условия

568 Выполните действие:
а) $(ab^2)^3$;
б) $(-x^2y)^4$;
в) $(2m^3)^2$;
г) $(4x^5)^2$;
д) $(-10a^3)^3$;
е) $(-6c^3)^2$;
ж) $(-2a^2x)^5$;
з) $(3ac^4)^4$.
Решение 1. №568 (с. 171)








Решение 2. №568 (с. 171)

Решение 3. №568 (с. 171)

Решение 4. №568 (с. 171)

Решение 5. №568 (с. 171)

Решение 6. №568 (с. 171)
а) Чтобы возвести одночлен в степень, необходимо возвести в эту степень каждый его множитель. При возведении степени в степень их показатели перемножаются. Используем свойства степеней: $(xy)^n = x^n y^n$ и $(x^m)^n = x^{mn}$.
$(ab^2)^3 = a^3 \cdot (b^2)^3 = a^3 \cdot b^{2 \cdot 3} = a^3b^6$.
Ответ: $a^3b^6$
б) Возводим в четвертую степень каждый множитель одночлена: $-1$, $x^2$ и $y$. Так как показатель степени четный (4), то отрицательное основание $(-1)$ в результате даст положительное число.
$(-x^2y)^4 = (-1)^4 \cdot (x^2)^4 \cdot y^4 = 1 \cdot x^{2 \cdot 4} \cdot y^4 = x^8y^4$.
Ответ: $x^8y^4$
в) Возводим в квадрат коэффициент 2 и множитель $m^3$, используя те же правила.
$(2m^3)^2 = 2^2 \cdot (m^3)^2 = 4 \cdot m^{3 \cdot 2} = 4m^6$.
Ответ: $4m^6$
г) Возводим в квадрат коэффициент 4 и множитель $x^5$.
$(4x^5)^2 = 4^2 \cdot (x^5)^2 = 16 \cdot x^{5 \cdot 2} = 16x^{10}$.
Ответ: $16x^{10}$
д) Возводим в куб каждый множитель: $-10$ и $a^3$. Так как показатель степени нечетный (3), то отрицательный коэффициент $(-10)$ останется отрицательным.
$(-10a^3)^3 = (-10)^3 \cdot (a^3)^3 = -1000 \cdot a^{3 \cdot 3} = -1000a^9$.
Ответ: $-1000a^9$
е) Возводим в квадрат каждый множитель: $-6$ и $c^3$. Так как показатель степени четный (2), отрицательный коэффициент $(-6)$ станет положительным.
$(-6c^3)^2 = (-6)^2 \cdot (c^3)^2 = 36 \cdot c^{3 \cdot 2} = 36c^6$.
Ответ: $36c^6$
ж) Возводим в пятую степень каждый множитель: $-2$, $a^2$ и $x$. Так как показатель степени нечетный (5), отрицательный коэффициент $(-2)$ останется отрицательным.
$(-2a^2x)^5 = (-2)^5 \cdot (a^2)^5 \cdot x^5 = -32 \cdot a^{2 \cdot 5} \cdot x^5 = -32a^{10}x^5$.
Ответ: $-32a^{10}x^5$
з) Возводим в четвертую степень каждый множитель одночлена: 3, $a$ и $c^4$.
$(3ac^4)^4 = 3^4 \cdot a^4 \cdot (c^4)^4 = 81 \cdot a^4 \cdot c^{4 \cdot 4} = 81a^4c^{16}$.
Ответ: $81a^4c^{16}$
№569 (с. 171)
Условие. №569 (с. 171)
скриншот условия

569 Возведите в квадрат и в куб выражение:
а) $5c^5$;
б) $-0.1y^4$;
в) $-ab^2$;
г) $\frac{1}{3}a^3b$.
Решение 1. №569 (с. 171)




Решение 2. №569 (с. 171)

Решение 3. №569 (с. 171)

Решение 4. №569 (с. 171)

Решение 5. №569 (с. 171)

Решение 6. №569 (с. 171)
а) Для того чтобы возвести одночлен в степень, необходимо возвести в эту степень каждый множитель, входящий в одночлен. При возведении степени в степень их показатели перемножаются.
Возведение в квадрат:
$(5c^5)^2 = 5^2 \cdot (c^5)^2 = 25 \cdot c^{5 \cdot 2} = 25c^{10}$
Возведение в куб:
$(5c^5)^3 = 5^3 \cdot (c^5)^3 = 125 \cdot c^{5 \cdot 3} = 125c^{15}$
Ответ: $25c^{10}$ и $125c^{15}$.
б) Возводим в квадрат выражение $-0,1y^4$. При возведении отрицательного числа в четную степень (2) результат будет положительным.
$(-0,1y^4)^2 = (-0,1)^2 \cdot (y^4)^2 = 0,01 \cdot y^{4 \cdot 2} = 0,01y^8$
Возводим в куб выражение $-0,1y^4$. При возведении отрицательного числа в нечетную степень (3) результат будет отрицательным.
$(-0,1y^4)^3 = (-0,1)^3 \cdot (y^4)^3 = -0,001 \cdot y^{4 \cdot 3} = -0,001y^{12}$
Ответ: $0,01y^8$ и $-0,001y^{12}$.
в) Возводим в квадрат выражение $-ab^2$. Так как степень четная (2), знак минус уходит.
$(-ab^2)^2 = (-1)^2 \cdot a^2 \cdot (b^2)^2 = 1 \cdot a^2 \cdot b^{2 \cdot 2} = a^2b^4$
Возводим в куб выражение $-ab^2$. Так как степень нечетная (3), знак минус сохраняется.
$(-ab^2)^3 = (-1)^3 \cdot a^3 \cdot (b^2)^3 = -1 \cdot a^3 \cdot b^{2 \cdot 3} = -a^3b^6$
Ответ: $a^2b^4$ и $-a^3b^6$.
г) Возводим в квадрат выражение $\frac{1}{3}a^3b$.
$(\frac{1}{3}a^3b)^2 = (\frac{1}{3})^2 \cdot (a^3)^2 \cdot b^2 = \frac{1}{9} \cdot a^{3 \cdot 2} \cdot b^2 = \frac{1}{9}a^6b^2$
Возводим в куб выражение $\frac{1}{3}a^3b$.
$(\frac{1}{3}a^3b)^3 = (\frac{1}{3})^3 \cdot (a^3)^3 \cdot b^3 = \frac{1}{27} \cdot a^{3 \cdot 3} \cdot b^3 = \frac{1}{27}a^9b^3$
Ответ: $\frac{1}{9}a^6b^2$ и $\frac{1}{27}a^9b^3$.
№570 (с. 171)
Условие. №570 (с. 171)
скриншот условия

570 Выполните возведение в степень:
а) $(((x^2)^3)^2)$;
б) $((-(-x)^2)^3)$;
в) $((-(-x)^3)^2)$;
г) $-(((-x)^3)^2)$.
Решение 1. №570 (с. 171)




Решение 2. №570 (с. 171)

Решение 3. №570 (с. 171)

Решение 4. №570 (с. 171)

Решение 5. №570 (с. 171)

Решение 6. №570 (с. 171)
а) Чтобы возвести степень в степень, нужно основание оставить тем же, а показатели перемножить. Это правило можно записать в виде формулы: $(a^m)^n = a^{m \cdot n}$.
Применим это правило последовательно:
$((x^2)^3)^2 = (x^{2 \cdot 3})^2 = (x^6)^2 = x^{6 \cdot 2} = x^{12}$.
Также можно перемножить все показатели степеней сразу: $x^{2 \cdot 3 \cdot 2} = x^{12}$.
Ответ: $x^{12}$.
б) Сначала выполним возведение в степень внутри скобок. Выражение $(-x)$ возводится в четную степень 2, поэтому знак минус исчезает:
$(-x)^2 = x^2$.
Теперь исходное выражение принимает вид:
$(x^2)^3$.
Далее, по свойству возведения степени в степень, перемножаем показатели:
$(x^2)^3 = x^{2 \cdot 3} = x^6$.
Ответ: $x^6$.
в) Выполняем действия по порядку, начиная с самых внутренних скобок.
1. Возводим $(-x)$ в нечетную степень 3. Знак минус сохраняется:
$(-x)^3 = -x^3$.
2. Подставляем результат в исходное выражение:
$(-(-x^3))^2$.
3. Раскрываем внутренние скобки. Минус на минус дает плюс:
$-(-x^3) = x^3$.
4. Выражение упрощается до $(x^3)^2$. Возводим в степень:
$(x^3)^2 = x^{3 \cdot 2} = x^6$.
Ответ: $x^6$.
г) В данном выражении знак минус стоит перед всеми скобками, поэтому он будет применен в последнюю очередь.
1. Начнем с выражения в скобках: $((-x)^3)^2$.
2. Возводим $(-x)$ в нечетную степень 3:
$(-x)^3 = -x^3$.
3. Выражение в скобках теперь выглядит так: $(-x^3)^2$.
4. Возводим $(-x^3)$ в четную степень 2. Знак минус исчезает, а показатели степеней перемножаются:
$(-x^3)^2 = x^{3 \cdot 2} = x^6$.
5. Теперь вернемся к исходному выражению и подставим полученный результат, учитывая знак минус в самом начале:
$-(((-x)^3)^2) = -(x^6) = -x^6$.
Ответ: $-x^6$.
Помогло решение? Оставьте отзыв в комментариях ниже.