Страница 167 - гдз по алгебре 7 класс учебник Дорофеев, Суворова

Авторы: Дорофеев Г. В., Суворова С. Б., Бунимович Е. А., Кузнецова Л. В., Минаева С. С., Рослова Л. О.
Тип: Учебник
Издательство: Просвещение
Год издания: 2019 - 2022
Цвет обложки: белый, голубой, оранжевый с галочкой
ISBN: 978-5-09-074650-2
Рекомендовано Министерством образования и науки Российской Федерации
Популярные ГДЗ в 7 классе
Cтраница 167

№541 (с. 167)
Условие. №541 (с. 167)
скриншот условия

541 Выполните умножение:
а) $4xy \cdot 3y^7$;
б) $2xy^2 \cdot 2xy^2$;
в) $10a^2b \cdot 0,1ab^5$;
г) $2p^2c^3 \cdot 3p^2c$;
д) $-m \cdot 4m^3n^4$;
е) $-c^2d \cdot 2c^3d$;
ж) $6a^5b^3 \cdot (-4ab^2)$;
з) $-xy \cdot (-x^3y^2)$;
и) $-2a^2 \cdot (-0,5ax^4)$.
Решение 1. №541 (с. 167)









Решение 2. №541 (с. 167)

Решение 3. №541 (с. 167)

Решение 4. №541 (с. 167)

Решение 5. №541 (с. 167)

Решение 6. №541 (с. 167)
а) Чтобы выполнить умножение одночленов $4xy$ и $3y^7$, мы перемножаем их числовые коэффициенты и степени с одинаковыми основаниями. При умножении степеней их показатели складываются.
$4xy \cdot 3y^7 = (4 \cdot 3) \cdot x \cdot (y^1 \cdot y^7) = 12 \cdot x \cdot y^{1+7} = 12xy^8$.
Ответ: $12xy^8$
б) Перемножим одночлены $2xy^2$ и $2xy^2$. Сгруппируем и перемножим коэффициенты и переменные.
$2xy^2 \cdot 2xy^2 = (2 \cdot 2) \cdot (x^1 \cdot x^1) \cdot (y^2 \cdot y^2) = 4 \cdot x^{1+1} \cdot y^{2+2} = 4x^2y^4$.
Ответ: $4x^2y^4$
в) Выполним умножение $10a^2b \cdot 0,1ab^5$.
$10a^2b \cdot 0,1ab^5 = (10 \cdot 0,1) \cdot (a^2 \cdot a^1) \cdot (b^1 \cdot b^5) = 1 \cdot a^{2+1} \cdot b^{1+5} = a^3b^6$.
Ответ: $a^3b^6$
г) Умножим $2p^2c^3$ на $3p^2c$.
$2p^2c^3 \cdot 3p^2c = (2 \cdot 3) \cdot (p^2 \cdot p^2) \cdot (c^3 \cdot c^1) = 6 \cdot p^{2+2} \cdot c^{3+1} = 6p^4c^4$.
Ответ: $6p^4c^4$
д) Выполним умножение $-m \cdot 4m^3n^4$. Одночлен $-m$ имеет коэффициент $-1$.
$-m \cdot 4m^3n^4 = (-1 \cdot 4) \cdot (m^1 \cdot m^3) \cdot n^4 = -4 \cdot m^{1+3} \cdot n^4 = -4m^4n^4$.
Ответ: $-4m^4n^4$
е) Умножим $-c^2d$ на $2c^3d$. Коэффициент первого одночлена равен $-1$.
$-c^2d \cdot 2c^3d = (-1 \cdot 2) \cdot (c^2 \cdot c^3) \cdot (d^1 \cdot d^1) = -2 \cdot c^{2+3} \cdot d^{1+1} = -2c^5d^2$.
Ответ: $-2c^5d^2$
ж) Выполним умножение $6a^5b^3 \cdot (-4ab^2)$.
$6a^5b^3 \cdot (-4ab^2) = (6 \cdot (-4)) \cdot (a^5 \cdot a^1) \cdot (b^3 \cdot b^2) = -24 \cdot a^{5+1} \cdot b^{3+2} = -24a^6b^5$.
Ответ: $-24a^6b^5$
з) Выполним умножение $-xy \cdot (-x^3y^2)$. Оба одночлена имеют коэффициент $-1$.
$-xy \cdot (-x^3y^2) = (-1 \cdot (-1)) \cdot (x^1 \cdot x^3) \cdot (y^1 \cdot y^2) = 1 \cdot x^{1+3} \cdot y^{1+2} = x^4y^3$.
Ответ: $x^4y^3$
и) Выполним умножение $-2a^2 \cdot (-0,5ax^4)$.
$-2a^2 \cdot (-0,5ax^4) = (-2 \cdot (-0,5)) \cdot (a^2 \cdot a^1) \cdot x^4 = 1 \cdot a^{2+1} \cdot x^4 = a^3x^4$.
Ответ: $a^3x^4$
№542 (с. 167)
Условие. №542 (с. 167)
скриншот условия

542 Упростите выражение:
а) $0,5x^3yz \cdot 4xyz;$
б) $0,2ab^3c \cdot 16a^3bc^3;$
в) $a^3xy \cdot 6ax^2y;$
г) $5ac^4 \cdot (-\frac{1}{5}c^2d^2);$
д) $-\frac{1}{2}bd \cdot (-4b^2c);$
е) $(-0,1xy) \cdot (-10xz^2).$
Решение 1. №542 (с. 167)






Решение 2. №542 (с. 167)

Решение 3. №542 (с. 167)

Решение 4. №542 (с. 167)

Решение 5. №542 (с. 167)

Решение 6. №542 (с. 167)
а) Чтобы упростить произведение одночленов $0,5x^3yz \cdot 4xyz$, необходимо сгруппировать и перемножить их числовые коэффициенты и степени с одинаковыми основаниями.
1. Умножим числовые коэффициенты: $0,5 \cdot 4 = 2$.
2. Умножим переменные, используя правило умножения степеней $a^m \cdot a^n = a^{m+n}$:
$x^3 \cdot x = x^{3+1} = x^4$
$y \cdot y = y^{1+1} = y^2$
$z \cdot z = z^{1+1} = z^2$
3. Объединим полученные результаты: $2x^4y^2z^2$.
Ответ: $2x^4y^2z^2$
б) Упростим выражение $0,2ab^3c \cdot 16a^3bc^3$.
1. Перемножим коэффициенты: $0,2 \cdot 16 = 3,2$.
2. Перемножим степени с одинаковыми основаниями:
$a \cdot a^3 = a^{1+3} = a^4$
$b^3 \cdot b = b^{3+1} = b^4$
$c \cdot c^3 = c^{1+3} = c^4$
3. Запишем итоговый одночлен: $3,2a^4b^4c^4$.
Ответ: $3,2a^4b^4c^4$
в) Упростим выражение $a^3xy \cdot 6ax^2y$.
1. Коэффициент первого одночлена равен 1. Перемножим коэффициенты: $1 \cdot 6 = 6$.
2. Перемножим переменные:
$a^3 \cdot a = a^{3+1} = a^4$
$x \cdot x^2 = x^{1+2} = x^3$
$y \cdot y = y^{1+1} = y^2$
3. Получаем: $6a^4x^3y^2$.
Ответ: $6a^4x^3y^2$
г) Упростим выражение $5ac^4 \cdot (-\frac{1}{5}c^2d^2)$.
1. Умножим коэффициенты: $5 \cdot (-\frac{1}{5}) = -1$.
2. Умножим переменные:
Переменная $a$ встречается только в первом множителе.
$c^4 \cdot c^2 = c^{4+2} = c^6$
Переменная $d^2$ встречается только во втором множителе.
3. Результат: $-1 \cdot a \cdot c^6 \cdot d^2 = -ac^6d^2$.
Ответ: $-ac^6d^2$
д) Упростим выражение $-\frac{1}{2}bd \cdot (-4b^2c)$.
1. Умножим коэффициенты: $(-\frac{1}{2}) \cdot (-4) = 2$.
2. Умножим переменные, расположив их в алфавитном порядке:
$b \cdot b^2 = b^{1+2} = b^3$
Переменные $c$ и $d$ не имеют пар.
3. Запишем итоговый одночлен: $2b^3cd$.
Ответ: $2b^3cd$
е) Упростим выражение $(-0,1xy) \cdot (-10xz^2)$.
1. Умножим коэффициенты: $(-0,1) \cdot (-10) = 1$.
2. Умножим переменные:
$x \cdot x = x^{1+1} = x^2$
Переменные $y$ и $z^2$ не имеют пар.
3. Результат: $1 \cdot x^2yz^2 = x^2yz^2$. Коэффициент 1 принято не записывать.
Ответ: $x^2yz^2$
№543 (с. 167)
Условие. №543 (с. 167)
скриншот условия

Сократите дробь (543-544).
543 а) $\frac{36a^6}{9a^4}$;
б) $\frac{12x^7}{6x^3}$;
в) $\frac{8y^4 \cdot 6y^2}{12y^3}$;
г) $\frac{5c \cdot 8c^4}{4c^3}$;
д) $\frac{4x \cdot 5x^4}{2x^5}$.
Решение 1. №543 (с. 167)





Решение 2. №543 (с. 167)

Решение 3. №543 (с. 167)

Решение 4. №543 (с. 167)

Решение 5. №543 (с. 167)

Решение 6. №543 (с. 167)
а) Чтобы сократить дробь $\frac{36a^6}{9a^4}$, разделим числитель и знаменатель на их общие делители.
Сначала сократим числовые коэффициенты: $\frac{36}{9} = 4$.
Затем сократим степени переменной a, используя свойство степеней $\frac{x^m}{x^n} = x^{m-n}$:
$\frac{a^6}{a^4} = a^{6-4} = a^2$.
Объединив результаты, получаем: $\frac{36a^6}{9a^4} = 4a^2$.
Ответ: $4a^2$
б) Сократим дробь $\frac{12x^7}{6x^3}$.
Сократим коэффициенты: $\frac{12}{6} = 2$.
Сократим степени переменной x по правилу деления степеней с одинаковым основанием: $\frac{x^7}{x^3} = x^{7-3} = x^4$.
В результате получаем: $\frac{12x^7}{6x^3} = 2x^4$.
Ответ: $2x^4$
в) Рассмотрим дробь $\frac{8y^4 \cdot 6y^2}{12y^3}$.
Сначала упростим числитель, перемножив выражения. Используем свойство умножения степеней с одинаковым основанием $x^m \cdot x^n = x^{m+n}$:
$8y^4 \cdot 6y^2 = (8 \cdot 6) \cdot (y^4 \cdot y^2) = 48y^{4+2} = 48y^6$.
Теперь дробь имеет вид $\frac{48y^6}{12y^3}$.
Сократим числовые коэффициенты: $\frac{48}{12} = 4$.
Сократим степени переменной y: $\frac{y^6}{y^3} = y^{6-3} = y^3$.
Итоговый результат: $4y^3$.
Ответ: $4y^3$
г) Рассмотрим дробь $\frac{5c \cdot 8c^4}{4c^3}$.
Упростим числитель. Помним, что $c = c^1$:
$5c \cdot 8c^4 = (5 \cdot 8) \cdot (c^1 \cdot c^4) = 40c^{1+4} = 40c^5$.
Дробь принимает вид $\frac{40c^5}{4c^3}$.
Сокращаем коэффициенты: $\frac{40}{4} = 10$.
Сокращаем степени переменной c: $\frac{c^5}{c^3} = c^{5-3} = c^2$.
Получаем: $10c^2$.
Ответ: $10c^2$
д) Рассмотрим дробь $\frac{4x \cdot 5x^4}{2x^5}$.
Упростим числитель, помня, что $x = x^1$:
$4x \cdot 5x^4 = (4 \cdot 5) \cdot (x^1 \cdot x^4) = 20x^{1+4} = 20x^5$.
Теперь у нас есть дробь $\frac{20x^5}{2x^5}$.
Сокращаем коэффициенты: $\frac{20}{2} = 10$.
Сокращаем степени переменной x: $\frac{x^5}{x^5} = x^{5-5} = x^0 = 1$.
Итоговый результат: $10 \cdot 1 = 10$.
Ответ: $10$
№544 (с. 167)
Условие. №544 (с. 167)
скриншот условия

544 a) $\frac{xy^3}{y^9};$
б) $\frac{z^5c}{z^7};$
В) $\frac{a^2b}{a^3b};$
Г) $\frac{3y^3}{xy^4};$
Д) $\frac{2m^4}{m^5n}.$
Решение 1. №544 (с. 167)





Решение 2. №544 (с. 167)

Решение 3. №544 (с. 167)

Решение 4. №544 (с. 167)

Решение 5. №544 (с. 167)

Решение 6. №544 (с. 167)
а)
Чтобы сократить дробь $\frac{xy^3}{y^9}$, нужно применить свойство степеней при делении. Свойство гласит: $\frac{a^m}{a^n} = a^{m-n}$.
В данном случае общее основание степени - это $y$. Сокращаем степени переменной $y$:
$\frac{y^3}{y^9} = y^{3-9} = y^{-6}$
Степень с отрицательным показателем $y^{-6}$ можно записать в виде дроби $\frac{1}{y^6}$.
Таким образом, исходное выражение преобразуется в:
$\frac{xy^3}{y^9} = x \cdot \frac{y^3}{y^9} = x \cdot y^{-6} = \frac{x}{y^6}$
Ответ: $\frac{x}{y^6}$
б)
Сократим дробь $\frac{z^5c}{z^7}$. Здесь общее основание степени - это $z$.
Применяем правило деления степеней с одинаковым основанием:
$\frac{z^5}{z^7} = z^{5-7} = z^{-2}$
Преобразуем степень с отрицательным показателем: $z^{-2} = \frac{1}{z^2}$.
Теперь подставим это обратно в исходное выражение:
$\frac{z^5c}{z^7} = c \cdot \frac{z^5}{z^7} = c \cdot z^{-2} = \frac{c}{z^2}$
Ответ: $\frac{c}{z^2}$
в)
Сократим дробь $\frac{a^2b}{a^3b}$. В этом выражении есть две переменные: $a$ и $b$.
Сначала сократим переменную $b$. Так как $b$ находится и в числителе, и в знаменателе в первой степени ($b^1$), они взаимно сокращаются (при условии, что $b \ne 0$):
$\frac{a^2b}{a^3b} = \frac{a^2\cancel{b}}{a^3\cancel{b}} = \frac{a^2}{a^3}$
Теперь сократим степени переменной $a$ по правилу деления степеней:
$\frac{a^2}{a^3} = a^{2-3} = a^{-1}$
Запишем результат в виде дроби: $a^{-1} = \frac{1}{a}$.
Ответ: $\frac{1}{a}$
г)
Сократим дробь $\frac{3y^3}{xy^4}$.
В этом выражении есть числовой коэффициент 3 и переменные $x$ и $y$. Переменная $x$ находится только в знаменателе, поэтому она остается там. Коэффициент 3 находится только в числителе, он там и остается. Сокращать будем степени переменной $y$.
Применяем правило деления степеней для $y$:
$\frac{y^3}{y^4} = y^{3-4} = y^{-1} = \frac{1}{y}$
Собираем все части вместе:
$\frac{3y^3}{xy^4} = \frac{3}{x} \cdot \frac{y^3}{y^4} = \frac{3}{x} \cdot \frac{1}{y} = \frac{3}{xy}$
Ответ: $\frac{3}{xy}$
д)
Сократим дробь $\frac{2m^4}{m^5n}$.
В этом выражении есть числовой коэффициент 2 и переменные $m$ и $n$. Переменная $n$ находится только в знаменателе. Коэффициент 2 находится только в числителе. Сокращать будем степени переменной $m$.
Используем свойство степеней при делении:
$\frac{m^4}{m^5} = m^{4-5} = m^{-1} = \frac{1}{m}$
Теперь объединим все части выражения:
$\frac{2m^4}{m^5n} = \frac{2}{n} \cdot \frac{m^4}{m^5} = \frac{2}{n} \cdot \frac{1}{m} = \frac{2}{mn}$
Ответ: $\frac{2}{mn}$
№545 (с. 167)
Условие. №545 (с. 167)
скриншот условия

545 Упростите выражение:
а) $\frac{32x^4y^5}{-8x^3y^3};$
б) $\frac{-18m^2n^3}{-36mn^3};$
в) $\frac{49c^4x^6}{7c^8x^8};$
г) $\frac{11x^{14}z^4}{-33x^{15}z^3}.$
Решение 1. №545 (с. 167)




Решение 2. №545 (с. 167)

Решение 3. №545 (с. 167)

Решение 4. №545 (с. 167)

Решение 5. №545 (с. 167)

Решение 6. №545 (с. 167)
а) Чтобы упростить выражение $ \frac{32x^4y^5}{-8x^3y^3} $, необходимо разделить коэффициенты и степени с одинаковыми основаниями по отдельности.
1. Разделим числовые коэффициенты: $ \frac{32}{-8} = -4 $.
2. Разделим переменные, используя свойство степеней $ \frac{a^m}{a^n} = a^{m-n} $:
$ \frac{x^4}{x^3} = x^{4-3} = x^1 = x $
$ \frac{y^5}{y^3} = y^{5-3} = y^2 $
3. Объединим полученные результаты: $ -4 \cdot x \cdot y^2 = -4xy^2 $.
Ответ: $ -4xy^2 $
б) Упростим выражение $ \frac{-18m^2n^3}{-36mn^3} $.
1. Разделим коэффициенты. Деление отрицательного числа на отрицательное дает положительное: $ \frac{-18}{-36} = \frac{18}{36} = \frac{1}{2} $.
2. Разделим переменные:
$ \frac{m^2}{m} = m^{2-1} = m $
$ \frac{n^3}{n^3} = n^{3-3} = n^0 = 1 $ (при $ n \neq 0 $)
3. Объединим результаты: $ \frac{1}{2} \cdot m \cdot 1 = \frac{1}{2}m $ или $ \frac{m}{2} $.
Ответ: $ \frac{m}{2} $
в) Упростим выражение $ \frac{49c^4x^6}{7c^8x^8} $.
1. Разделим коэффициенты: $ \frac{49}{7} = 7 $.
2. Разделим переменные. В данном случае степень в знаменателе больше, чем в числителе, поэтому для удобства используем правило $ \frac{a^m}{a^n} = \frac{1}{a^{n-m}} $:
$ \frac{c^4}{c^8} = \frac{1}{c^{8-4}} = \frac{1}{c^4} $
$ \frac{x^6}{x^8} = \frac{1}{x^{8-6}} = \frac{1}{x^2} $
3. Соберем все части вместе: $ 7 \cdot \frac{1}{c^4} \cdot \frac{1}{x^2} = \frac{7}{c^4x^2} $.
Ответ: $ \frac{7}{c^4x^2} $
г) Упростим выражение $ \frac{11x^{14}z^4}{-33x^{15}z^3} $.
1. Разделим коэффициенты: $ \frac{11}{-33} = -\frac{1}{3} $.
2. Разделим переменные:
$ \frac{x^{14}}{x^{15}} = \frac{1}{x^{15-14}} = \frac{1}{x} $
$ \frac{z^4}{z^3} = z^{4-3} = z $
3. Объединим все части, вынеся знак минуса перед дробью: $ -\frac{1}{3} \cdot \frac{1}{x} \cdot z = -\frac{z}{3x} $.
Ответ: $ -\frac{z}{3x} $
№546 (с. 167)
Условие. №546 (с. 167)
скриншот условия

546 ПРАКТИЧЕСКАЯ СИТУАЦИЯ
Население Китая составляет $1.3 \cdot 10^9$ человек, а площадь его территории равна $9.6 \cdot 10^6 \text{ км}^2$.
Найдите среднее число жителей на $1 \text{ км}^2$.
Решение 1. №546 (с. 167)

Решение 2. №546 (с. 167)

Решение 3. №546 (с. 167)

Решение 4. №546 (с. 167)

Решение 5. №546 (с. 167)

Решение 6. №546 (с. 167)
ПРАКТИЧЕСКАЯ СИТУАЦИЯ
Чтобы найти среднее число жителей на 1 км², необходимо рассчитать плотность населения. Плотность населения — это отношение общей численности населения к площади территории.
Нам даны:
Численность населения Китая: $N = 1,3 \cdot 10^9$ человек.
Площадь территории Китая: $S = 9,6 \cdot 10^6$ км².
Формула для расчета плотности населения ($D$):
$D = \frac{N}{S}$
Подставим известные значения в формулу:
$D = \frac{1,3 \cdot 10^9}{9,6 \cdot 10^6}$
Для удобства вычислений разделим отдельно числовые коэффициенты и степени с основанием 10. При делении степеней с одинаковым основанием их показатели вычитаются ($\frac{a^m}{a^n} = a^{m-n}$):
$D = \frac{1,3}{9,6} \cdot \frac{10^9}{10^6} = \frac{1,3}{9,6} \cdot 10^{9-6} = \frac{1,3}{9,6} \cdot 10^3$
Сначала вычислим частное от деления коэффициентов:
$\frac{1,3}{9,6} \approx 0,135416...$
Теперь умножим полученное значение на $10^3$ (то есть на 1000):
$D \approx 0,135416... \cdot 1000 \approx 135,416...$ человек/км².
Округлим полученное значение до целого числа, так как речь идет о количестве людей.
Ответ: среднее число жителей на 1 км² составляет примерно 135 человек.
№547 (с. 167)
Условие. №547 (с. 167)
скриншот условия

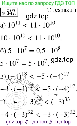
547 РАССУЖДАЕМ Сравните значения выражений:
а) $10^{11}$ и $11 \cdot 10^{10}$;
б) $5 \cdot 10^7$ и $0,5 \cdot 10^8$;
в) $(-4)^{18}$ и $-5 \cdot (-4)^{17}$;
г) $-4 \cdot (-3)^{32}$ и $(-3)^{33}$.
Решение 1. №547 (с. 167)




Решение 2. №547 (с. 167)

Решение 3. №547 (с. 167)

Решение 4. №547 (с. 167)

Решение 5. №547 (с. 167)

Решение 6. №547 (с. 167)
а) Чтобы сравнить значения выражений $10^{11}$ и $11 \cdot 10^{10}$, приведем их к общему множителю.
Представим $10^{11}$ в виде произведения с множителем $10^{10}$:
$10^{11} = 10^1 \cdot 10^{10} = 10 \cdot 10^{10}$.
Теперь сравним выражения $10 \cdot 10^{10}$ и $11 \cdot 10^{10}$.
Так как общий множитель $10^{10}$ является положительным числом, нам достаточно сравнить коэффициенты перед ним: 10 и 11.
Поскольку $10 < 11$, то и $10 \cdot 10^{10} < 11 \cdot 10^{10}$.
Следовательно, $10^{11} < 11 \cdot 10^{10}$.
Ответ: $10^{11} < 11 \cdot 10^{10}$.
б) Чтобы сравнить значения выражений $5 \cdot 10^7$ и $0,5 \cdot 10^8$, приведем их к одному и тому же показателю степени у числа 10.
Преобразуем второе выражение:
$0,5 \cdot 10^8 = 0,5 \cdot 10 \cdot 10^7 = 5 \cdot 10^7$.
Теперь мы сравниваем $5 \cdot 10^7$ и $5 \cdot 10^7$.
Эти выражения равны.
Ответ: $5 \cdot 10^7 = 0,5 \cdot 10^8$.
в) Сравним значения выражений $(-4)^{18}$ и $-5 \cdot (-4)^{17}$.
Сначала определим знаки выражений.
Выражение $(-4)^{18}$ — это отрицательное число в четной степени, результат будет положительным: $(-4)^{18} > 0$.
Выражение $(-4)^{17}$ — это отрицательное число в нечетной степени, результат будет отрицательным. При умножении на -5 (отрицательное число), итоговый результат будет положительным: $-5 \cdot (-4)^{17} > 0$.
Теперь приведем выражения к общему множителю. Представим $(-4)^{18}$ как $(-4) \cdot (-4)^{17}$.
Сравниваем $(-4) \cdot (-4)^{17}$ и $-5 \cdot (-4)^{17}$.
Общий множитель $(-4)^{17}$ является отрицательным числом.
Сравним коэффициенты: $-4 > -5$.
При умножении обеих частей этого неравенства на отрицательное число $(-4)^{17}$ знак неравенства меняется на противоположный:
$(-4) \cdot (-4)^{17} < (-5) \cdot (-4)^{17}$.
Следовательно, $(-4)^{18} < -5 \cdot (-4)^{17}$.
Ответ: $(-4)^{18} < -5 \cdot (-4)^{17}$.
г) Сравним значения выражений $-4 \cdot (-3)^{32}$ и $(-3)^{33}$.
Сначала определим знаки выражений.
Выражение $(-3)^{32}$ — это отрицательное число в четной степени, поэтому результат положительный. При умножении на -4, итоговое выражение $-4 \cdot (-3)^{32}$ будет отрицательным.
Выражение $(-3)^{33}$ — это отрицательное число в нечетной степени, поэтому результат будет отрицательным.
Оба выражения отрицательны. Приведем их к общему множителю.
Представим $(-3)^{33}$ как $(-3) \cdot (-3)^{32}$.
Теперь сравниваем $-4 \cdot (-3)^{32}$ и $-3 \cdot (-3)^{32}$.
Общий множитель $(-3)^{32}$ является положительным числом.
Следовательно, нам нужно сравнить только коэффициенты: -4 и -3.
Поскольку $-4 < -3$, то и $-4 \cdot (-3)^{32} < -3 \cdot (-3)^{32}$.
Следовательно, $-4 \cdot (-3)^{32} < (-3)^{33}$.
Ответ: $-4 \cdot (-3)^{32} < (-3)^{33}$.
№548 (с. 167)
Условие. №548 (с. 167)
скриншот условия

548 ПРИМЕНЯЕМ АЛГЕБРУ Вычислите:
а) $\frac{5^7}{25 \cdot 125}$
б) $\frac{64 \cdot 32}{2^{10}}$
в) $\frac{16 \cdot 3^6}{81 \cdot 2^6}$
Решение 1. №548 (с. 167)



Решение 2. №548 (с. 167)

Решение 3. №548 (с. 167)

Решение 4. №548 (с. 167)

Решение 5. №548 (с. 167)

Решение 6. №548 (с. 167)
а) Чтобы вычислить значение дроби $\frac{5^7}{25 \cdot 125}$, представим числа в знаменателе в виде степеней с основанием 5. Мы знаем, что $25 = 5^2$ и $125 = 5^3$. Подставим эти значения в выражение:
$\frac{5^7}{25 \cdot 125} = \frac{5^7}{5^2 \cdot 5^3}$
При умножении степеней с одинаковым основанием их показатели складываются: $5^2 \cdot 5^3 = 5^{2+3} = 5^5$.
Теперь выражение выглядит так: $\frac{5^7}{5^5}$.
При делении степеней с одинаковым основанием их показатели вычитаются: $\frac{5^7}{5^5} = 5^{7-5} = 5^2$.
Вычисляем результат: $5^2 = 25$.
Ответ: 25
б) Чтобы вычислить значение дроби $\frac{64 \cdot 32}{2^{10}}$, представим числа в числителе в виде степеней с основанием 2. Мы знаем, что $64 = 2^6$ и $32 = 2^5$. Подставим эти значения в выражение:
$\frac{64 \cdot 32}{2^{10}} = \frac{2^6 \cdot 2^5}{2^{10}}$
При умножении степеней с одинаковым основанием их показатели складываются: $2^6 \cdot 2^5 = 2^{6+5} = 2^{11}$.
Теперь выражение выглядит так: $\frac{2^{11}}{2^{10}}$.
При делении степеней с одинаковым основанием их показатели вычитаются: $\frac{2^{11}}{2^{10}} = 2^{11-10} = 2^1$.
Вычисляем результат: $2^1 = 2$.
Ответ: 2
в) Чтобы вычислить значение дроби $\frac{16 \cdot 3^6}{81 \cdot 2^6}$, представим числа 16 и 81 в виде степеней. Мы знаем, что $16 = 2^4$ и $81 = 3^4$. Подставим эти значения в выражение:
$\frac{16 \cdot 3^6}{81 \cdot 2^6} = \frac{2^4 \cdot 3^6}{3^4 \cdot 2^6}$
Сгруппируем дроби с одинаковыми основаниями: $\frac{2^4}{2^6} \cdot \frac{3^6}{3^4}$.
Теперь применим правило деления степеней (показатели вычитаются):
$\frac{2^4}{2^6} = 2^{4-6} = 2^{-2}$
$\frac{3^6}{3^4} = 3^{6-4} = 3^2$
Перемножим полученные результаты: $2^{-2} \cdot 3^2 = \frac{1}{2^2} \cdot 9 = \frac{1}{4} \cdot 9 = \frac{9}{4}$.
Результат можно представить в виде десятичной дроби: $\frac{9}{4} = 2,25$.
Ответ: $\frac{9}{4}$
№549 (с. 167)
Условие. №549 (с. 167)
скриншот условия

549 АНАЛИЗИРУЕМ Дана таблица степеней числа 3.
$3^1 = 3$
$3^2 = 9$
$3^3 = 27$
$3^4 = 81$
$3^5 = 243$
$3^6 = 729$
$3^7 = 2187$
$3^8 = 6561$
$3^9 = 19683$
$3^{10} = 59049$
$3^{11} = 177147$
$3^{12} = 531441$
1) Пользуясь этой таблицей, вычислите:
а) $729 \cdot 81$;
б) $2187 \cdot 243$;
в) $\frac{177147}{729}$;
г) $\frac{59049 \cdot 6561}{2187}$.
2) Составьте несколько выражений, значения которых можно найти, пользуясь таблицей степеней числа 3.
Решение 1. №549 (с. 167)





Решение 2. №549 (с. 167)

Решение 3. №549 (с. 167)

Решение 4. №549 (с. 167)


Решение 5. №549 (с. 167)

Решение 6. №549 (с. 167)
1) Для решения примеров воспользуемся свойствами степеней: $a^m \cdot a^n = a^{m+n}$ и $\frac{a^m}{a^n} = a^{m-n}$. Заменим числа в выражениях на степени числа 3, используя данные из таблицы.
а) $729 \cdot 81$
Из таблицы находим, что $729 = 3^6$ и $81 = 3^4$.
Следовательно, $729 \cdot 81 = 3^6 \cdot 3^4 = 3^{6+4} = 3^{10}$.
По таблице $3^{10} = 59049$.
Ответ: $59049$.
б) $2187 \cdot 243$
Из таблицы находим, что $2187 = 3^7$ и $243 = 3^5$.
Следовательно, $2187 \cdot 243 = 3^7 \cdot 3^5 = 3^{7+5} = 3^{12}$.
По таблице $3^{12} = 531441$.
Ответ: $531441$.
в) $\frac{177147}{729}$
Из таблицы находим, что $177147 = 3^{11}$ и $729 = 3^6$.
Следовательно, $\frac{177147}{729} = \frac{3^{11}}{3^6} = 3^{11-6} = 3^5$.
По таблице $3^5 = 243$.
Ответ: $243$.
г) $\frac{59049 \cdot 6561}{2187}$
Из таблицы находим, что $59049 = 3^{10}$, $6561 = 3^8$ и $2187 = 3^7$.
Следовательно, $\frac{59049 \cdot 6561}{2187} = \frac{3^{10} \cdot 3^8}{3^7} = \frac{3^{10+8}}{3^7} = \frac{3^{18}}{3^7} = 3^{18-7} = 3^{11}$.
По таблице $3^{11} = 177147$.
Ответ: $177147$.
2) Можно составить множество выражений, для вычисления которых используется данная таблица. Главное условие — чтобы итоговая степень числа 3 находилась в диапазоне от 1 до 12. Вот несколько примеров:
Пример 1: $27 \cdot 81$
Решение: $27 \cdot 81 = 3^3 \cdot 3^4 = 3^{3+4} = 3^7$.
По таблице $3^7 = 2187$.
Ответ: $2187$.
Пример 2: $\frac{531441}{6561}$
Решение: $\frac{531441}{6561} = \frac{3^{12}}{3^8} = 3^{12-8} = 3^4$.
По таблице $3^4 = 81$.
Ответ: $81$.
Пример 3: $\frac{19683 \cdot 3}{243}$
Решение: $\frac{19683 \cdot 3}{243} = \frac{3^9 \cdot 3^1}{3^5} = \frac{3^{10}}{3^5} = 3^{10-5} = 3^5$.
По таблице $3^5 = 243$.
Ответ: $243$.
Помогло решение? Оставьте отзыв в комментариях ниже.