Номер 3, страница 90, часть 1 - гдз по алгебре 8 класс рабочая тетрадь Крайнева, Миндюк

Авторы: Крайнева Л. Б., Миндюк Н. Г., Шлыкова И. С.
Тип: рабочая тетрадь
Издательство: Просвещение
Год издания: 2024 - 2025
Уровень обучения: базовый
Часть: 1
Цвет обложки: белый, голубой
ISBN: 978-5-09-110334-2
Популярные ГДЗ в 8 классе
18. Неполные квадратные уравнения. Глава 3. Уравнения и системы уравнений. Часть 1 - номер 3, страница 90.
№3 (с. 90)
Условие. №3 (с. 90)
скриншот условия


3. Найдите корни уравнения:
а) $2x^2 - 5x = 0;$
б) $3y + 18y^2 = 0;$
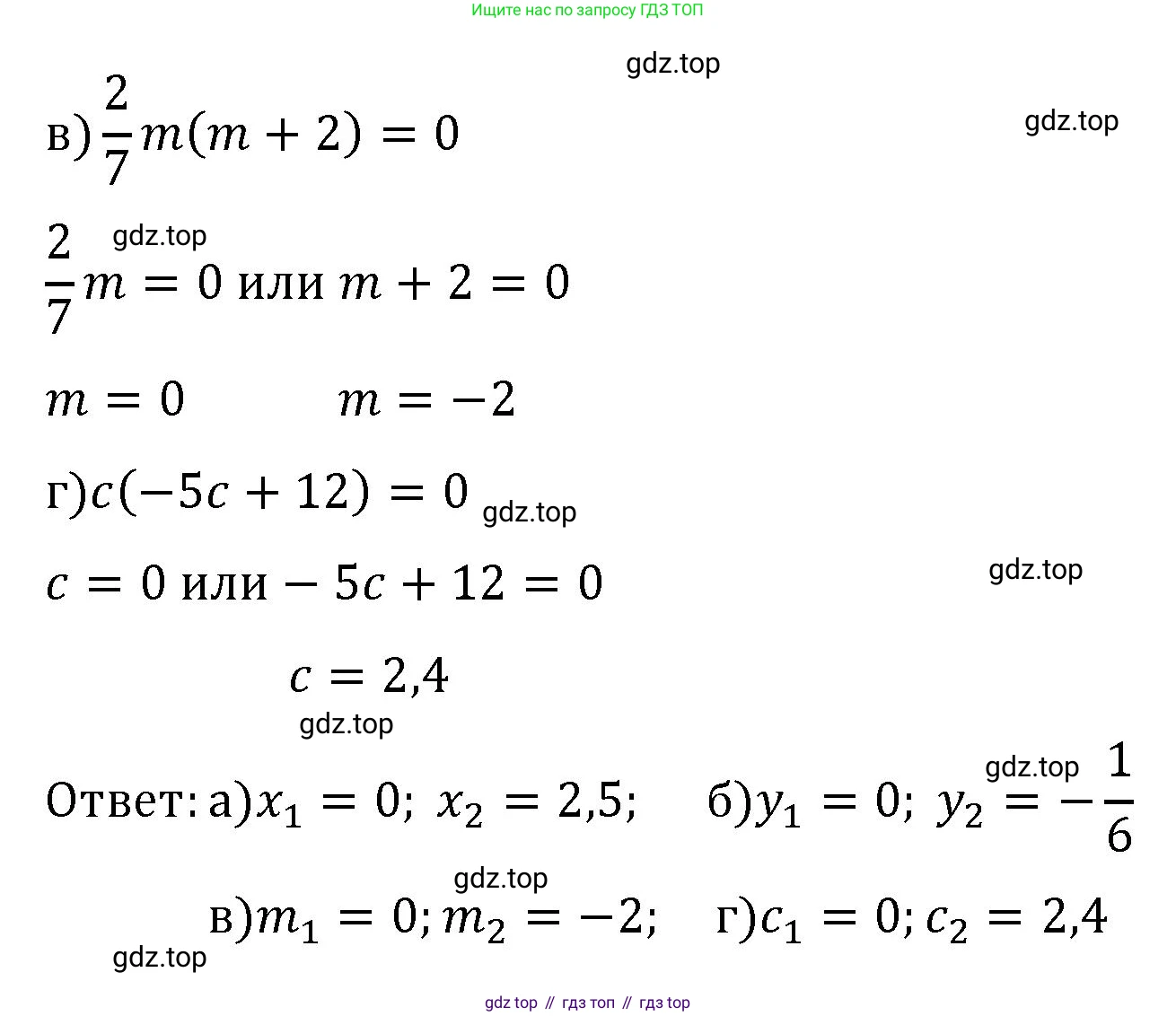
в) $\frac{2}{7}m^2 + \frac{4}{7}m = 0;$
г) $-5c^2 + 12c = 0.$
Решение. №3 (с. 90)


Решение 2. №3 (с. 90)
а) Дано неполное квадратное уравнение $2x^2 - 5x = 0$.
Для его решения вынесем общий множитель $x$ за скобки:
$x(2x - 5) = 0$.
Произведение равно нулю тогда и только тогда, когда хотя бы один из множителей равен нулю. Поэтому мы получаем два уравнения:
1) $x = 0$
2) $2x - 5 = 0$
Решим второе уравнение:
$2x = 5$
$x = \frac{5}{2} = 2,5$
Следовательно, корни уравнения — это 0 и 2,5.
Ответ: 0; 2,5.
б) Дано уравнение $3y + 18y^2 = 0$.
Запишем его в стандартном виде: $18y^2 + 3y = 0$.
Вынесем за скобки общий множитель $3y$:
$3y(6y + 1) = 0$.
Приравняем каждый из множителей к нулю:
1) $3y = 0 \implies y = 0$
2) $6y + 1 = 0$
Решим второе уравнение:
$6y = -1$
$y = -\frac{1}{6}$
Корни уравнения — это 0 и $-\frac{1}{6}$.
Ответ: 0; $-\frac{1}{6}$.
в) Дано уравнение $\frac{2}{7}m^2 + \frac{4}{7}m = 0$.
Для удобства умножим обе части уравнения на 7, чтобы избавиться от знаменателя:
$7 \cdot (\frac{2}{7}m^2 + \frac{4}{7}m) = 7 \cdot 0$
$2m^2 + 4m = 0$
Теперь вынесем общий множитель $2m$ за скобки:
$2m(m + 2) = 0$.
Получаем два возможных случая:
1) $2m = 0 \implies m = 0$
2) $m + 2 = 0 \implies m = -2$
Корни уравнения — это 0 и -2.
Ответ: 0; -2.
г) Дано уравнение $-5c^2 + 12c = 0$.
Вынесем общий множитель $c$ за скобки:
$c(-5c + 12) = 0$.
Приравняем каждый множитель к нулю:
1) $c = 0$
2) $-5c + 12 = 0$
Решим второе уравнение:
$12 = 5c$
$c = \frac{12}{5} = 2,4$
Корни уравнения — это 0 и 2,4.
Ответ: 0; 2,4.
Другие задания:
Помогло решение? Оставьте отзыв в комментариях ниже.
Присоединяйтесь к Телеграм-группе @top_gdz
ПрисоединитьсяМы подготовили для вас ответ c подробным объяснением домашего задания по алгебре за 8 класс, для упражнения номер 3 расположенного на странице 90 для 1-й части к рабочей тетради 2024 года издания для учащихся школ и гимназий.
Теперь на нашем сайте ГДЗ.ТОП вы всегда легко и бесплатно найдёте условие с правильным ответом на вопрос «Как решить ДЗ» и «Как сделать» задание по алгебре к упражнению №3 (с. 90), авторов: Крайнева (Лариса Борисовна), Миндюк (Нора Григорьевна), Шлыкова (Инга Соломоновна), 1-й части ФГОС (новый, красный) базовый уровень обучения учебного пособия издательства Просвещение.