Номер 11, страница 44, часть 2 - гдз по алгебре 8 класс рабочая тетрадь Крайнева, Миндюк

Авторы: Крайнева Л. Б., Миндюк Н. Г., Шлыкова И. С.
Тип: рабочая тетрадь
Издательство: Просвещение
Год издания: 2024 - 2025
Уровень обучения: базовый
Часть: 2
Цвет обложки: белый, голубой
ISBN: 978-5-09-110334-2
Популярные ГДЗ в 8 классе
29. Алгебраический способ решения систем уравнений. Глава 3. Уравнения и системы уравнений (продолжение). Часть 2 - номер 11, страница 44.
№11 (с. 44)
Условие. №11 (с. 44)
скриншот условия

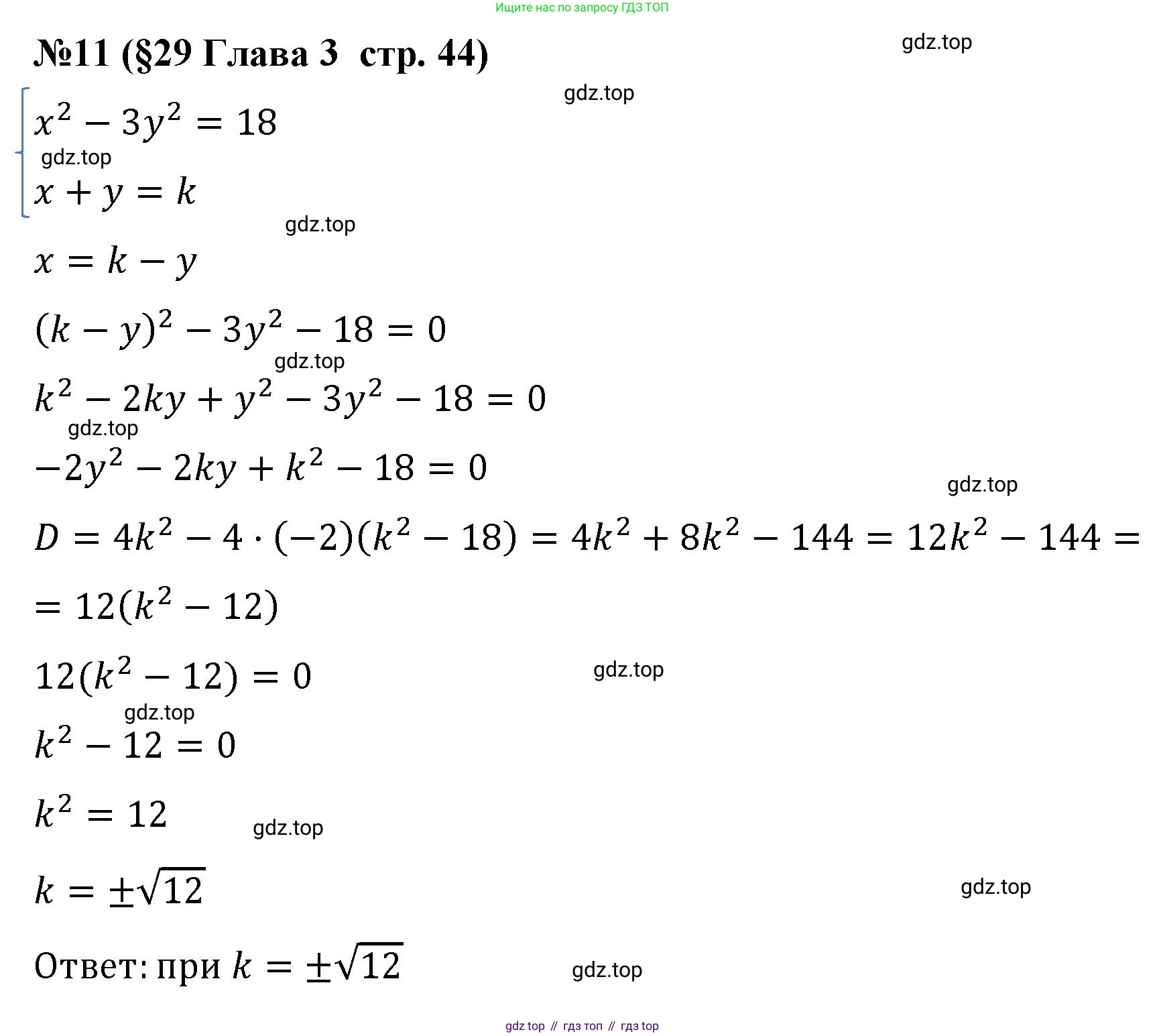
11. При каких значениях $k$ система уравнений
$$\begin{cases} x^2 - 3y^2 = 18, \\ x + y = k \end{cases}$$
имеет единственное решение?
Решение. №11 (с. 44)

Решение 2. №11 (с. 44)
Для того чтобы найти значения параметра $k$, при которых система уравнений имеет единственное решение, воспользуемся методом подстановки.
Исходная система: $$ \begin{cases} x^2 - 3y^2 = 18, \\ x + y = k \end{cases} $$
Из второго уравнения выразим переменную $x$: $$x = k - y$$
Теперь подставим это выражение для $x$ в первое уравнение системы: $$(k - y)^2 - 3y^2 = 18$$
Раскроем скобки и приведём подобные слагаемые, чтобы получить квадратное уравнение относительно переменной $y$: $$k^2 - 2ky + y^2 - 3y^2 = 18$$ $$-2y^2 - 2ky + k^2 - 18 = 0$$
Умножим все члены уравнения на $-1$, чтобы сделать коэффициент при $y^2$ положительным: $$2y^2 + 2ky - (k^2 - 18) = 0$$ Или, в стандартном виде $ay^2+by+c=0$: $$2y^2 + (2k)y + (18 - k^2) = 0$$
Исходная система имеет единственное решение (единственную пару $(x, y)$) тогда и только тогда, когда полученное квадратное уравнение для $y$ имеет единственный корень. Квадратное уравнение имеет единственный корень, когда его дискриминант $D$ равен нулю.
Вычислим дискриминант этого уравнения, где $a=2$, $b=2k$, $c=18-k^2$: $$D = b^2 - 4ac = (2k)^2 - 4 \cdot 2 \cdot (18 - k^2)$$ $$D = 4k^2 - 8(18 - k^2)$$ $$D = 4k^2 - 144 + 8k^2$$ $$D = 12k^2 - 144$$
Приравняем дискриминант к нулю и решим уравнение относительно $k$: $$12k^2 - 144 = 0$$ $$12k^2 = 144$$ $$k^2 = \frac{144}{12}$$ $$k^2 = 12$$ $$k = \pm\sqrt{12}$$ $$k = \pm\sqrt{4 \cdot 3}$$ $$k = \pm2\sqrt{3}$$
Таким образом, при найденных значениях $k$ система будет иметь единственное решение.
Ответ: $k = \pm2\sqrt{3}$.
Другие задания:
Помогло решение? Оставьте отзыв в комментариях ниже.
Присоединяйтесь к Телеграм-группе @top_gdz
ПрисоединитьсяМы подготовили для вас ответ c подробным объяснением домашего задания по алгебре за 8 класс, для упражнения номер 11 расположенного на странице 44 для 2-й части к рабочей тетради 2024 года издания для учащихся школ и гимназий.
Теперь на нашем сайте ГДЗ.ТОП вы всегда легко и бесплатно найдёте условие с правильным ответом на вопрос «Как решить ДЗ» и «Как сделать» задание по алгебре к упражнению №11 (с. 44), авторов: Крайнева (Лариса Борисовна), Миндюк (Нора Григорьевна), Шлыкова (Инга Соломоновна), 2-й части ФГОС (новый, красный) базовый уровень обучения учебного пособия издательства Просвещение.