Номер 4, страница 40, часть 2 - гдз по алгебре 8 класс рабочая тетрадь Крайнева, Миндюк

Авторы: Крайнева Л. Б., Миндюк Н. Г., Шлыкова И. С.
Тип: рабочая тетрадь
Издательство: Просвещение
Год издания: 2024 - 2025
Уровень обучения: базовый
Часть: 2
Цвет обложки: белый, голубой
ISBN: 978-5-09-110334-2
Популярные ГДЗ в 8 классе
29. Алгебраический способ решения систем уравнений. Глава 3. Уравнения и системы уравнений (продолжение). Часть 2 - номер 4, страница 40.
№4 (с. 40)
Условие. №4 (с. 40)
скриншот условия

4. Решите систему уравнений методом сложения:
$\begin{cases} x + 2y = -5, \\ 3y^2 - x = 45; \end{cases} \quad \overline{3y^2 + 2y = 40;}$
$3y^2 + 2y - 40 = 0;$ $D_1 = 1 + 120 = 121;$ $y_1 = \frac{-1 - 11}{3} = -4;$ $y_2 = \frac{-1 + 11}{3} = 3\text{ }\frac{1}{3};$ $x_1 = -5 + 8 = 3;$ $x_2 = -5 - 6\text{ }\frac{2}{3} = -11\text{ }\frac{2}{3}.$
Ответ: $(3; -4); \left(-11\text{ }\frac{2}{3}; 3\text{ }\frac{1}{3}\right).$
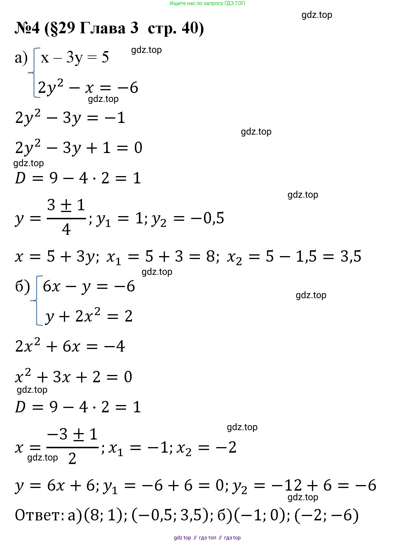
a) $\begin{cases} x - 3y = 5, \\ 2y^2 - x = -6; \end{cases}$
б) $\begin{cases} 6x - y = -6, \\ y + 2x^2 = 2. \end{cases}$
Решение. №4 (с. 40)

Решение 2. №4 (с. 40)
a) Дана система уравнений:
$\begin{cases} x - 3y = 5, \\ 2y^2 - x = -6. \end{cases}$
Чтобы решить эту систему методом сложения, сложим левые и правые части обоих уравнений. Заметим, что переменные $x$ и $-x$ при сложении взаимно уничтожатся.
$(x - 3y) + (2y^2 - x) = 5 + (-6)$
После упрощения получаем уравнение с одной переменной $y$:
$2y^2 - 3y = -1$
Перенесем все слагаемые в левую часть, чтобы получить стандартное квадратное уравнение:
$2y^2 - 3y + 1 = 0$
Решим это уравнение. Вычислим дискриминант по формуле $D = b^2 - 4ac$:
$D = (-3)^2 - 4 \cdot 2 \cdot 1 = 9 - 8 = 1$
Поскольку дискриминант больше нуля, уравнение имеет два действительных корня. Найдем их:
$y_1 = \frac{-(-3) + \sqrt{1}}{2 \cdot 2} = \frac{3 + 1}{4} = \frac{4}{4} = 1$
$y_2 = \frac{-(-3) - \sqrt{1}}{2 \cdot 2} = \frac{3 - 1}{4} = \frac{2}{4} = \frac{1}{2}$
Теперь для каждого найденного значения $y$ найдем соответствующее значение $x$. Для этого подставим значения $y$ в первое уравнение системы $x - 3y = 5$, предварительно выразив из него $x$: $x = 5 + 3y$.
Если $y_1 = 1$, то:
$x_1 = 5 + 3 \cdot 1 = 8$
Первая пара решений: $(8; 1)$.
Если $y_2 = \frac{1}{2}$, то:
$x_2 = 5 + 3 \cdot \frac{1}{2} = 5 + \frac{3}{2} = \frac{10}{2} + \frac{3}{2} = \frac{13}{2}$
Вторая пара решений: $(\frac{13}{2}; \frac{1}{2})$.
Ответ: $(8; 1)$, $(\frac{13}{2}; \frac{1}{2})$.
б) Дана система уравнений:
$\begin{cases} 6x - y = -6, \\ y + 2x^2 = 2. \end{cases}$
Применим метод сложения. Сложим левые и правые части уравнений. В данном случае переменные $-y$ и $y$ взаимно уничтожатся.
$(6x - y) + (y + 2x^2) = -6 + 2$
Упростим полученное уравнение:
$2x^2 + 6x = -4$
Перенесем все слагаемые в левую часть, чтобы получить стандартное квадратное уравнение:
$2x^2 + 6x + 4 = 0$
Для удобства решения разделим все члены уравнения на 2:
$x^2 + 3x + 2 = 0$
Решим полученное приведенное квадратное уравнение. Вычислим дискриминант:
$D = 3^2 - 4 \cdot 1 \cdot 2 = 9 - 8 = 1$
Найдем корни уравнения:
$x_1 = \frac{-3 + \sqrt{1}}{2 \cdot 1} = \frac{-3 + 1}{2} = \frac{-2}{2} = -1$
$x_2 = \frac{-3 - \sqrt{1}}{2 \cdot 1} = \frac{-3 - 1}{2} = \frac{-4}{2} = -2$
Теперь для каждого найденного значения $x$ найдем соответствующее значение $y$. Используем второе уравнение системы $y + 2x^2 = 2$, выразив из него $y$: $y = 2 - 2x^2$.
Если $x_1 = -1$, то:
$y_1 = 2 - 2(-1)^2 = 2 - 2 \cdot 1 = 0$
Первая пара решений: $(-1; 0)$.
Если $x_2 = -2$, то:
$y_2 = 2 - 2(-2)^2 = 2 - 2 \cdot 4 = 2 - 8 = -6$
Вторая пара решений: $(-2; -6)$.
Ответ: $(-1; 0)$, $(-2; -6)$.
Другие задания:
Помогло решение? Оставьте отзыв в комментариях ниже.
Присоединяйтесь к Телеграм-группе @top_gdz
ПрисоединитьсяМы подготовили для вас ответ c подробным объяснением домашего задания по алгебре за 8 класс, для упражнения номер 4 расположенного на странице 40 для 2-й части к рабочей тетради 2024 года издания для учащихся школ и гимназий.
Теперь на нашем сайте ГДЗ.ТОП вы всегда легко и бесплатно найдёте условие с правильным ответом на вопрос «Как решить ДЗ» и «Как сделать» задание по алгебре к упражнению №4 (с. 40), авторов: Крайнева (Лариса Борисовна), Миндюк (Нора Григорьевна), Шлыкова (Инга Соломоновна), 2-й части ФГОС (новый, красный) базовый уровень обучения учебного пособия издательства Просвещение.