Номер 2, страница 39, часть 2 - гдз по алгебре 8 класс рабочая тетрадь Крайнева, Миндюк

Авторы: Крайнева Л. Б., Миндюк Н. Г., Шлыкова И. С.
Тип: рабочая тетрадь
Издательство: Просвещение
Год издания: 2024 - 2025
Уровень обучения: базовый
Часть: 2
Цвет обложки: белый, голубой
ISBN: 978-5-09-110334-2
Популярные ГДЗ в 8 классе
29. Алгебраический способ решения систем уравнений. Глава 3. Уравнения и системы уравнений (продолжение). Часть 2 - номер 2, страница 39.
№2 (с. 39)
Условие. №2 (с. 39)
скриншот условия

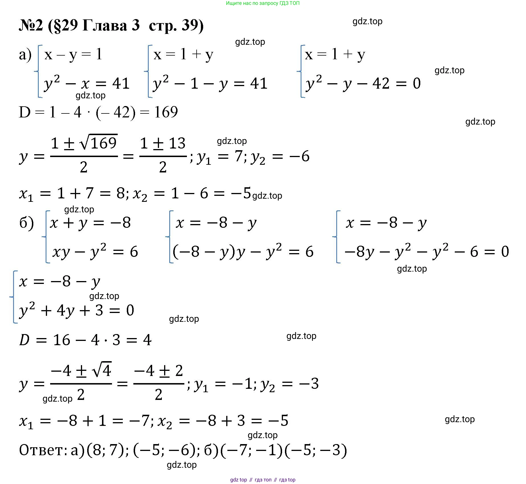
2. Решите систему уравнений способом подстановки:
a) $\begin{cases} x - y = 1, \\ y^2 - x = 41; \end{cases}$
б) $\begin{cases} x + y = -8, \\ xy - y^2 = 6. \end{cases}$
Решение. №2 (с. 39)

Решение 2. №2 (с. 39)
а) Дана система уравнений:
$ \begin{cases} x - y = 1, \\ y^2 - x = 41 \end{cases} $
Для решения системы методом подстановки выразим переменную $x$ из первого уравнения:
$ x = 1 + y $
Теперь подставим это выражение для $x$ во второе уравнение системы:
$ y^2 - (1 + y) = 41 $
Раскроем скобки и приведем подобные слагаемые, чтобы получить квадратное уравнение:
$ y^2 - 1 - y = 41 $
$ y^2 - y - 1 - 41 = 0 $
$ y^2 - y - 42 = 0 $
Решим полученное квадратное уравнение относительно $y$. Вычислим дискриминант $D = b^2 - 4ac$:
$ D = (-1)^2 - 4 \cdot 1 \cdot (-42) = 1 + 168 = 169 = 13^2 $
Найдем корни уравнения:
$ y_1 = \frac{-b + \sqrt{D}}{2a} = \frac{1 + 13}{2} = \frac{14}{2} = 7 $
$ y_2 = \frac{-b - \sqrt{D}}{2a} = \frac{1 - 13}{2} = \frac{-12}{2} = -6 $
Теперь найдем соответствующие значения $x$ для каждого найденного значения $y$, используя выражение $x = 1 + y$.
1. Если $y_1 = 7$, то $x_1 = 1 + 7 = 8$.
2. Если $y_2 = -6$, то $x_2 = 1 + (-6) = 1 - 6 = -5$.
Таким образом, решениями системы являются пары чисел $(8; 7)$ и $(-5; -6)$.
Ответ: $(8; 7)$, $(-5; -6)$.
б) Дана система уравнений:
$ \begin{cases} x + y = -8, \\ xy - y^2 = 6 \end{cases} $
Выразим переменную $x$ из первого уравнения:
$ x = -8 - y $
Подставим полученное выражение для $x$ во второе уравнение:
$ (-8 - y)y - y^2 = 6 $
Раскроем скобки и упростим уравнение:
$ -8y - y^2 - y^2 = 6 $
$ -2y^2 - 8y - 6 = 0 $
Разделим все уравнение на $-2$, чтобы упростить его:
$ y^2 + 4y + 3 = 0 $
Решим это квадратное уравнение. По теореме Виета, сумма корней равна $-4$, а их произведение равно $3$. Легко подобрать корни: $y_1 = -1$ и $y_2 = -3$.
Теперь найдем соответствующие значения $x$ для каждого $y$ из выражения $x = -8 - y$.
1. Если $y_1 = -1$, то $x_1 = -8 - (-1) = -8 + 1 = -7$.
2. Если $y_2 = -3$, то $x_2 = -8 - (-3) = -8 + 3 = -5$.
Следовательно, решениями системы являются пары чисел $(-7; -1)$ и $(-5; -3)$.
Ответ: $(-7; -1)$, $(-5; -3)$.
Другие задания:
Помогло решение? Оставьте отзыв в комментариях ниже.
Присоединяйтесь к Телеграм-группе @top_gdz
ПрисоединитьсяМы подготовили для вас ответ c подробным объяснением домашего задания по алгебре за 8 класс, для упражнения номер 2 расположенного на странице 39 для 2-й части к рабочей тетради 2024 года издания для учащихся школ и гимназий.
Теперь на нашем сайте ГДЗ.ТОП вы всегда легко и бесплатно найдёте условие с правильным ответом на вопрос «Как решить ДЗ» и «Как сделать» задание по алгебре к упражнению №2 (с. 39), авторов: Крайнева (Лариса Борисовна), Миндюк (Нора Григорьевна), Шлыкова (Инга Соломоновна), 2-й части ФГОС (новый, красный) базовый уровень обучения учебного пособия издательства Просвещение.