Номер 430, страница 103 - гдз по алгебре 8 класс учебник Макарычев, Миндюк

Авторы: Макарычев Ю. Н., Миндюк Н. Г., Нешков К. И., Суворова С. Б.
Тип: Учебник
Издательство: Просвещение
Год издания: 2019 - 2022
Цвет обложки: белый, голубой, фиолетовый
ISBN: 978-5-09-087569-1
Допущено Министерством просвещения Российской Федерации
Популярные ГДЗ в 8 классе
19. Преобразование выражений, содержащих квадратные корни. § 7. Применение свойств арифметического квадратного корня. Глава 2. Квадратные корни - номер 430, страница 103.
№430 (с. 103)
Условие. №430 (с. 103)
скриншот условия

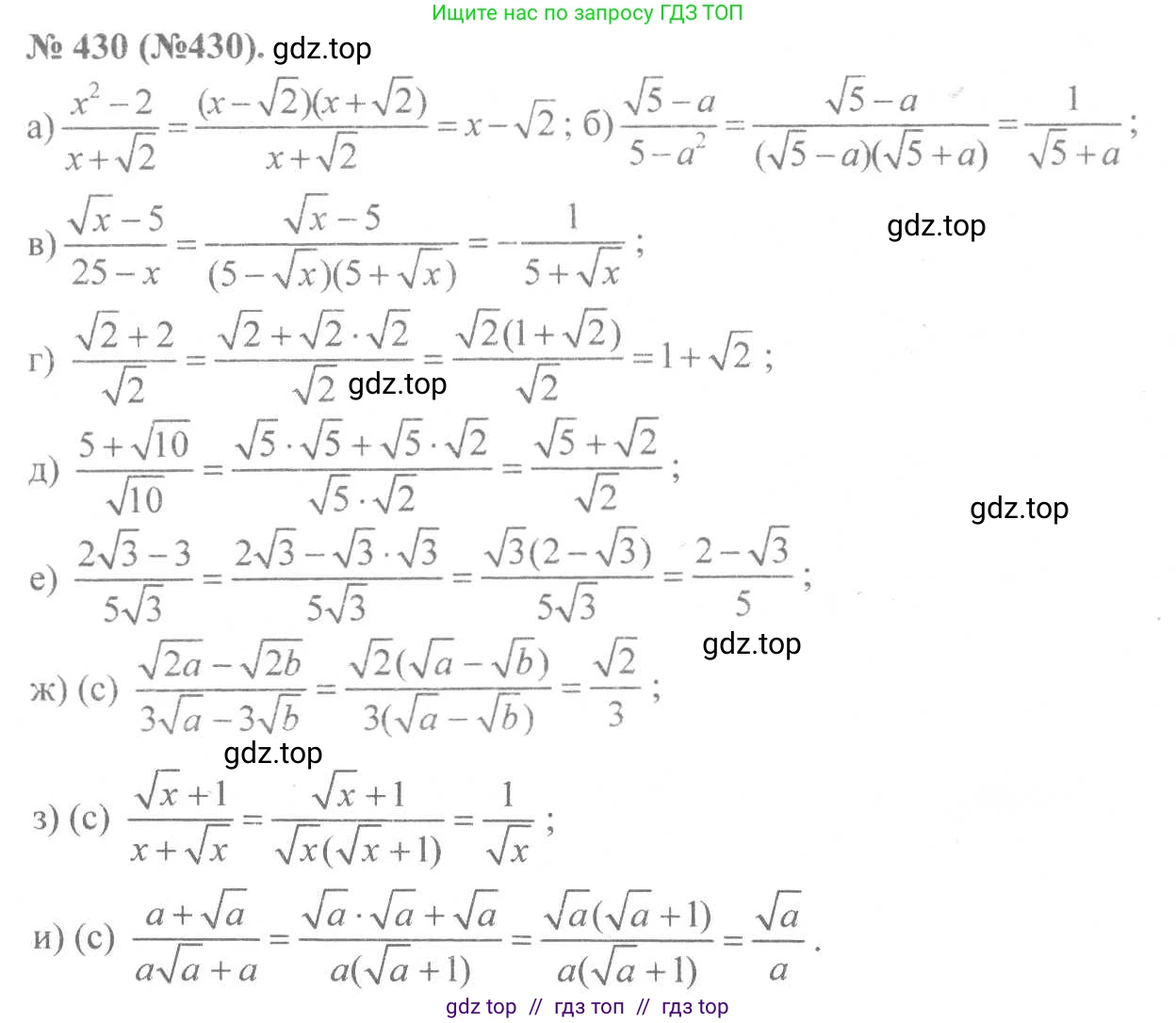
430. Сократите дробь:
а) $\frac{x^2 - 2}{x + \sqrt{2}}$;
б) $\frac{\sqrt{5} - a}{5 - a^2}$;
в) $\frac{\sqrt{x} - 5}{25 - x}$;
г) $\frac{\sqrt{2} + 2}{\sqrt{2}}$;
д) $\frac{5 + \sqrt{10}}{\sqrt{10}}$;
е) $\frac{2\sqrt{3} - 3}{5\sqrt{3}}$.
Решение 1. №430 (с. 103)






Решение 2. №430 (с. 103)

Решение 3. №430 (с. 103)

Решение 4. №430 (с. 103)

Решение 5. №430 (с. 103)

Решение 6. №430 (с. 103)

Решение 8. №430 (с. 103)
а)
Чтобы сократить дробь $\frac{x^2 - 2}{x + \sqrt{2}}$, разложим числитель на множители, используя формулу разности квадратов $a^2 - b^2 = (a - b)(a + b)$. Представим число 2 как $(\sqrt{2})^2$.
$x^2 - 2 = x^2 - (\sqrt{2})^2 = (x - \sqrt{2})(x + \sqrt{2})$.
Теперь подставим разложенный числитель обратно в дробь:
$\frac{(x - \sqrt{2})(x + \sqrt{2})}{x + \sqrt{2}}$.
Сокращаем общий множитель $(x + \sqrt{2})$ в числителе и знаменателе, при условии, что $x + \sqrt{2} \neq 0$.
$\frac{(x - \sqrt{2})\cancel{(x + \sqrt{2})}}{\cancel{x + \sqrt{2}}} = x - \sqrt{2}$.
Ответ: $x - \sqrt{2}$.
б)
Чтобы сократить дробь $\frac{\sqrt{5} - a}{5 - a^2}$, разложим знаменатель на множители по формуле разности квадратов. Представим число 5 как $(\sqrt{5})^2$.
$5 - a^2 = (\sqrt{5})^2 - a^2 = (\sqrt{5} - a)(\sqrt{5} + a)$.
Подставим разложенный знаменатель в дробь:
$\frac{\sqrt{5} - a}{(\sqrt{5} - a)(\sqrt{5} + a)}$.
Сокращаем общий множитель $(\sqrt{5} - a)$, при условии, что $\sqrt{5} - a \neq 0$.
$\frac{\cancel{\sqrt{5} - a}}{\cancel{(\sqrt{5} - a)}(\sqrt{5} + a)} = \frac{1}{\sqrt{5} + a}$.
Ответ: $\frac{1}{\sqrt{5} + a}$.
в)
Чтобы сократить дробь $\frac{\sqrt{x} - 5}{25 - x}$, разложим знаменатель на множители по формуле разности квадратов. При этом учтем, что $x = (\sqrt{x})^2$ (область определения $x \ge 0$).
$25 - x = 5^2 - (\sqrt{x})^2 = (5 - \sqrt{x})(5 + \sqrt{x})$.
Подставим разложенный знаменатель в дробь:
$\frac{\sqrt{x} - 5}{(5 - \sqrt{x})(5 + \sqrt{x})}$.
Заметим, что числитель и один из множителей в знаменателе отличаются только знаком: $\sqrt{x} - 5 = -(5 - \sqrt{x})$. Вынесем минус за скобки в числителе:
$\frac{-(5 - \sqrt{x})}{(5 - \sqrt{x})(5 + \sqrt{x})}$.
Теперь можно сократить общий множитель $(5 - \sqrt{x})$, при условии, что $x \neq 25$:
$\frac{-\cancel{(5 - \sqrt{x})}}{\cancel{(5 - \sqrt{x})}(5 + \sqrt{x})} = -\frac{1}{5 + \sqrt{x}}$.
Ответ: $-\frac{1}{5 + \sqrt{x}}$.
г)
Чтобы сократить дробь $\frac{\sqrt{2} + 2}{\sqrt{2}}$, можно разделить каждый член числителя на знаменатель или вынести общий множитель в числителе.
Способ 1: Почленное деление.
$\frac{\sqrt{2} + 2}{\sqrt{2}} = \frac{\sqrt{2}}{\sqrt{2}} + \frac{2}{\sqrt{2}} = 1 + \frac{(\sqrt{2})^2}{\sqrt{2}} = 1 + \sqrt{2}$.
Способ 2: Вынесение общего множителя.
Вынесем в числителе общий множитель $\sqrt{2}$, представив $2$ как $(\sqrt{2})^2$:
$\sqrt{2} + 2 = \sqrt{2} + (\sqrt{2})^2 = \sqrt{2}(1 + \sqrt{2})$.
Подставим в дробь:
$\frac{\sqrt{2}(1 + \sqrt{2})}{\sqrt{2}}$.
Сокращаем $\sqrt{2}$:
$\frac{\cancel{\sqrt{2}}(1 + \sqrt{2})}{\cancel{\sqrt{2}}} = 1 + \sqrt{2}$.
Ответ: $1 + \sqrt{2}$.
д)
Чтобы сократить дробь $\frac{5 + \sqrt{10}}{\sqrt{10}}$, разделим каждый член числителя на знаменатель.
$\frac{5 + \sqrt{10}}{\sqrt{10}} = \frac{5}{\sqrt{10}} + \frac{\sqrt{10}}{\sqrt{10}} = \frac{5}{\sqrt{10}} + 1$.
Упростим первое слагаемое $\frac{5}{\sqrt{10}}$, избавившись от иррациональности в знаменателе. Для этого умножим числитель и знаменатель на $\sqrt{10}$:
$\frac{5}{\sqrt{10}} = \frac{5 \cdot \sqrt{10}}{\sqrt{10} \cdot \sqrt{10}} = \frac{5\sqrt{10}}{10} = \frac{\sqrt{10}}{2}$.
Тогда все выражение равно:
$\frac{\sqrt{10}}{2} + 1$.
Ответ: $\frac{\sqrt{10}}{2} + 1$.
е)
Чтобы сократить дробь $\frac{2\sqrt{3} - 3}{5\sqrt{3}}$, вынесем в числителе общий множитель $\sqrt{3}$. Для этого представим $3$ как $(\sqrt{3})^2$.
$2\sqrt{3} - 3 = 2\sqrt{3} - (\sqrt{3})^2 = \sqrt{3}(2 - \sqrt{3})$.
Подставим полученное выражение в дробь:
$\frac{\sqrt{3}(2 - \sqrt{3})}{5\sqrt{3}}$.
Сократим общий множитель $\sqrt{3}$:
$\frac{\cancel{\sqrt{3}}(2 - \sqrt{3})}{5\cancel{\sqrt{3}}} = \frac{2 - \sqrt{3}}{5}$.
Ответ: $\frac{2 - \sqrt{3}}{5}$.
Другие задания:
Помогло решение? Оставьте отзыв в комментариях ниже.
Мы подготовили для вас ответ c подробным объяснением домашего задания по алгебре за 8 класс, для упражнения номер 430 расположенного на странице 103 к учебнику 2019 - 2022 года издания для учащихся школ и гимназий.
Теперь на нашем сайте ГДЗ.ТОП вы всегда легко и бесплатно найдёте условие с правильным ответом на вопрос «Как решить ДЗ» и «Как сделать» задание по алгебре к упражнению №430 (с. 103), авторов: Макарычев (Юрий Николаевич), Миндюк (Нора Григорьевна), Нешков (Константин Иванович), Суворова (Светлана Борисовна), ФГОС (старый) учебного пособия издательства Просвещение.