Номер 433, страница 103 - гдз по алгебре 8 класс учебник Макарычев, Миндюк

Авторы: Макарычев Ю. Н., Миндюк Н. Г., Нешков К. И., Суворова С. Б.
Тип: Учебник
Издательство: Просвещение
Год издания: 2019 - 2022
Цвет обложки: белый, голубой, фиолетовый
ISBN: 978-5-09-087569-1
Допущено Министерством просвещения Российской Федерации
Популярные ГДЗ в 8 классе
19. Преобразование выражений, содержащих квадратные корни. § 7. Применение свойств арифметического квадратного корня. Глава 2. Квадратные корни - номер 433, страница 103.
№433 (с. 103)
Условие. №433 (с. 103)
скриншот условия

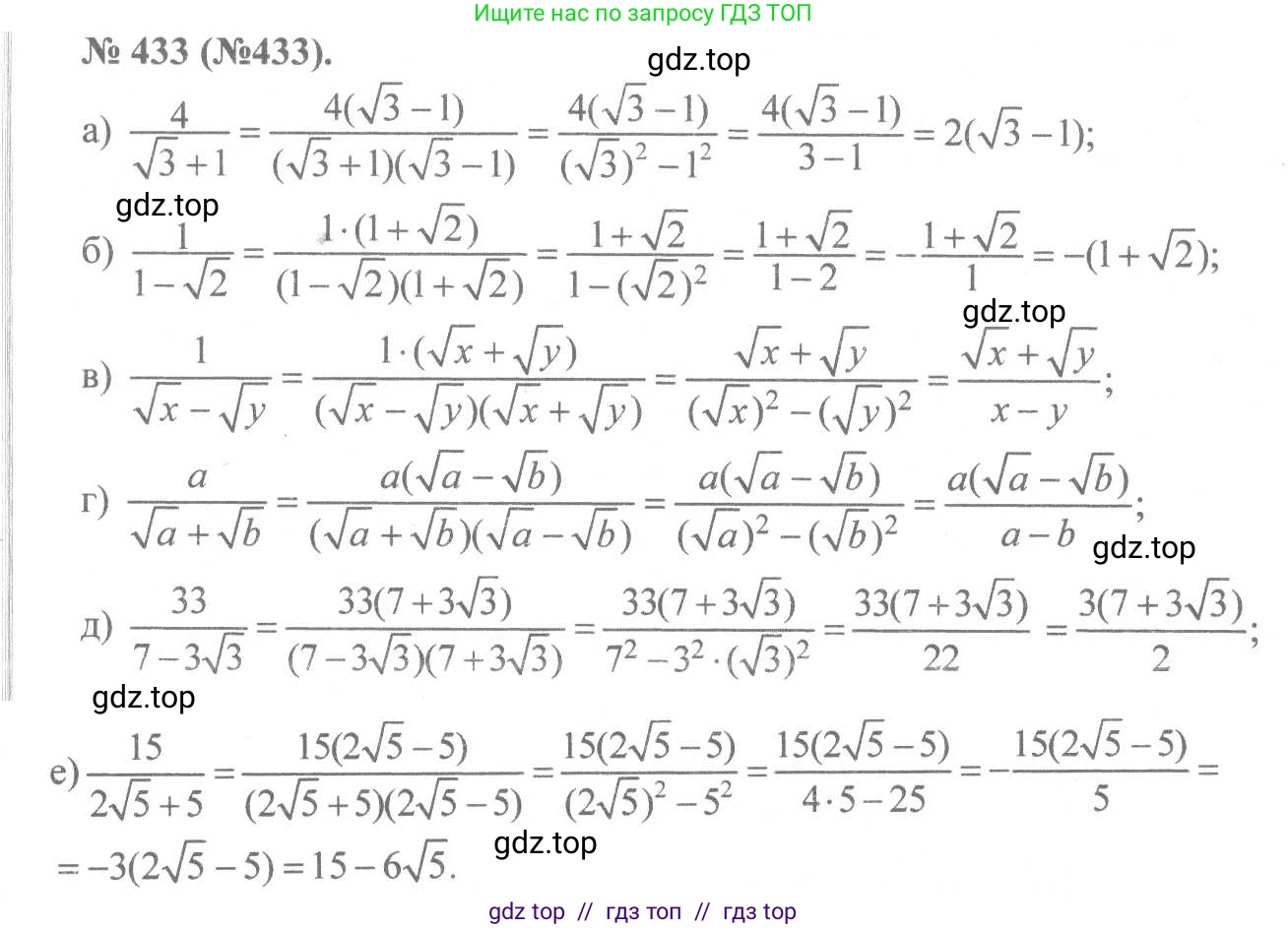
433. Освободитесь от иррациональности в знаменателе дроби:
a) $\frac{4}{\sqrt{3}+1}$;
б) $\frac{1}{1-\sqrt{2}}$;
в) $\frac{1}{\sqrt{x}-\sqrt{y}}$;
г) $\frac{a}{\sqrt{a}+\sqrt{b}}$;
д) $\frac{33}{7-3\sqrt{3}}$;
е) $\frac{15}{2\sqrt{5}+5}$.
Решение 1. №433 (с. 103)






Решение 2. №433 (с. 103)

Решение 3. №433 (с. 103)

Решение 4. №433 (с. 103)

Решение 5. №433 (с. 103)

Решение 6. №433 (с. 103)


Решение 8. №433 (с. 103)
Для того чтобы освободиться от иррациональности в знаменателе, необходимо умножить числитель и знаменатель дроби на выражение, сопряженное знаменателю. Сопряженным к выражению $a+b$ является $a-b$, и наоборот. При умножении таких выражений используется формула разности квадратов: $(a+b)(a-b) = a^2 - b^2$. Это позволяет избавиться от квадратных корней в знаменателе.
а) Чтобы избавиться от иррациональности в знаменателе дроби $\frac{4}{\sqrt{3}+1}$, умножим числитель и знаменатель на сопряженное выражение $\sqrt{3}-1$.
$\frac{4}{\sqrt{3}+1} = \frac{4 \cdot (\sqrt{3}-1)}{(\sqrt{3}+1) \cdot (\sqrt{3}-1)} = \frac{4(\sqrt{3}-1)}{(\sqrt{3})^2 - 1^2} = \frac{4(\sqrt{3}-1)}{3-1} = \frac{4(\sqrt{3}-1)}{2} = 2(\sqrt{3}-1) = 2\sqrt{3}-2$.
Ответ: $2\sqrt{3}-2$.
б) Умножим числитель и знаменатель дроби $\frac{1}{1-\sqrt{2}}$ на сопряженное к знаменателю выражение $1+\sqrt{2}$.
$\frac{1}{1-\sqrt{2}} = \frac{1 \cdot (1+\sqrt{2})}{(1-\sqrt{2}) \cdot (1+\sqrt{2})} = \frac{1+\sqrt{2}}{1^2 - (\sqrt{2})^2} = \frac{1+\sqrt{2}}{1-2} = \frac{1+\sqrt{2}}{-1} = -1-\sqrt{2}$.
Ответ: $-1-\sqrt{2}$.
в) Умножим числитель и знаменатель дроби $\frac{1}{\sqrt{x}-\sqrt{y}}$ на сопряженное выражение $\sqrt{x}+\sqrt{y}$. При этом предполагается, что $x \ge 0$, $y \ge 0$ и $x \ne y$.
$\frac{1}{\sqrt{x}-\sqrt{y}} = \frac{1 \cdot (\sqrt{x}+\sqrt{y})}{(\sqrt{x}-\sqrt{y}) \cdot (\sqrt{x}+\sqrt{y})} = \frac{\sqrt{x}+\sqrt{y}}{(\sqrt{x})^2 - (\sqrt{y})^2} = \frac{\sqrt{x}+\sqrt{y}}{x-y}$.
Ответ: $\frac{\sqrt{x}+\sqrt{y}}{x-y}$.
г) Умножим числитель и знаменатель дроби $\frac{a}{\sqrt{a}+\sqrt{b}}$ на сопряженное выражение $\sqrt{a}-\sqrt{b}$. При этом предполагается, что $a \ge 0$, $b \ge 0$ и $a \ne b$.
$\frac{a}{\sqrt{a}+\sqrt{b}} = \frac{a \cdot (\sqrt{a}-\sqrt{b})}{(\sqrt{a}+\sqrt{b}) \cdot (\sqrt{a}-\sqrt{b})} = \frac{a(\sqrt{a}-\sqrt{b})}{(\sqrt{a})^2 - (\sqrt{b})^2} = \frac{a(\sqrt{a}-\sqrt{b})}{a-b}$.
Ответ: $\frac{a(\sqrt{a}-\sqrt{b})}{a-b}$.
д) Умножим числитель и знаменатель дроби $\frac{33}{7-3\sqrt{3}}$ на сопряженное выражение $7+3\sqrt{3}$.
$\frac{33}{7-3\sqrt{3}} = \frac{33 \cdot (7+3\sqrt{3})}{(7-3\sqrt{3}) \cdot (7+3\sqrt{3})} = \frac{33(7+3\sqrt{3})}{7^2 - (3\sqrt{3})^2} = \frac{33(7+3\sqrt{3})}{49 - 9 \cdot 3} = \frac{33(7+3\sqrt{3})}{49 - 27} = \frac{33(7+3\sqrt{3})}{22}$.
Сократим дробь на 11:
$\frac{33(7+3\sqrt{3})}{22} = \frac{3(7+3\sqrt{3})}{2} = \frac{21+9\sqrt{3}}{2}$.
Ответ: $\frac{3(7+3\sqrt{3})}{2}$.
е) Умножим числитель и знаменатель дроби $\frac{15}{2\sqrt{5}+5}$ на сопряженное выражение $2\sqrt{5}-5$.
$\frac{15}{2\sqrt{5}+5} = \frac{15 \cdot (2\sqrt{5}-5)}{(2\sqrt{5}+5) \cdot (2\sqrt{5}-5)} = \frac{15(2\sqrt{5}-5)}{(2\sqrt{5})^2 - 5^2} = \frac{15(2\sqrt{5}-5)}{4 \cdot 5 - 25} = \frac{15(2\sqrt{5}-5)}{20 - 25} = \frac{15(2\sqrt{5}-5)}{-5}$.
Сократим дробь на -5:
$\frac{15(2\sqrt{5}-5)}{-5} = -3(2\sqrt{5}-5) = -6\sqrt{5} + 15 = 15 - 6\sqrt{5}$.
Ответ: $15 - 6\sqrt{5}$.
Другие задания:
Помогло решение? Оставьте отзыв в комментариях ниже.
Мы подготовили для вас ответ c подробным объяснением домашего задания по алгебре за 8 класс, для упражнения номер 433 расположенного на странице 103 к учебнику 2019 - 2022 года издания для учащихся школ и гимназий.
Теперь на нашем сайте ГДЗ.ТОП вы всегда легко и бесплатно найдёте условие с правильным ответом на вопрос «Как решить ДЗ» и «Как сделать» задание по алгебре к упражнению №433 (с. 103), авторов: Макарычев (Юрий Николаевич), Миндюк (Нора Григорьевна), Нешков (Константин Иванович), Суворова (Светлана Борисовна), ФГОС (старый) учебного пособия издательства Просвещение.