Номер 436, страница 104 - гдз по алгебре 8 класс учебник Макарычев, Миндюк

Авторы: Макарычев Ю. Н., Миндюк Н. Г., Нешков К. И., Суворова С. Б.
Тип: Учебник
Издательство: Просвещение
Год издания: 2019 - 2022
Цвет обложки: белый, голубой, фиолетовый
ISBN: 978-5-09-087569-1
Допущено Министерством просвещения Российской Федерации
Популярные ГДЗ в 8 классе
19. Преобразование выражений, содержащих квадратные корни. § 7. Применение свойств арифметического квадратного корня. Глава 2. Квадратные корни - номер 436, страница 104.
№436 (с. 104)
Условие. №436 (с. 104)
скриншот условия

436. Освободитесь от иррациональности в знаменателе дроби:
a) $\frac{x}{x+\sqrt{y}};$
б) $\frac{b}{a-\sqrt{b}};$
в) $\frac{4}{\sqrt{10}-\sqrt{2}};$
г) $\frac{12}{\sqrt{3}+\sqrt{6}};$
д) $\frac{9}{3-2\sqrt{2}};$
е) $\frac{14}{1+5\sqrt{2}}.$
Решение 1. №436 (с. 104)






Решение 2. №436 (с. 104)

Решение 3. №436 (с. 104)

Решение 4. №436 (с. 104)

Решение 5. №436 (с. 104)

Решение 6. №436 (с. 104)

Решение 8. №436 (с. 104)
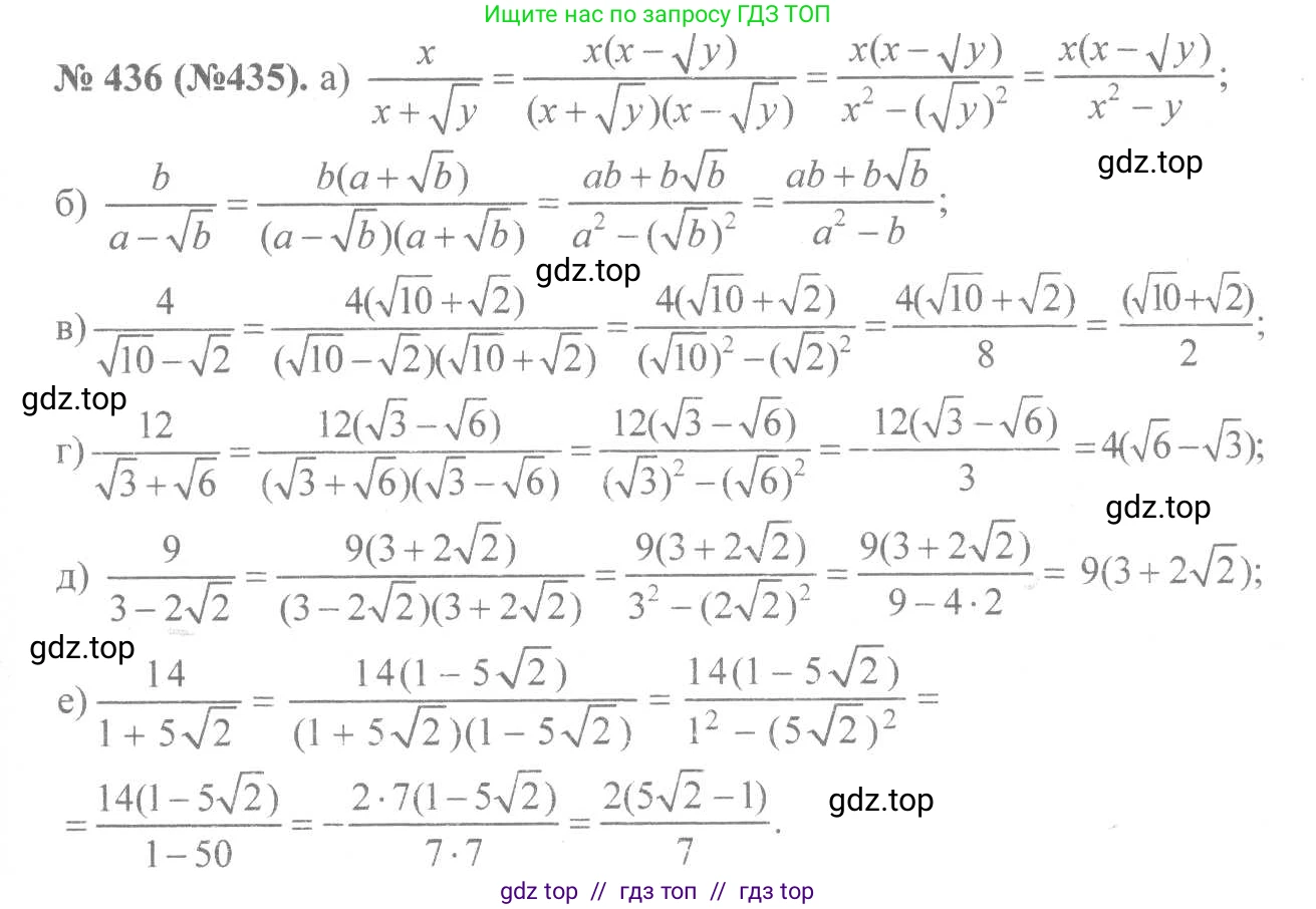
а) Чтобы избавиться от иррациональности в знаменателе дроби $ \frac{x}{x + \sqrt{y}} $, необходимо умножить числитель и знаменатель этой дроби на выражение, сопряженное знаменателю. Сопряженным для $ x + \sqrt{y} $ является $ x - \sqrt{y} $. При умножении этих выражений используется формула разности квадратов: $ (a+b)(a-b) = a^2 - b^2 $.
$ \frac{x}{x + \sqrt{y}} = \frac{x(x - \sqrt{y})}{(x + \sqrt{y})(x - \sqrt{y})} = \frac{x^2 - x\sqrt{y}}{x^2 - (\sqrt{y})^2} = \frac{x^2 - x\sqrt{y}}{x^2 - y} $.
Ответ: $ \frac{x^2 - x\sqrt{y}}{x^2 - y} $.
б) Для дроби $ \frac{b}{a - \sqrt{b}} $ знаменатель содержит иррациональность. Умножим числитель и знаменатель на сопряженное к знаменателю выражение $ a + \sqrt{b} $.
$ \frac{b}{a - \sqrt{b}} = \frac{b(a + \sqrt{b})}{(a - \sqrt{b})(a + \sqrt{b})} = \frac{ab + b\sqrt{b}}{a^2 - (\sqrt{b})^2} = \frac{ab + b\sqrt{b}}{a^2 - b} $.
Ответ: $ \frac{ab + b\sqrt{b}}{a^2 - b} $.
в) Исходная дробь $ \frac{4}{\sqrt{10} - \sqrt{2}} $. Сопряженным выражением к знаменателю $ \sqrt{10} - \sqrt{2} $ является $ \sqrt{10} + \sqrt{2} $. Умножим на него числитель и знаменатель.
$ \frac{4}{\sqrt{10} - \sqrt{2}} = \frac{4(\sqrt{10} + \sqrt{2})}{(\sqrt{10} - \sqrt{2})(\sqrt{10} + \sqrt{2})} = \frac{4(\sqrt{10} + \sqrt{2})}{(\sqrt{10})^2 - (\sqrt{2})^2} = \frac{4(\sqrt{10} + \sqrt{2})}{10 - 2} = \frac{4(\sqrt{10} + \sqrt{2})}{8} $.
Сократим полученную дробь на 4.
$ \frac{4(\sqrt{10} + \sqrt{2})}{8} = \frac{\sqrt{10} + \sqrt{2}}{2} $.
Ответ: $ \frac{\sqrt{10} + \sqrt{2}}{2} $.
г) Исходная дробь $ \frac{12}{\sqrt{3} + \sqrt{6}} $. Сопряженным выражением к знаменателю $ \sqrt{3} + \sqrt{6} $ является $ \sqrt{3} - \sqrt{6} $. Умножим на него числитель и знаменатель.
$ \frac{12}{\sqrt{3} + \sqrt{6}} = \frac{12(\sqrt{3} - \sqrt{6})}{(\sqrt{3} + \sqrt{6})(\sqrt{3} - \sqrt{6})} = \frac{12(\sqrt{3} - \sqrt{6})}{(\sqrt{3})^2 - (\sqrt{6})^2} = \frac{12(\sqrt{3} - \sqrt{6})}{3 - 6} = \frac{12(\sqrt{3} - \sqrt{6})}{-3} $.
Сократим дробь, разделив числитель и знаменатель на -3.
$ \frac{12(\sqrt{3} - \sqrt{6})}{-3} = -4(\sqrt{3} - \sqrt{6}) = -4\sqrt{3} + 4\sqrt{6} = 4\sqrt{6} - 4\sqrt{3} $. Можно записать как $ 4(\sqrt{6} - \sqrt{3}) $.
Ответ: $ 4(\sqrt{6} - \sqrt{3}) $.
д) Исходная дробь $ \frac{9}{3 - 2\sqrt{2}} $. Сопряженным выражением к знаменателю $ 3 - 2\sqrt{2} $ является $ 3 + 2\sqrt{2} $. Умножим на него числитель и знаменатель.
$ \frac{9}{3 - 2\sqrt{2}} = \frac{9(3 + 2\sqrt{2})}{(3 - 2\sqrt{2})(3 + 2\sqrt{2})} = \frac{9(3 + 2\sqrt{2})}{3^2 - (2\sqrt{2})^2} = \frac{9(3 + 2\sqrt{2})}{9 - 4 \cdot 2} = \frac{9(3 + 2\sqrt{2})}{9 - 8} = \frac{9(3 + 2\sqrt{2})}{1} = 27 + 18\sqrt{2} $.
Ответ: $ 27 + 18\sqrt{2} $.
е) Исходная дробь $ \frac{14}{1 + 5\sqrt{2}} $. Сопряженным выражением к знаменателю $ 1 + 5\sqrt{2} $ является $ 1 - 5\sqrt{2} $. Умножим на него числитель и знаменатель.
$ \frac{14}{1 + 5\sqrt{2}} = \frac{14(1 - 5\sqrt{2})}{(1 + 5\sqrt{2})(1 - 5\sqrt{2})} = \frac{14(1 - 5\sqrt{2})}{1^2 - (5\sqrt{2})^2} = \frac{14(1 - 5\sqrt{2})}{1 - 25 \cdot 2} = \frac{14(1 - 5\sqrt{2})}{1 - 50} = \frac{14(1 - 5\sqrt{2})}{-49} $.
Сократим дробь на 7.
$ \frac{14(1 - 5\sqrt{2})}{-49} = \frac{2(1 - 5\sqrt{2})}{-7} = -\frac{2(1 - 5\sqrt{2})}{7} = \frac{-2 + 10\sqrt{2}}{7} = \frac{10\sqrt{2} - 2}{7} $.
Ответ: $ \frac{10\sqrt{2} - 2}{7} $.
Другие задания:
Помогло решение? Оставьте отзыв в комментариях ниже.
Мы подготовили для вас ответ c подробным объяснением домашего задания по алгебре за 8 класс, для упражнения номер 436 расположенного на странице 104 к учебнику 2019 - 2022 года издания для учащихся школ и гимназий.
Теперь на нашем сайте ГДЗ.ТОП вы всегда легко и бесплатно найдёте условие с правильным ответом на вопрос «Как решить ДЗ» и «Как сделать» задание по алгебре к упражнению №436 (с. 104), авторов: Макарычев (Юрий Николаевич), Миндюк (Нора Григорьевна), Нешков (Константин Иванович), Суворова (Светлана Борисовна), ФГОС (старый) учебного пособия издательства Просвещение.