Номер 500, страница 114 - гдз по алгебре 8 класс учебник Макарычев, Миндюк

Авторы: Макарычев Ю. Н., Миндюк Н. Г., Нешков К. И., Суворова С. Б.
Тип: Учебник
Издательство: Просвещение
Год издания: 2019 - 2022
Цвет обложки: белый, голубой, фиолетовый
ISBN: 978-5-09-087569-1
Допущено Министерством просвещения Российской Федерации
Популярные ГДЗ в 8 классе
К параграфу 7. Дополнительные упражнения к главе II. Глава 2. Квадратные корни - номер 500, страница 114.
№500 (с. 114)
Условие. №500 (с. 114)
скриншот условия

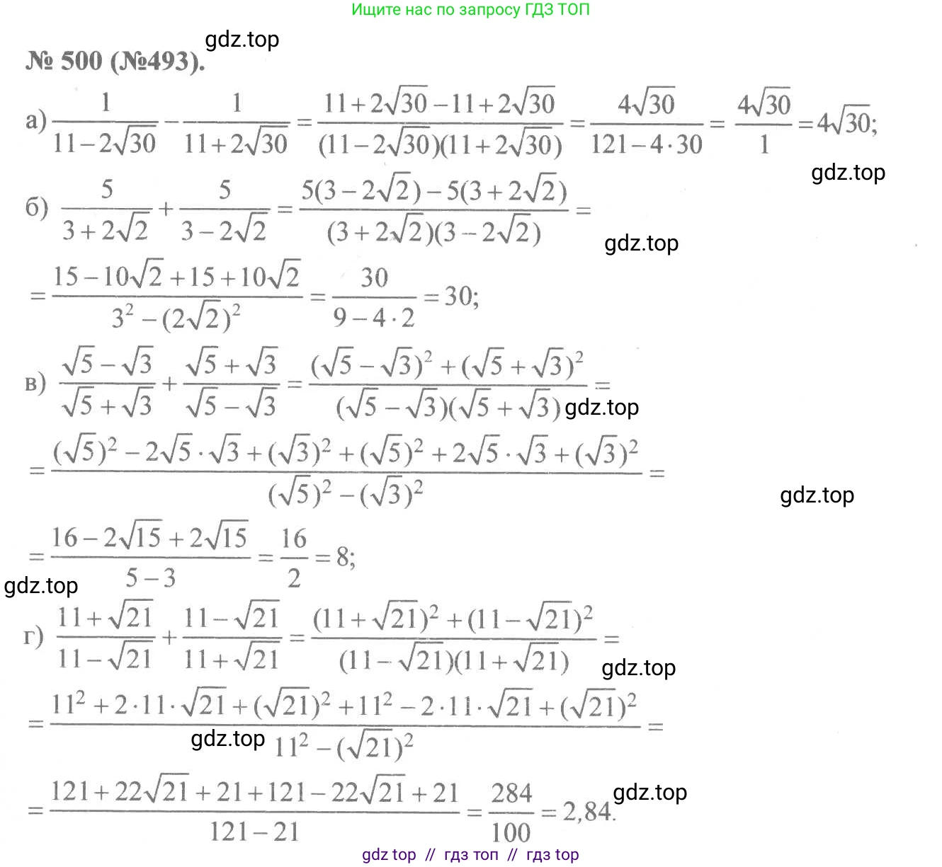
500. Найдите значение выражения:
а) $\frac{1}{11-2\sqrt{30}} - \frac{1}{11+2\sqrt{30}}$;
б) $\frac{5}{3+2\sqrt{2}} + \frac{5}{3-2\sqrt{2}}$;
в) $\frac{\sqrt{5}-\sqrt{3}}{\sqrt{5}+\sqrt{3}} + \frac{\sqrt{5}+\sqrt{3}}{\sqrt{5}-\sqrt{3}}$;
г) $\frac{11+\sqrt{21}}{11-\sqrt{21}} + \frac{11-\sqrt{21}}{11+\sqrt{21}}$.
Решение 1. №500 (с. 114)




Решение 2. №500 (с. 114)

Решение 3. №500 (с. 114)

Решение 4. №500 (с. 114)

Решение 6. №500 (с. 114)


Решение 8. №500 (с. 114)
а) Чтобы найти значение выражения $\frac{1}{11-2\sqrt{30}} - \frac{1}{11+2\sqrt{30}}$, приведем дроби к общему знаменателю. Общим знаменателем будет произведение знаменателей $(11-2\sqrt{30})(11+2\sqrt{30})$. Для его вычисления воспользуемся формулой разности квадратов $(a-b)(a+b) = a^2-b^2$.
Знаменатель: $(11-2\sqrt{30})(11+2\sqrt{30}) = 11^2 - (2\sqrt{30})^2 = 121 - 4 \cdot 30 = 121 - 120 = 1$.
Теперь найдем числитель, домножив числители исходных дробей на соответствующие множители:
Числитель: $1 \cdot (11+2\sqrt{30}) - 1 \cdot (11-2\sqrt{30}) = 11+2\sqrt{30} - 11+2\sqrt{30} = 4\sqrt{30}$.
Таким образом, значение выражения равно $\frac{4\sqrt{30}}{1} = 4\sqrt{30}$.
Ответ: $4\sqrt{30}$.
б) В выражении $\frac{5}{3+2\sqrt{2}} + \frac{5}{3-2\sqrt{2}}$ также приведем дроби к общему знаменателю $(3+2\sqrt{2})(3-2\sqrt{2})$.
Знаменатель, используя формулу разности квадратов: $(3+2\sqrt{2})(3-2\sqrt{2}) = 3^2 - (2\sqrt{2})^2 = 9 - 4 \cdot 2 = 9 - 8 = 1$.
Числитель: $5(3-2\sqrt{2}) + 5(3+2\sqrt{2}) = 15 - 10\sqrt{2} + 15 + 10\sqrt{2} = 30$.
В результате получаем: $\frac{30}{1} = 30$.
Ответ: $30$.
в) Чтобы найти значение выражения $\frac{\sqrt{5}-\sqrt{3}}{\sqrt{5}+\sqrt{3}} + \frac{\sqrt{5}+\sqrt{3}}{\sqrt{5}-\sqrt{3}}$, приведем дроби к общему знаменателю.
Общий знаменатель: $(\sqrt{5}+\sqrt{3})(\sqrt{5}-\sqrt{3}) = (\sqrt{5})^2 - (\sqrt{3})^2 = 5 - 3 = 2$.
Числитель будет равен сумме произведений числителя каждой дроби на знаменатель другой: $(\sqrt{5}-\sqrt{3})(\sqrt{5}-\sqrt{3}) + (\sqrt{5}+\sqrt{3})(\sqrt{5}+\sqrt{3}) = (\sqrt{5}-\sqrt{3})^2 + (\sqrt{5}+\sqrt{3})^2$.
Используем формулы квадрата разности $(a-b)^2 = a^2-2ab+b^2$ и квадрата суммы $(a+b)^2 = a^2+2ab+b^2$.
$(\sqrt{5}^2 - 2\sqrt{5}\sqrt{3} + \sqrt{3}^2) + (\sqrt{5}^2 + 2\sqrt{5}\sqrt{3} + \sqrt{3}^2) = (5-2\sqrt{15}+3) + (5+2\sqrt{15}+3) = 8 - 2\sqrt{15} + 8 + 2\sqrt{15} = 16$.
Итоговое значение: $\frac{16}{2} = 8$.
Ответ: $8$.
г) Данное выражение $\frac{11+\sqrt{21}}{11-\sqrt{21}} + \frac{11-\sqrt{21}}{11+\sqrt{21}}$ решается аналогично предыдущему. Приводим к общему знаменателю.
Знаменатель: $(11-\sqrt{21})(11+\sqrt{21}) = 11^2 - (\sqrt{21})^2 = 121 - 21 = 100$.
Числитель: $(11+\sqrt{21})^2 + (11-\sqrt{21})^2$.
Раскроем квадраты: $(11^2 + 2 \cdot 11 \cdot \sqrt{21} + (\sqrt{21})^2) + (11^2 - 2 \cdot 11 \cdot \sqrt{21} + (\sqrt{21})^2) = (121 + 22\sqrt{21} + 21) + (121 - 22\sqrt{21} + 21) = 142 + 22\sqrt{21} + 142 - 22\sqrt{21} = 284$.
Результат: $\frac{284}{100}$. Сократим дробь на 4: $\frac{284 \div 4}{100 \div 4} = \frac{71}{25}$.
Ответ: $\frac{71}{25}$.
Другие задания:
Помогло решение? Оставьте отзыв в комментариях ниже.
Мы подготовили для вас ответ c подробным объяснением домашего задания по алгебре за 8 класс, для упражнения номер 500 расположенного на странице 114 к учебнику 2019 - 2022 года издания для учащихся школ и гимназий.
Теперь на нашем сайте ГДЗ.ТОП вы всегда легко и бесплатно найдёте условие с правильным ответом на вопрос «Как решить ДЗ» и «Как сделать» задание по алгебре к упражнению №500 (с. 114), авторов: Макарычев (Юрий Николаевич), Миндюк (Нора Григорьевна), Нешков (Константин Иванович), Суворова (Светлана Борисовна), ФГОС (старый) учебного пособия издательства Просвещение.