Номер 505, страница 115 - гдз по алгебре 8 класс учебник Макарычев, Миндюк

Авторы: Макарычев Ю. Н., Миндюк Н. Г., Нешков К. И., Суворова С. Б.
Тип: Учебник
Издательство: Просвещение
Год издания: 2019 - 2022
Цвет обложки: белый, голубой, фиолетовый
ISBN: 978-5-09-087569-1
Допущено Министерством просвещения Российской Федерации
Популярные ГДЗ в 8 классе
К параграфу 7. Дополнительные упражнения к главе II. Глава 2. Квадратные корни - номер 505, страница 115.
№505 (с. 115)
Условие. №505 (с. 115)
скриншот условия

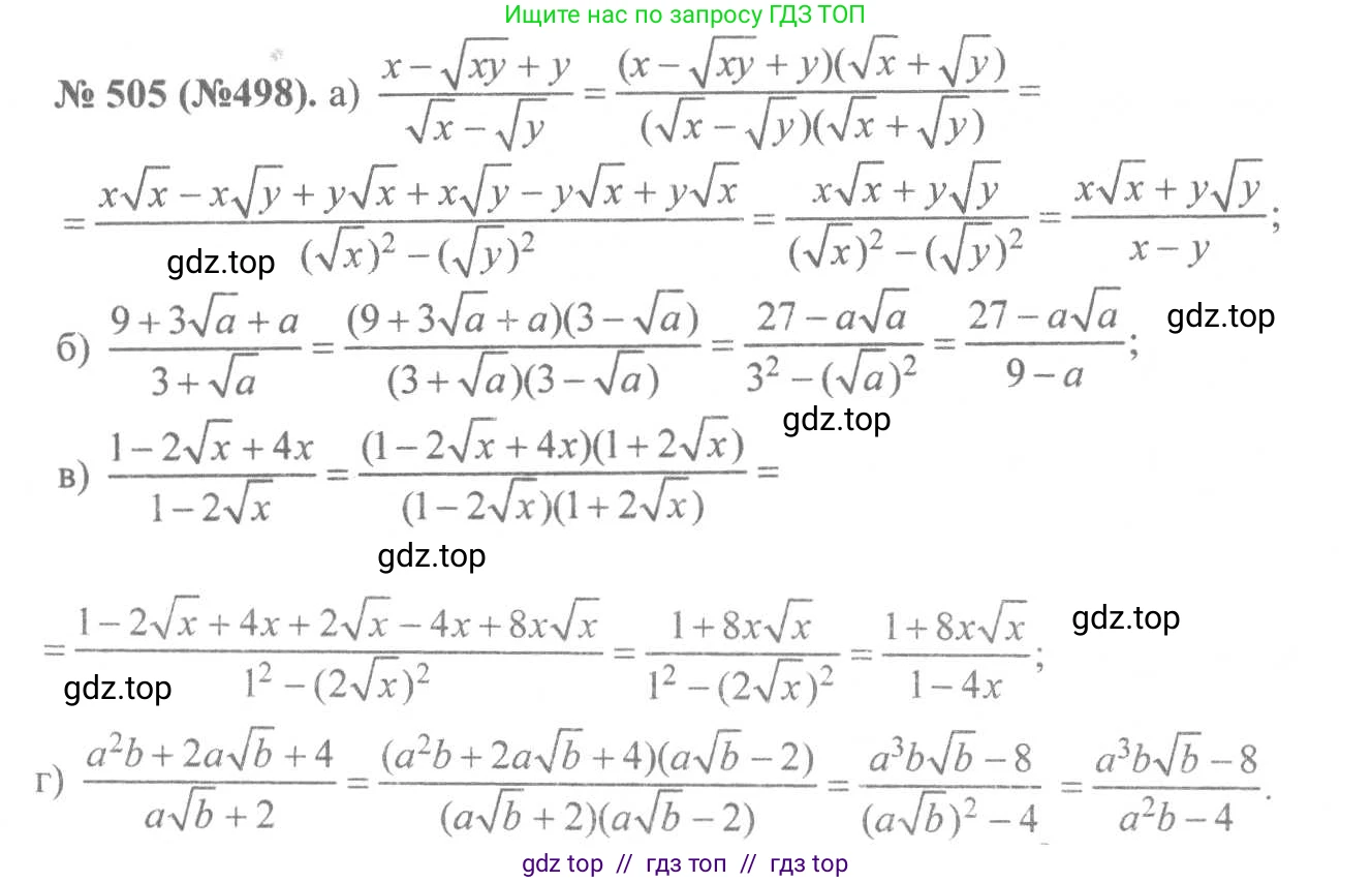
505. Освободитесь от иррациональности в знаменателе дроби:
а) $ \frac{x - \sqrt{xy} + y}{\sqrt{x} - \sqrt{y}} $;
б) $ \frac{9 + 3\sqrt{a} + a}{3 + \sqrt{a}} $;
в) $ \frac{1 - 2\sqrt{x} + 4x}{1 - 2\sqrt{x}} $;
г) $ \frac{a^2b + 2a\sqrt{b} + 4}{a\sqrt{b} + 2} $.
Решение 1. №505 (с. 115)




Решение 2. №505 (с. 115)

Решение 3. №505 (с. 115)

Решение 4. №505 (с. 115)

Решение 6. №505 (с. 115)

Решение 8. №505 (с. 115)
а) Чтобы освободиться от иррациональности в знаменателе дроби $\frac{x - \sqrt{xy} + y}{\sqrt{x} - \sqrt{y}}$, умножим числитель и знаменатель на сопряженное к знаменателю выражение $\sqrt{x} + \sqrt{y}$:
$\frac{x - \sqrt{xy} + y}{\sqrt{x} - \sqrt{y}} = \frac{(x - \sqrt{xy} + y)(\sqrt{x} + \sqrt{y})}{(\sqrt{x} - \sqrt{y})(\sqrt{x} + \sqrt{y})}$
Знаменатель преобразуется по формуле разности квадратов $(a-b)(a+b)=a^2-b^2$:
$(\sqrt{x} - \sqrt{y})(\sqrt{x} + \sqrt{y}) = (\sqrt{x})^2 - (\sqrt{y})^2 = x - y$.
Числитель является произведением неполного квадрата разности и суммы, что соответствует формуле суммы кубов $(a+b)(a^2-ab+b^2)=a^3+b^3$, где $a=\sqrt{x}$ и $b=\sqrt{y}$. Таким образом, числитель равен:
$(x - \sqrt{xy} + y)(\sqrt{x} + \sqrt{y}) = ((\sqrt{x})^2 - \sqrt{x}\sqrt{y} + (\sqrt{y})^2)(\sqrt{x} + \sqrt{y}) = (\sqrt{x})^3 + (\sqrt{y})^3 = x\sqrt{x} + y\sqrt{y}$.
В результате получаем дробь без иррациональности в знаменателе:
$\frac{x\sqrt{x} + y\sqrt{y}}{x - y}$.
Ответ: $\frac{x\sqrt{x} + y\sqrt{y}}{x - y}$
б) Чтобы освободиться от иррациональности в знаменателе дроби $\frac{9 + 3\sqrt{a} + a}{3 + \sqrt{a}}$, умножим числитель и знаменатель на сопряженное к знаменателю выражение $3 - \sqrt{a}$:
$\frac{9 + 3\sqrt{a} + a}{3 + \sqrt{a}} = \frac{(9 + 3\sqrt{a} + a)(3 - \sqrt{a})}{(3 + \sqrt{a})(3 - \sqrt{a})}$
Знаменатель преобразуется по формуле разности квадратов $(a+b)(a-b)=a^2-b^2$:
$(3 + \sqrt{a})(3 - \sqrt{a}) = 3^2 - (\sqrt{a})^2 = 9 - a$.
Числитель является произведением неполного квадрата суммы и разности, что соответствует формуле разности кубов $(a-b)(a^2+ab+b^2)=a^3-b^3$, где $a=3$ и $b=\sqrt{a}$. Таким образом, числитель равен:
$(9 + 3\sqrt{a} + a)(3 - \sqrt{a}) = (3^2 + 3\sqrt{a} + (\sqrt{a})^2)(3 - \sqrt{a}) = 3^3 - (\sqrt{a})^3 = 27 - a\sqrt{a}$.
В результате получаем дробь без иррациональности в знаменателе:
$\frac{27 - a\sqrt{a}}{9 - a}$.
Ответ: $\frac{27 - a\sqrt{a}}{9 - a}$
в) Чтобы освободиться от иррациональности в знаменателе дроби $\frac{1 - 2\sqrt{x} + 4x}{1 - 2\sqrt{x}}$, умножим числитель и знаменатель на сопряженное к знаменателю выражение $1 + 2\sqrt{x}$:
$\frac{1 - 2\sqrt{x} + 4x}{1 - 2\sqrt{x}} = \frac{(1 - 2\sqrt{x} + 4x)(1 + 2\sqrt{x})}{(1 - 2\sqrt{x})(1 + 2\sqrt{x})}$
Знаменатель преобразуется по формуле разности квадратов $(a-b)(a+b)=a^2-b^2$:
$(1 - 2\sqrt{x})(1 + 2\sqrt{x}) = 1^2 - (2\sqrt{x})^2 = 1 - 4x$.
Числитель является произведением неполного квадрата разности и суммы, что соответствует формуле суммы кубов $(a+b)(a^2-ab+b^2)=a^3+b^3$, где $a=1$ и $b=2\sqrt{x}$. Таким образом, числитель равен:
$(1 - 2\sqrt{x} + 4x)(1 + 2\sqrt{x}) = (1^2 - 1 \cdot 2\sqrt{x} + (2\sqrt{x})^2)(1 + 2\sqrt{x}) = 1^3 + (2\sqrt{x})^3 = 1 + 8x\sqrt{x}$.
В результате получаем дробь без иррациональности в знаменателе:
$\frac{1 + 8x\sqrt{x}}{1 - 4x}$.
Ответ: $\frac{1 + 8x\sqrt{x}}{1 - 4x}$
г) Чтобы освободиться от иррациональности в знаменателе дроби $\frac{a^2b + 2a\sqrt{b} + 4}{a\sqrt{b} + 2}$, умножим числитель и знаменатель на сопряженное к знаменателю выражение $a\sqrt{b} - 2$:
$\frac{a^2b + 2a\sqrt{b} + 4}{a\sqrt{b} + 2} = \frac{(a^2b + 2a\sqrt{b} + 4)(a\sqrt{b} - 2)}{(a\sqrt{b} + 2)(a\sqrt{b} - 2)}$
Знаменатель преобразуется по формуле разности квадратов $(a+b)(a-b)=a^2-b^2$:
$(a\sqrt{b} + 2)(a\sqrt{b} - 2) = (a\sqrt{b})^2 - 2^2 = a^2b - 4$.
Числитель является произведением неполного квадрата суммы и разности, что соответствует формуле разности кубов $(a-b)(a^2+ab+b^2)=a^3-b^3$, где $a=a\sqrt{b}$ и $b=2$. Таким образом, числитель равен:
$(a^2b + 2a\sqrt{b} + 4)(a\sqrt{b} - 2) = ((a\sqrt{b})^2 + a\sqrt{b} \cdot 2 + 2^2)(a\sqrt{b} - 2) = (a\sqrt{b})^3 - 2^3 = a^3b\sqrt{b} - 8$.
В результате получаем дробь без иррациональности в знаменателе:
$\frac{a^3b\sqrt{b} - 8}{a^2b - 4}$.
Ответ: $\frac{a^3b\sqrt{b} - 8}{a^2b - 4}$
Другие задания:
Помогло решение? Оставьте отзыв в комментариях ниже.
Мы подготовили для вас ответ c подробным объяснением домашего задания по алгебре за 8 класс, для упражнения номер 505 расположенного на странице 115 к учебнику 2019 - 2022 года издания для учащихся школ и гимназий.
Теперь на нашем сайте ГДЗ.ТОП вы всегда легко и бесплатно найдёте условие с правильным ответом на вопрос «Как решить ДЗ» и «Как сделать» задание по алгебре к упражнению №505 (с. 115), авторов: Макарычев (Юрий Николаевич), Миндюк (Нора Григорьевна), Нешков (Константин Иванович), Суворова (Светлана Борисовна), ФГОС (старый) учебного пособия издательства Просвещение.