Номер 386, страница 160 - гдз по алгебре 9 класс учебник Дорофеев, Суворова

Авторы: Дорофеев Г. В., Суворова С. Б., Бунимович Е. А., Кузнецова Л. В., Минаева С. С., Рослова Л. О.
Тип: Учебник
Издательство: Просвещение
Год издания: 2019 - 2025
Цвет обложки: белый, голубой, оранжевый
ISBN: 978-5-09-071890-5
Рекомендовано Министерством образования и науки Российской Федерации
Популярные ГДЗ в 9 классе
3.2. Целые уравнения. Глава 3. Уравнения и системы уравнений - номер 386, страница 160.
№386 (с. 160)
Условие. №386 (с. 160)
скриншот условия

Найдите корни уравнения (386–387).
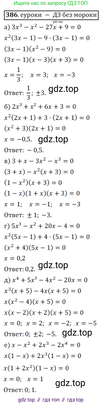
386 а) $3x^3 - x^2 - 27x + 9 = 0;$
б) $2x^3 + x^2 + 6x + 3 = 0;$
в) $3 + x - 3x^2 - x^3 = 0;$
г) $5x^3 - x^2 + 20x - 4 = 0;$
д) $x^4 + 5x^3 - 4x^2 - 20x = 0;$
е) $x - x^2 + 2x^3 - 2x^4 = 0.$
Решение 1. №386 (с. 160)






Решение 2. №386 (с. 160)



Решение 3. №386 (с. 160)

Решение 4. №386 (с. 160)
а) $3x^3 - x^2 - 27x + 9 = 0$
Для решения уравнения применим метод группировки. Сгруппируем первое и второе слагаемые, а также третье и четвертое:
$(3x^3 - x^2) + (-27x + 9) = 0$
Вынесем общий множитель из каждой группы:
$x^2(3x - 1) - 9(3x - 1) = 0$
Теперь вынесем общий множитель $(3x - 1)$ за скобки:
$(x^2 - 9)(3x - 1) = 0$
Первый множитель является разностью квадратов, разложим его по формуле $a^2 - b^2 = (a-b)(a+b)$:
$(x - 3)(x + 3)(3x - 1) = 0$
Произведение равно нулю, когда хотя бы один из множителей равен нулю. Приравняем каждый множитель к нулю:
$x - 3 = 0 \Rightarrow x_1 = 3$
$x + 3 = 0 \Rightarrow x_2 = -3$
$3x - 1 = 0 \Rightarrow 3x = 1 \Rightarrow x_3 = \frac{1}{3}$
Ответ: $-3; \frac{1}{3}; 3$.
б) $2x^3 + x^2 + 6x + 3 = 0$
Сгруппируем члены уравнения:
$(2x^3 + x^2) + (6x + 3) = 0$
Вынесем общие множители из каждой группы:
$x^2(2x + 1) + 3(2x + 1) = 0$
Вынесем общий множитель $(2x + 1)$ за скобки:
$(x^2 + 3)(2x + 1) = 0$
Приравняем каждый множитель к нулю:
1) $2x + 1 = 0 \Rightarrow 2x = -1 \Rightarrow x = -\frac{1}{2}$
2) $x^2 + 3 = 0 \Rightarrow x^2 = -3$. Это уравнение не имеет действительных корней, так как квадрат любого действительного числа неотрицателен.
Таким образом, уравнение имеет один действительный корень.
Ответ: $-\frac{1}{2}$.
в) $3 + x - 3x^2 - x^3 = 0$
Перепишем уравнение, упорядочив члены по убыванию степеней $x$ и умножим на $-1$:
$-x^3 - 3x^2 + x + 3 = 0$
$x^3 + 3x^2 - x - 3 = 0$
Сгруппируем члены уравнения:
$(x^3 + 3x^2) - (x + 3) = 0$
Вынесем общие множители из каждой группы:
$x^2(x + 3) - 1(x + 3) = 0$
Вынесем общий множитель $(x + 3)$ за скобки:
$(x^2 - 1)(x + 3) = 0$
Разложим первый множитель по формуле разности квадратов:
$(x - 1)(x + 1)(x + 3) = 0$
Приравняем каждый множитель к нулю:
$x - 1 = 0 \Rightarrow x_1 = 1$
$x + 1 = 0 \Rightarrow x_2 = -1$
$x + 3 = 0 \Rightarrow x_3 = -3$
Ответ: $-3; -1; 1$.
г) $5x^3 - x^2 + 20x - 4 = 0$
Сгруппируем члены уравнения:
$(5x^3 - x^2) + (20x - 4) = 0$
Вынесем общие множители из каждой группы:
$x^2(5x - 1) + 4(5x - 1) = 0$
Вынесем общий множитель $(5x - 1)$ за скобки:
$(x^2 + 4)(5x - 1) = 0$
Приравняем каждый множитель к нулю:
1) $5x - 1 = 0 \Rightarrow 5x = 1 \Rightarrow x = \frac{1}{5}$
2) $x^2 + 4 = 0 \Rightarrow x^2 = -4$. Это уравнение не имеет действительных корней.
Уравнение имеет один действительный корень.
Ответ: $\frac{1}{5}$.
д) $x^4 + 5x^3 - 4x^2 - 20x = 0$
Вынесем общий множитель $x$ за скобки:
$x(x^3 + 5x^2 - 4x - 20) = 0$
Отсюда следует, что либо $x_1 = 0$, либо $x^3 + 5x^2 - 4x - 20 = 0$.
Решим кубическое уравнение $x^3 + 5x^2 - 4x - 20 = 0$ методом группировки:
$(x^3 + 5x^2) - (4x + 20) = 0$
$x^2(x + 5) - 4(x + 5) = 0$
$(x^2 - 4)(x + 5) = 0$
$(x - 2)(x + 2)(x + 5) = 0$
Приравняем каждый множитель к нулю, чтобы найти остальные корни:
$x - 2 = 0 \Rightarrow x_2 = 2$
$x + 2 = 0 \Rightarrow x_3 = -2$
$x + 5 = 0 \Rightarrow x_4 = -5$
Ответ: $-5; -2; 0; 2$.
е) $x - x^2 + 2x^3 - 2x^4 = 0$
Перепишем уравнение, упорядочив члены по убыванию степеней $x$:
$-2x^4 + 2x^3 - x^2 + x = 0$
Вынесем общий множитель $-x$ за скобки:
$-x(2x^3 - 2x^2 + x - 1) = 0$
Отсюда следует, что либо $x_1 = 0$, либо $2x^3 - 2x^2 + x - 1 = 0$.
Решим кубическое уравнение $2x^3 - 2x^2 + x - 1 = 0$ методом группировки:
$(2x^3 - 2x^2) + (x - 1) = 0$
$2x^2(x - 1) + 1(x - 1) = 0$
$(2x^2 + 1)(x - 1) = 0$
Приравняем каждый множитель к нулю:
1) $x - 1 = 0 \Rightarrow x_2 = 1$
2) $2x^2 + 1 = 0 \Rightarrow 2x^2 = -1$. Это уравнение не имеет действительных корней.
Таким образом, у уравнения два действительных корня.
Ответ: $0; 1$.
Другие задания:
Помогло решение? Оставьте отзыв в комментариях ниже.
Мы подготовили для вас ответ c подробным объяснением домашего задания по алгебре за 9 класс, для упражнения номер 386 расположенного на странице 160 к учебнику 2019 года издания для учащихся школ и гимназий.
Теперь на нашем сайте ГДЗ.ТОП вы всегда легко и бесплатно найдёте условие с правильным ответом на вопрос «Как решить ДЗ» и «Как сделать» задание по алгебре к упражнению №386 (с. 160), авторов: Дорофеев (Георгий Владимирович), Суворова (Светлана Борисовна), Бунимович (Евгений Абрамович), Кузнецова (Людмила Викторовна), Минаева (Светлана Станиславовна), Рослова (Лариса Олеговна), ФГОС (старый) учебного пособия издательства Просвещение.