Номер 459, страница 186 - гдз по алгебре 9 класс учебник Дорофеев, Суворова

Авторы: Дорофеев Г. В., Суворова С. Б., Бунимович Е. А., Кузнецова Л. В., Минаева С. С., Рослова Л. О.
Тип: Учебник
Издательство: Просвещение
Год издания: 2019 - 2025
Цвет обложки: белый, голубой, оранжевый
ISBN: 978-5-09-071890-5
Рекомендовано Министерством образования и науки Российской Федерации
Популярные ГДЗ в 9 классе
3.5. Системы уравнений с двумя переменными. Глава 3. Уравнения и системы уравнений - номер 459, страница 186.
№459 (с. 186)
Условие. №459 (с. 186)
скриншот условия

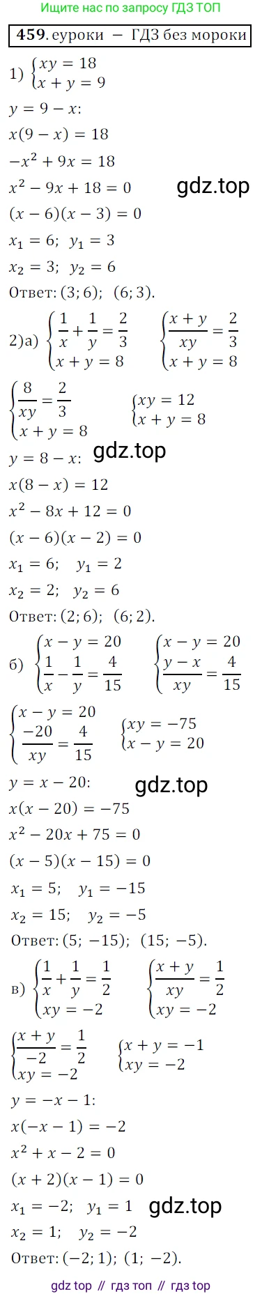
459 1) Разберите начало решения системы уравнений
$\begin{cases} \frac{1}{x} + \frac{1}{y} = \frac{1}{2} \\ x + y = 9. \end{cases}$
Решение.
Представим левую часть первого уравнения в виде дроби:
$\begin{cases} \frac{x+y}{xy} = \frac{1}{2} \\ x + y = 9; \end{cases}$
подставим в первое уравнение системы значение $x + y$:
$\begin{cases} \frac{9}{xy} = \frac{1}{2} \\ x + y = 9; \end{cases}$
преобразуем первое уравнение с помощью основного свойства пропорции:
$\begin{cases} xy = 18 \\ x + y = 9. \end{cases}$
Далее воспользуемся способом подстановки. Доведите решение системы до конца.
2) Решите систему уравнений:
а) $\begin{cases} \frac{1}{x} + \frac{1}{y} = \frac{2}{3} \\ x + y = 8; \end{cases}$
б) $\begin{cases} x - y = 20 \\ \frac{1}{x} - \frac{1}{y} = \frac{4}{15}, \end{cases}$
в) $\begin{cases} \frac{1}{x} + \frac{1}{y} = \frac{1}{2} \\ xy = -2. \end{cases}$
Решение 1. №459 (с. 186)




Решение 2. №459 (с. 186)



Решение 3. №459 (с. 186)

Решение 4. №459 (с. 186)
1)
В задаче было показано, как исходная система уравнений $$ \begin{cases} \frac{1}{x} + \frac{1}{y} = \frac{1}{2} \\ x+y=9 \end{cases} $$ преобразуется к более простому виду: $$ \begin{cases} xy = 18 \\ x+y=9 \end{cases} $$ Для завершения решения воспользуемся методом подстановки, как предложено в условии.
Из второго уравнения выразим y через x: $ y = 9 - x $
Подставим это выражение в первое уравнение: $ x(9-x) = 18 $
Раскроем скобки и преобразуем уравнение: $ 9x - x^2 = 18 $
$ x^2 - 9x + 18 = 0 $
Это квадратное уравнение. Найдем его корни по теореме Виета или через дискриминант. Корнями являются числа, сумма которых равна 9, а произведение равно 18. Это числа 3 и 6.
Таким образом, $x_1 = 3$, $x_2 = 6$.
Теперь найдем соответствующие значения y:
Если $x_1 = 3$, то $y_1 = 9 - 3 = 6$.
Если $x_2 = 6$, то $y_2 = 9 - 6 = 3$.
Система имеет два решения.
Ответ: (3; 6), (6; 3).
2)
а)
Дана система уравнений: $$ \begin{cases} \frac{1}{x} + \frac{1}{y} = \frac{2}{3} \\ x+y=8 \end{cases} $$ Преобразуем первое уравнение, приведя левую часть к общему знаменателю: $ \frac{x+y}{xy} = \frac{2}{3} $
Из второго уравнения системы известно, что $x+y=8$. Подставим это значение в преобразованное первое уравнение: $ \frac{8}{xy} = \frac{2}{3} $
Используя основное свойство пропорции, получим: $ 2 \cdot xy = 8 \cdot 3 $
$ 2xy = 24 $
$ xy = 12 $
Теперь решаем систему: $$ \begin{cases} xy = 12 \\ x+y=8 \end{cases} $$ Из второго уравнения выразим $ y = 8 - x $ и подставим в первое: $ x(8-x) = 12 $
$ 8x - x^2 = 12 $
$ x^2 - 8x + 12 = 0 $
Корни этого квадратного уравнения: $x_1 = 2$, $x_2 = 6$.
Найдем соответствующие значения y:
Если $x_1 = 2$, то $y_1 = 8 - 2 = 6$.
Если $x_2 = 6$, то $y_2 = 8 - 6 = 2$.
Ответ: (2; 6), (6; 2).
б)
Дана система уравнений: $$ \begin{cases} x - y = 20 \\ \frac{1}{x} - \frac{1}{y} = \frac{4}{15} \end{cases} $$ Преобразуем второе уравнение, приведя левую часть к общему знаменателю: $ \frac{y-x}{xy} = \frac{4}{15} $
Из первого уравнения системы $x-y=20$, следовательно, $y-x = -(x-y) = -20$.
Подставим это значение в преобразованное второе уравнение: $ \frac{-20}{xy} = \frac{4}{15} $
Используя основное свойство пропорции, получим: $ 4 \cdot xy = -20 \cdot 15 $
$ 4xy = -300 $
$ xy = -75 $
Теперь решаем систему: $$ \begin{cases} x-y = 20 \\ xy = -75 \end{cases} $$ Из первого уравнения выразим $ x = 20 + y $ и подставим во второе: $ (20+y)y = -75 $
$ 20y + y^2 = -75 $
$ y^2 + 20y + 75 = 0 $
Решим это квадратное уравнение. Дискриминант $ D = b^2 - 4ac = 20^2 - 4 \cdot 1 \cdot 75 = 400 - 300 = 100 $.
Корни для y: $ y_1 = \frac{-20 + \sqrt{100}}{2} = \frac{-20+10}{2} = -5 $
$ y_2 = \frac{-20 - \sqrt{100}}{2} = \frac{-20-10}{2} = -15 $
Найдем соответствующие значения x:
Если $y_1 = -5$, то $x_1 = 20 + (-5) = 15$.
Если $y_2 = -15$, то $x_2 = 20 + (-15) = 5$.
Ответ: (15; -5), (5; -15).
в)
Дана система уравнений: $$ \begin{cases} \frac{1}{x} + \frac{1}{y} = \frac{1}{2} \\ xy = -2 \end{cases} $$ Преобразуем первое уравнение, приведя левую часть к общему знаменателю: $ \frac{x+y}{xy} = \frac{1}{2} $
Из второго уравнения системы известно, что $xy=-2$. Подставим это значение в преобразованное первое уравнение: $ \frac{x+y}{-2} = \frac{1}{2} $
Умножим обе части уравнения на -2: $ x+y = -1 $
Теперь решаем систему: $$ \begin{cases} x+y = -1 \\ xy = -2 \end{cases} $$ По обратной теореме Виета, x и y являются корнями квадратного уравнения $t^2 - (x+y)t + xy = 0$.
$ t^2 - (-1)t + (-2) = 0 $
$ t^2 + t - 2 = 0 $
Корни этого уравнения: $t_1 = 1$, $t_2 = -2$.
Это означает, что переменные x и y принимают эти значения в парах.
Если $x=1$, то $y=-2$.
Если $x=-2$, то $y=1$.
Ответ: (1; -2), (-2; 1).
Другие задания:
Помогло решение? Оставьте отзыв в комментариях ниже.
Мы подготовили для вас ответ c подробным объяснением домашего задания по алгебре за 9 класс, для упражнения номер 459 расположенного на странице 186 к учебнику 2019 года издания для учащихся школ и гимназий.
Теперь на нашем сайте ГДЗ.ТОП вы всегда легко и бесплатно найдёте условие с правильным ответом на вопрос «Как решить ДЗ» и «Как сделать» задание по алгебре к упражнению №459 (с. 186), авторов: Дорофеев (Георгий Владимирович), Суворова (Светлана Борисовна), Бунимович (Евгений Абрамович), Кузнецова (Людмила Викторовна), Минаева (Светлана Станиславовна), Рослова (Лариса Олеговна), ФГОС (старый) учебного пособия издательства Просвещение.