Номер 1006, страница 261 - гдз по алгебре 9 класс учебник Солтан, Солтан

Авторы: Солтан Г. Н., Солтан А. Е., Жумадилова А. Ж.
Тип: Учебник
Издательство: Кокшетау
Год издания: 2019 - 2025
Цвет обложки:
ISBN: 978-601-317-424-2
Рекомендовано Министерством образования и науки Республики Казахстан
Популярные ГДЗ в 9 классе
Тригонометрия. Повторение курса алгебры 7-9 классов - номер 1006, страница 261.
№1006 (с. 261)
Условие. №1006 (с. 261)
скриншот условия

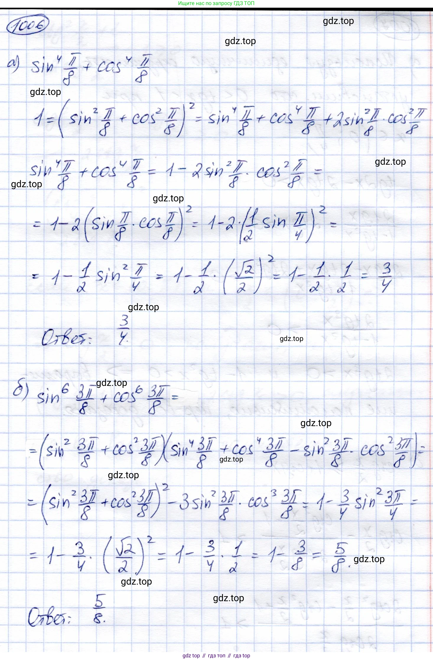
1006. Не используя таблицу значений тригонометрических функций, вычислите:
a) $\sin^4 \frac{\pi}{8} + \cos^4 \frac{\pi}{8}$
б) $\sin^6 \frac{3\pi}{8} + \cos^6 \frac{3\pi}{8}$
Решение. №1006 (с. 261)

Решение 2 (rus). №1006 (с. 261)
а) Для вычисления значения выражения $\sin^4\frac{\pi}{8} + \cos^4\frac{\pi}{8}$ воспользуемся следующим преобразованием. Используем тождество $a^4+b^4 = (a^2+b^2)^2 - 2a^2b^2$.
Пусть $a = \sin\frac{\pi}{8}$ и $b = \cos\frac{\pi}{8}$. Тогда:
$\sin^4\frac{\pi}{8} + \cos^4\frac{\pi}{8} = (\sin^2\frac{\pi}{8} + \cos^2\frac{\pi}{8})^2 - 2\sin^2\frac{\pi}{8}\cos^2\frac{\pi}{8}$
Применяя основное тригонометрическое тождество $\sin^2\alpha + \cos^2\alpha = 1$, получаем:
$1^2 - 2(\sin\frac{\pi}{8}\cos\frac{\pi}{8})^2 = 1 - 2(\sin\frac{\pi}{8}\cos\frac{\pi}{8})^2$
Далее используем формулу синуса двойного угла $\sin(2\alpha) = 2\sin\alpha\cos\alpha$, из которой следует, что $\sin\alpha\cos\alpha = \frac{1}{2}\sin(2\alpha)$.
Для $\alpha = \frac{\pi}{8}$ имеем $2\alpha = 2 \cdot \frac{\pi}{8} = \frac{\pi}{4}$.
Подставим это в наше выражение:
$1 - 2\left(\frac{1}{2}\sin\frac{\pi}{4}\right)^2 = 1 - 2\left(\frac{1}{4}\sin^2\frac{\pi}{4}\right) = 1 - \frac{1}{2}\sin^2\frac{\pi}{4}$
Мы знаем, что значение $\sin\frac{\pi}{4} = \frac{\sqrt{2}}{2}$.
Тогда $\sin^2\frac{\pi}{4} = \left(\frac{\sqrt{2}}{2}\right)^2 = \frac{2}{4} = \frac{1}{2}$.
Выполним финальное вычисление:
$1 - \frac{1}{2} \cdot \frac{1}{2} = 1 - \frac{1}{4} = \frac{3}{4}$.
Ответ: $\frac{3}{4}$
б) Для вычисления значения выражения $\sin^6\frac{3\pi}{8} + \cos^6\frac{3\pi}{8}$ воспользуемся формулой суммы кубов: $a^3+b^3 = (a+b)(a^2-ab+b^2)$.
Пусть $a = \sin^2\frac{3\pi}{8}$ и $b = \cos^2\frac{3\pi}{8}$.
$\sin^6\frac{3\pi}{8} + \cos^6\frac{3\pi}{8} = (\sin^2\frac{3\pi}{8})^3 + (\cos^2\frac{3\pi}{8})^3 = (\sin^2\frac{3\pi}{8} + \cos^2\frac{3\pi}{8})(\sin^4\frac{3\pi}{8} - \sin^2\frac{3\pi}{8}\cos^2\frac{3\pi}{8} + \cos^4\frac{3\pi}{8})$
Так как $\sin^2\alpha + \cos^2\alpha = 1$, выражение упрощается:
$1 \cdot (\sin^4\frac{3\pi}{8} + \cos^4\frac{3\pi}{8} - \sin^2\frac{3\pi}{8}\cos^2\frac{3\pi}{8})$
Из решения пункта а) мы знаем, что $\sin^4\alpha + \cos^4\alpha = 1 - 2\sin^2\alpha\cos^2\alpha$. Применим это:
$(1 - 2\sin^2\frac{3\pi}{8}\cos^2\frac{3\pi}{8}) - \sin^2\frac{3\pi}{8}\cos^2\frac{3\pi}{8} = 1 - 3\sin^2\frac{3\pi}{8}\cos^2\frac{3\pi}{8}$
Используем формулу синуса двойного угла, возведенную в квадрат: $(\sin\alpha\cos\alpha)^2 = \left(\frac{1}{2}\sin(2\alpha)\right)^2 = \frac{1}{4}\sin^2(2\alpha)$.
Для $\alpha = \frac{3\pi}{8}$ получаем $2\alpha = 2 \cdot \frac{3\pi}{8} = \frac{3\pi}{4}$.
Подставим в выражение:
$1 - 3 \cdot \frac{1}{4}\sin^2\frac{3\pi}{4} = 1 - \frac{3}{4}\sin^2\frac{3\pi}{4}$
Значение $\sin\frac{3\pi}{4} = \sin(\pi - \frac{\pi}{4}) = \sin\frac{\pi}{4} = \frac{\sqrt{2}}{2}$.
Тогда $\sin^2\frac{3\pi}{4} = \left(\frac{\sqrt{2}}{2}\right)^2 = \frac{2}{4} = \frac{1}{2}$.
Выполним финальное вычисление:
$1 - \frac{3}{4} \cdot \frac{1}{2} = 1 - \frac{3}{8} = \frac{5}{8}$.
Ответ: $\frac{5}{8}$
Другие задания:
Помогло решение? Оставьте отзыв в комментариях ниже.
Присоединяйтесь к Телеграм-группе @top_gdz
ПрисоединитьсяМы подготовили для вас ответ c подробным объяснением домашего задания по алгебре за 9 класс, для упражнения номер 1006 расположенного на странице 261 к учебнику 2019 года издания для учащихся школ и гимназий.
Теперь на нашем сайте ГДЗ.ТОП вы всегда легко и бесплатно найдёте условие с правильным ответом на вопрос «Как решить ДЗ» и «Как сделать» задание по алгебре к упражнению №1006 (с. 261), авторов: Солтан (Генадий Николаевич), Солтан (Алла Евгеньевна), Жумадилова (Аманбала Жумадиловна), учебного пособия издательства Кокшетау.