Номер 101, страница 33 - гдз по алгебре 9 класс учебник Солтан, Солтан

Авторы: Солтан Г. Н., Солтан А. Е., Жумадилова А. Ж.
Тип: Учебник
Издательство: Кокшетау
Год издания: 2019 - 2025
Цвет обложки:
ISBN: 978-601-317-424-2
Рекомендовано Министерством образования и науки Республики Казахстан
Популярные ГДЗ в 9 классе
2. Системы нелинейных уравнений с двумя переменными. I. Уравнения, неравенства с двумя переменными и их системы - номер 101, страница 33.
№101 (с. 33)
Условие. №101 (с. 33)
скриншот условия

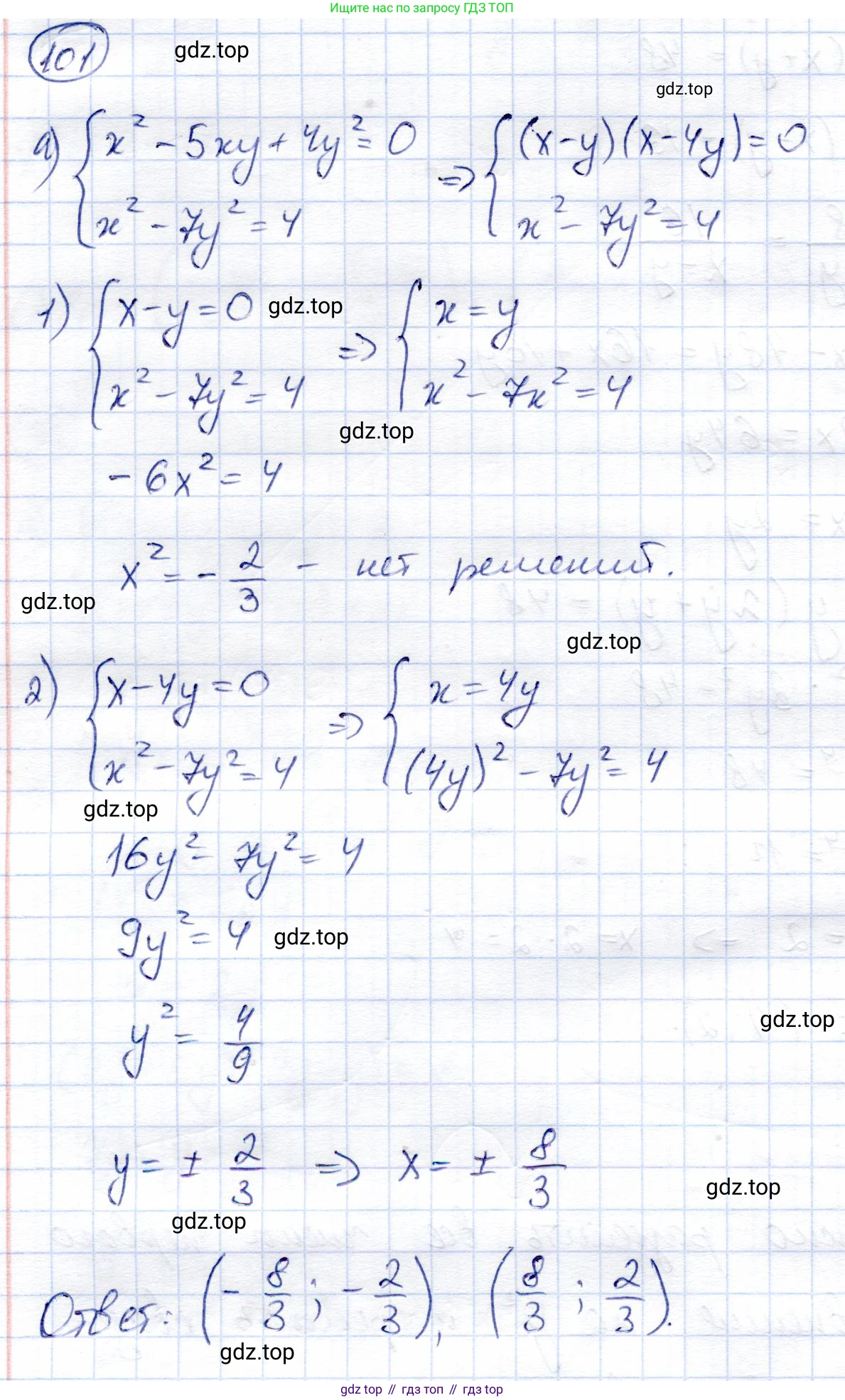
101. Решите систему уравнений:
a) $\begin{cases} x^2 - 5xy + 4y^2 = 0, \\ x^2 - 7y^2 = 4; \end{cases}$
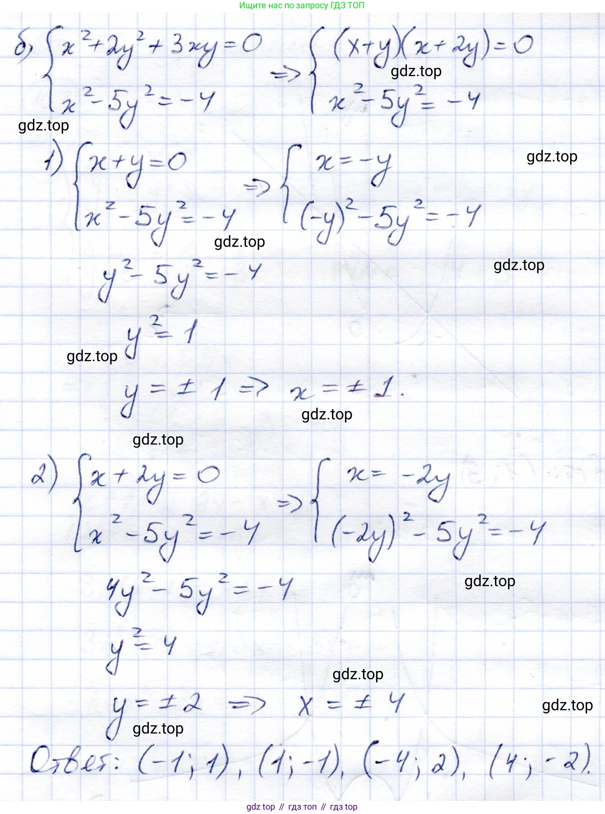
б) $\begin{cases} x^2 + 2y^2 + 3xy = 0, \\ x^2 - 5y^2 = -4. \end{cases}$
Решение. №101 (с. 33)


Решение 2 (rus). №101 (с. 33)
а)
Дана система уравнений:
$$ \begin{cases} x^2 - 5xy + 4y^2 = 0 \\ x^2 - 7y^2 = 4 \end{cases} $$
Первое уравнение $x^2 - 5xy + 4y^2 = 0$ является однородным. Заметим, что пара $(0; 0)$ не является решением второго уравнения, так как $0^2 - 7 \cdot 0^2 = 0 \neq 4$. Следовательно, $y \neq 0$. Мы можем разделить первое уравнение на $y^2$:
$$ \frac{x^2}{y^2} - \frac{5xy}{y^2} + \frac{4y^2}{y^2} = 0 $$
$$ (\frac{x}{y})^2 - 5(\frac{x}{y}) + 4 = 0 $$
Сделаем замену $t = \frac{x}{y}$. Получим квадратное уравнение:
$$ t^2 - 5t + 4 = 0 $$
По теореме Виета, сумма корней равна 5, а их произведение равно 4. Следовательно, корни уравнения: $t_1 = 1$ и $t_2 = 4$. Возвращаемся к исходным переменным:
1. $\frac{x}{y} = 1 \implies x = y$.
2. $\frac{x}{y} = 4 \implies x = 4y$.
Теперь подставим поочередно эти выражения во второе уравнение системы $x^2 - 7y^2 = 4$.
Случай 1: $x = y$.
Подставляем $x=y$ во второе уравнение:
$$ (y)^2 - 7y^2 = 4 $$
$$ -6y^2 = 4 $$
$$ y^2 = -\frac{4}{6} = -\frac{2}{3} $$
Это уравнение не имеет действительных решений, так как квадрат действительного числа не может быть отрицательным.
Случай 2: $x = 4y$.
Подставляем $x=4y$ во второе уравнение:
$$ (4y)^2 - 7y^2 = 4 $$
$$ 16y^2 - 7y^2 = 4 $$
$$ 9y^2 = 4 $$
$$ y^2 = \frac{4}{9} \implies y = \pm\frac{2}{3} $$
Если $y_1 = \frac{2}{3}$, то $x_1 = 4y_1 = 4 \cdot \frac{2}{3} = \frac{8}{3}$.
Если $y_2 = -\frac{2}{3}$, то $x_2 = 4y_2 = 4 \cdot (-\frac{2}{3}) = -\frac{8}{3}$.
Таким образом, система имеет два решения.
Ответ: $(\frac{8}{3}; \frac{2}{3}), (-\frac{8}{3}; -\frac{2}{3})$.
б)
Дана система уравнений:
$$ \begin{cases} x^2 + 2y^2 + 3xy = 0 \\ x^2 - 5y^2 = -4 \end{cases} $$
Перепишем первое уравнение в стандартном виде: $x^2 + 3xy + 2y^2 = 0$. Это однородное уравнение. Заметим, что пара $(0; 0)$ не является решением второго уравнения ($0^2 - 5 \cdot 0^2 = 0 \neq -4$), поэтому можно считать, что $y \neq 0$. Разделим первое уравнение на $y^2$:
$$ (\frac{x}{y})^2 + 3(\frac{x}{y}) + 2 = 0 $$
Сделаем замену $t = \frac{x}{y}$. Получим квадратное уравнение:
$$ t^2 + 3t + 2 = 0 $$
По теореме Виета, сумма корней равна -3, а их произведение равно 2. Следовательно, корни уравнения: $t_1 = -1$ и $t_2 = -2$. Возвращаемся к исходным переменным:
1. $\frac{x}{y} = -1 \implies x = -y$.
2. $\frac{x}{y} = -2 \implies x = -2y$.
Подставим эти выражения во второе уравнение системы $x^2 - 5y^2 = -4$.
Случай 1: $x = -y$.
$$ (-y)^2 - 5y^2 = -4 $$
$$ y^2 - 5y^2 = -4 $$
$$ -4y^2 = -4 $$
$$ y^2 = 1 \implies y = \pm 1 $$
Если $y_1 = 1$, то $x_1 = -y_1 = -1$. Получаем решение $(-1; 1)$.
Если $y_2 = -1$, то $x_2 = -y_2 = -(-1) = 1$. Получаем решение $(1; -1)$.
Случай 2: $x = -2y$.
$$ (-2y)^2 - 5y^2 = -4 $$
$$ 4y^2 - 5y^2 = -4 $$
$$ -y^2 = -4 $$
$$ y^2 = 4 \implies y = \pm 2 $$
Если $y_3 = 2$, то $x_3 = -2y_3 = -2 \cdot 2 = -4$. Получаем решение $(-4; 2)$.
Если $y_4 = -2$, то $x_4 = -2y_4 = -2 \cdot (-2) = 4$. Получаем решение $(4; -2)$.
Таким образом, система имеет четыре решения.
Ответ: $(-1; 1), (1; -1), (-4; 2), (4; -2)$.
Другие задания:
Помогло решение? Оставьте отзыв в комментариях ниже.
Присоединяйтесь к Телеграм-группе @top_gdz
ПрисоединитьсяМы подготовили для вас ответ c подробным объяснением домашего задания по алгебре за 9 класс, для упражнения номер 101 расположенного на странице 33 к учебнику 2019 года издания для учащихся школ и гимназий.
Теперь на нашем сайте ГДЗ.ТОП вы всегда легко и бесплатно найдёте условие с правильным ответом на вопрос «Как решить ДЗ» и «Как сделать» задание по алгебре к упражнению №101 (с. 33), авторов: Солтан (Генадий Николаевич), Солтан (Алла Евгеньевна), Жумадилова (Аманбала Жумадиловна), учебного пособия издательства Кокшетау.