Номер 94, страница 32 - гдз по алгебре 9 класс учебник Солтан, Солтан

Авторы: Солтан Г. Н., Солтан А. Е., Жумадилова А. Ж.
Тип: Учебник
Издательство: Кокшетау
Год издания: 2019 - 2025
Цвет обложки:
ISBN: 978-601-317-424-2
Рекомендовано Министерством образования и науки Республики Казахстан
Популярные ГДЗ в 9 классе
2. Системы нелинейных уравнений с двумя переменными. I. Уравнения, неравенства с двумя переменными и их системы - номер 94, страница 32.
№94 (с. 32)
Условие. №94 (с. 32)
скриншот условия

94. Найдите все пары (x; y) чисел, являющиеся решениями системы уравнений:
а) $\begin{cases} x + y = 2a, \\ xy = -3a^2, \end{cases}$ где $a \in R;$
б) $\begin{cases} x + y = a, \\ y^2 + 2x = a^2, \end{cases}$ где $a \in R;$
в) $\begin{cases} x^2 - y^2 = 0, \\ x^2 - xy + y^2 = 3; \end{cases}$
г) $\begin{cases} y^2 = (2x + 1)^2, \\ 4x^2 + y^2 - 3xy = 1. \end{cases}$
Решение. №94 (с. 32)



Решение 2 (rus). №94 (с. 32)
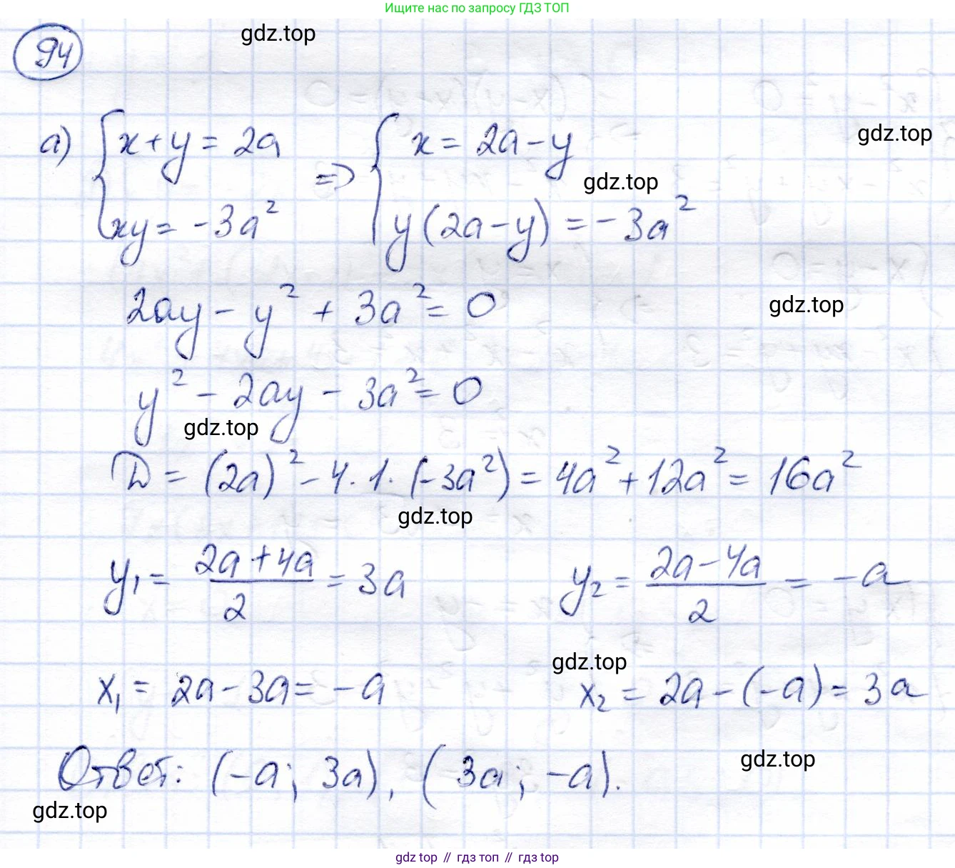
а) Дана система уравнений:$\begin{cases}x + y = 2a, \\xy = -3a^2.\end{cases}$
Согласно обратной теореме Виета, числа $x$ и $y$ являются корнями квадратного уравнения $t^2 - (x+y)t + xy = 0$.
Подставим в это уравнение выражения из системы:
$t^2 - (2a)t + (-3a^2) = 0$
$t^2 - 2at - 3a^2 = 0$
Решим это квадратное уравнение относительно $t$. Найдем дискриминант:
$D = (-2a)^2 - 4 \cdot 1 \cdot (-3a^2) = 4a^2 + 12a^2 = 16a^2 = (4a)^2$.
Корни уравнения:
$t_1 = \frac{2a - 4a}{2} = \frac{-2a}{2} = -a$
$t_2 = \frac{2a + 4a}{2} = \frac{6a}{2} = 3a$
Пары решений $(x; y)$ — это все возможные комбинации найденных корней.
Ответ: $(3a; -a), (-a; 3a)$.
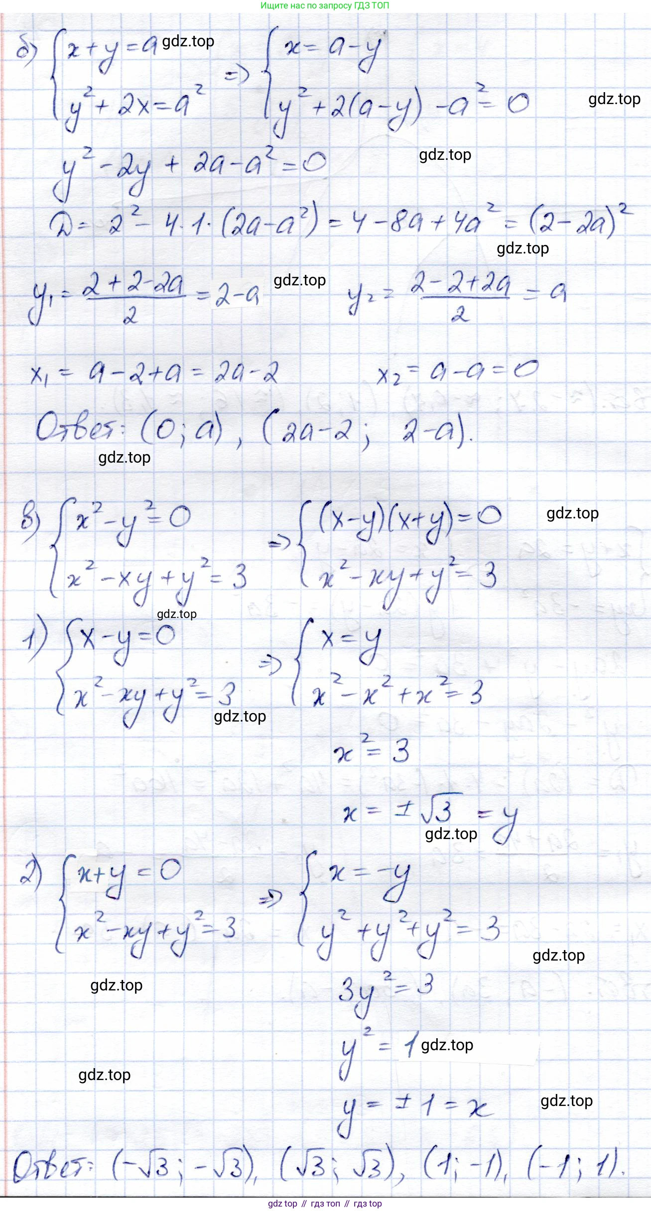
б) Дана система уравнений:$\begin{cases}x + y = a, \\y^2 + 2x = a^2.\end{cases}$
Из первого уравнения выразим $y$ через $x$: $y = a - x$.
Подставим это выражение во второе уравнение системы:
$(a - x)^2 + 2x = a^2$
$a^2 - 2ax + x^2 + 2x = a^2$
$x^2 - 2ax + 2x = 0$
Вынесем $x$ за скобки:
$x(x - 2a + 2) = 0$
Это уравнение имеет два решения для $x$:
1) $x_1 = 0$. Тогда $y_1 = a - x_1 = a - 0 = a$. Получаем пару $(0; a)$.
2) $x - 2a + 2 = 0$, откуда $x_2 = 2a - 2$. Тогда $y_2 = a - x_2 = a - (2a - 2) = a - 2a + 2 = 2 - a$. Получаем пару $(2a - 2; 2 - a)$.
Ответ: $(0; a), (2a-2; 2-a)$.
в) Дана система уравнений:$\begin{cases}x^2 - y^2 = 0, \\x^2 - xy + y^2 = 3.\end{cases}$
Из первого уравнения $x^2 - y^2 = 0$ следует, что $(x - y)(x + y) = 0$.
Отсюда получаем два случая:
1) $x - y = 0 \implies x = y$.
Подставим $x = y$ во второе уравнение:
$y^2 - y \cdot y + y^2 = 3$
$y^2 = 3$, откуда $y = \sqrt{3}$ или $y = -\sqrt{3}$.
Так как $x=y$, получаем две пары решений: $(\sqrt{3}; \sqrt{3})$ и $(-\sqrt{3}; -\sqrt{3})$.
2) $x + y = 0 \implies x = -y$.
Подставим $x = -y$ во второе уравнение:
$(-y)^2 - (-y)y + y^2 = 3$
$y^2 + y^2 + y^2 = 3$
$3y^2 = 3$, откуда $y^2 = 1$, то есть $y = 1$ или $y = -1$.
Если $y = 1$, то $x = -1$. Получаем пару $(-1; 1)$.
Если $y = -1$, то $x = 1$. Получаем пару $(1; -1)$.
Ответ: $(\sqrt{3}; \sqrt{3}), (-\sqrt{3}; -\sqrt{3}), (-1; 1), (1; -1)$.
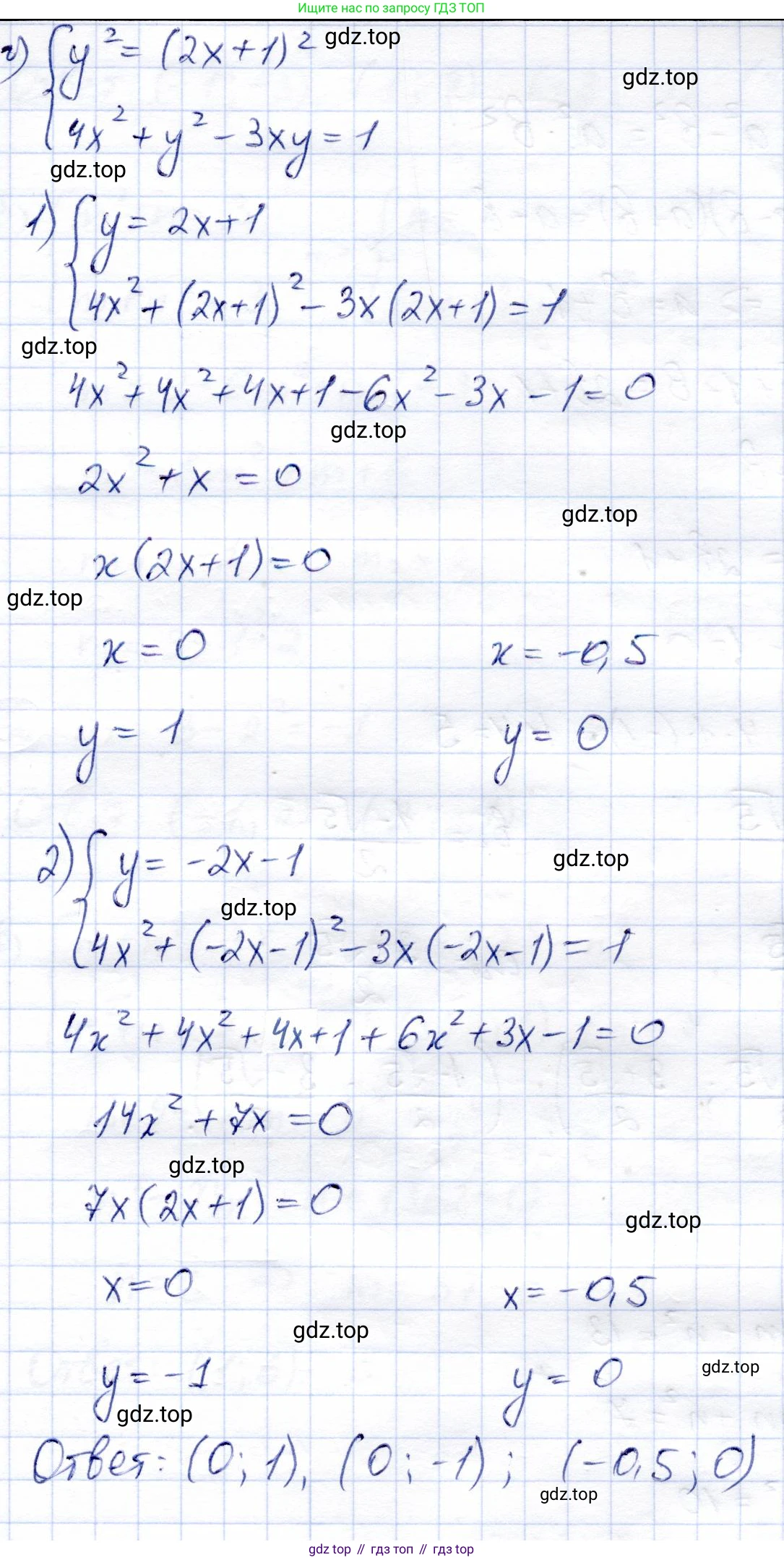
г) Дана система уравнений:$\begin{cases}y^2 = (2x + 1)^2, \\4x^2 + y^2 - 3xy = 1.\end{cases}$
Из первого уравнения следует, что $y = 2x + 1$ или $y = -(2x + 1)$. Рассмотрим оба случая.
1) $y = 2x + 1$.
Подставим это выражение во второе уравнение:
$4x^2 + (2x+1)^2 - 3x(2x+1) = 1$
$4x^2 + (4x^2 + 4x + 1) - (6x^2 + 3x) = 1$
$4x^2 + 4x^2 + 4x + 1 - 6x^2 - 3x - 1 = 0$
$2x^2 + x = 0$
$x(2x + 1) = 0$
Отсюда $x_1 = 0$ или $x_2 = -1/2$.
Если $x_1 = 0$, то $y_1 = 2(0) + 1 = 1$. Пара $(0; 1)$.
Если $x_2 = -1/2$, то $y_2 = 2(-1/2) + 1 = 0$. Пара $(-1/2; 0)$.
2) $y = -(2x + 1) = -2x - 1$.
Подставим это выражение во второе уравнение:
$4x^2 + (-2x - 1)^2 - 3x(-2x - 1) = 1$
$4x^2 + (4x^2 + 4x + 1) + (6x^2 + 3x) = 1$
$4x^2 + 4x^2 + 4x + 1 + 6x^2 + 3x - 1 = 0$
$14x^2 + 7x = 0$
$7x(2x + 1) = 0$
Отсюда $x_3 = 0$ или $x_4 = -1/2$.
Если $x_3 = 0$, то $y_3 = -2(0) - 1 = -1$. Пара $(0; -1)$.
Если $x_4 = -1/2$, то $y_4 = -2(-1/2) - 1 = 0$. Пара $(-1/2; 0)$, которая уже была найдена.
Ответ: $(0; 1), (-1/2; 0), (0; -1)$.
Другие задания:
Помогло решение? Оставьте отзыв в комментариях ниже.
Присоединяйтесь к Телеграм-группе @top_gdz
ПрисоединитьсяМы подготовили для вас ответ c подробным объяснением домашего задания по алгебре за 9 класс, для упражнения номер 94 расположенного на странице 32 к учебнику 2019 года издания для учащихся школ и гимназий.
Теперь на нашем сайте ГДЗ.ТОП вы всегда легко и бесплатно найдёте условие с правильным ответом на вопрос «Как решить ДЗ» и «Как сделать» задание по алгебре к упражнению №94 (с. 32), авторов: Солтан (Генадий Николаевич), Солтан (Алла Евгеньевна), Жумадилова (Аманбала Жумадиловна), учебного пособия издательства Кокшетау.