Номер 92, страница 32 - гдз по алгебре 9 класс учебник Солтан, Солтан

Авторы: Солтан Г. Н., Солтан А. Е., Жумадилова А. Ж.
Тип: Учебник
Издательство: Кокшетау
Год издания: 2019 - 2025
Цвет обложки:
ISBN: 978-601-317-424-2
Рекомендовано Министерством образования и науки Республики Казахстан
Популярные ГДЗ в 9 классе
2. Системы нелинейных уравнений с двумя переменными. I. Уравнения, неравенства с двумя переменными и их системы - номер 92, страница 32.
№92 (с. 32)
Условие. №92 (с. 32)
скриншот условия

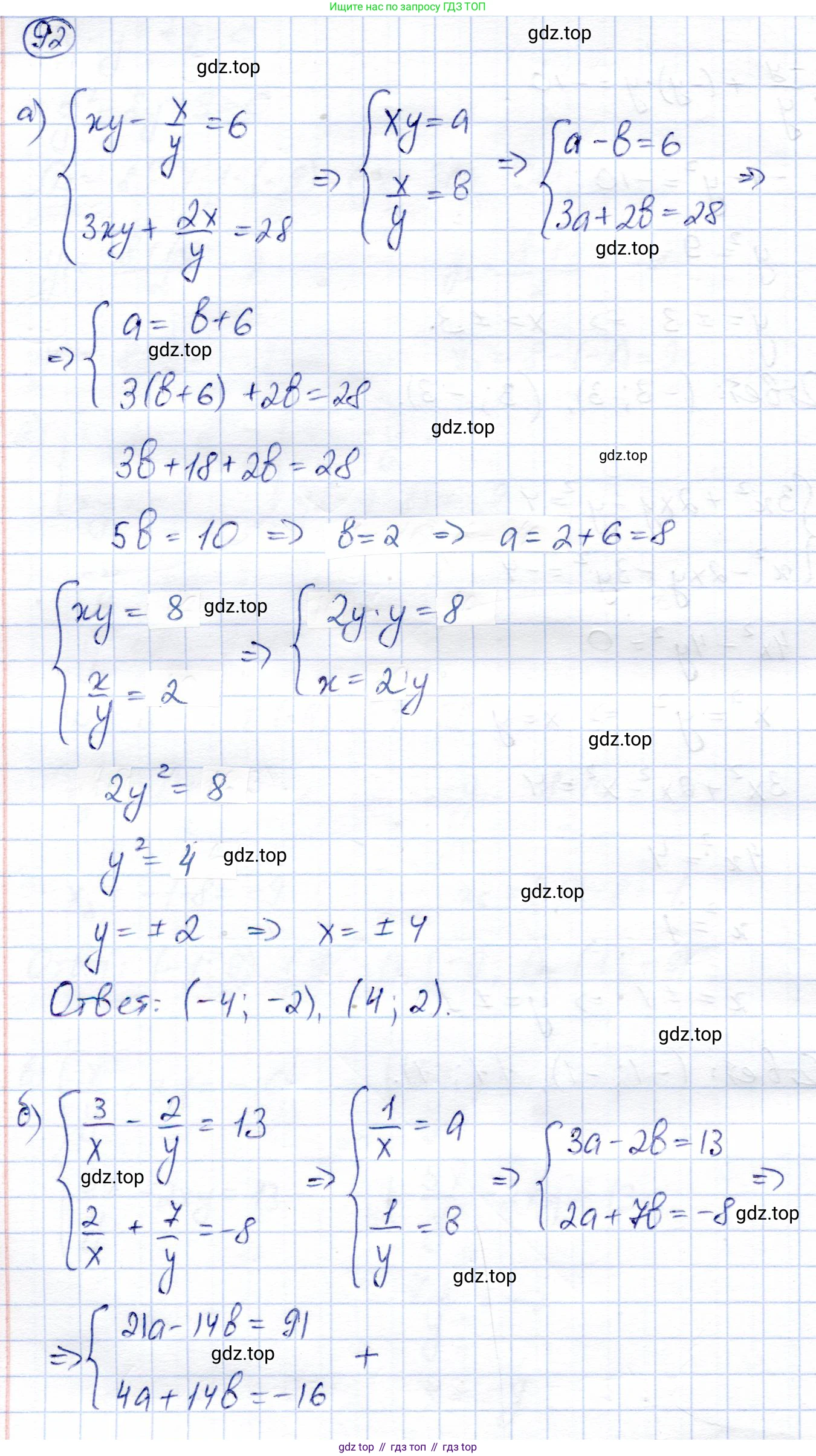
92. Решите систему уравнений, используя введение новых переменных:
a) $\begin{cases} xy - \frac{x}{y} = 6, \\ 3xy + \frac{2x}{y} = 28; \end{cases}$
б) $\begin{cases} \frac{3}{x} - \frac{2}{y} = 13, \\ \frac{2}{x} + \frac{7}{y} = -8; \end{cases}$
в) $\begin{cases} (x+y)^2 - 6(x+y) + 5 = 0, \\ (x-y)^2 - 2(x-y) - 3 = 0. \end{cases}$
Решение. №92 (с. 32)



Решение 2 (rus). №92 (с. 32)
a)Дана система уравнений:$\begin{cases}xy - \frac{x}{y} = 6, \\3xy + \frac{2x}{y} = 28.\end{cases}$
Введем новые переменные. Пусть $u = xy$ и $v = \frac{x}{y}$. Тогда система примет вид:$\begin{cases}u - v = 6, \\3u + 2v = 28.\end{cases}$
Из первого уравнения выразим $u$: $u = 6 + v$. Подставим это выражение во второе уравнение:
$3(6 + v) + 2v = 28$
$18 + 3v + 2v = 28$
$5v = 10$
$v = 2$
Теперь найдем $u$:
$u = 6 + v = 6 + 2 = 8$.
Мы получили, что $u = 8$ и $v = 2$. Сделаем обратную замену:
$xy = 8$ и $\frac{x}{y} = 2$.
Из второго уравнения получаем $x = 2y$. Подставим это в первое уравнение:
$(2y)y = 8$
$2y^2 = 8$
$y^2 = 4$
Отсюда $y_1 = 2$ и $y_2 = -2$.
Если $y_1 = 2$, то $x_1 = 2y_1 = 2 \cdot 2 = 4$.
Если $y_2 = -2$, то $x_2 = 2y_2 = 2 \cdot (-2) = -4$.
Таким образом, система имеет два решения.
Ответ: $(4, 2)$, $(-4, -2)$.
б)Дана система уравнений:$\begin{cases}\frac{3}{x} - \frac{2}{y} = 13, \\\frac{2}{x} + \frac{7}{y} = -8.\end{cases}$
Введем новые переменные. Пусть $u = \frac{1}{x}$ и $v = \frac{1}{y}$. Система примет вид:$\begin{cases}3u - 2v = 13, \\2u + 7v = -8.\end{cases}$
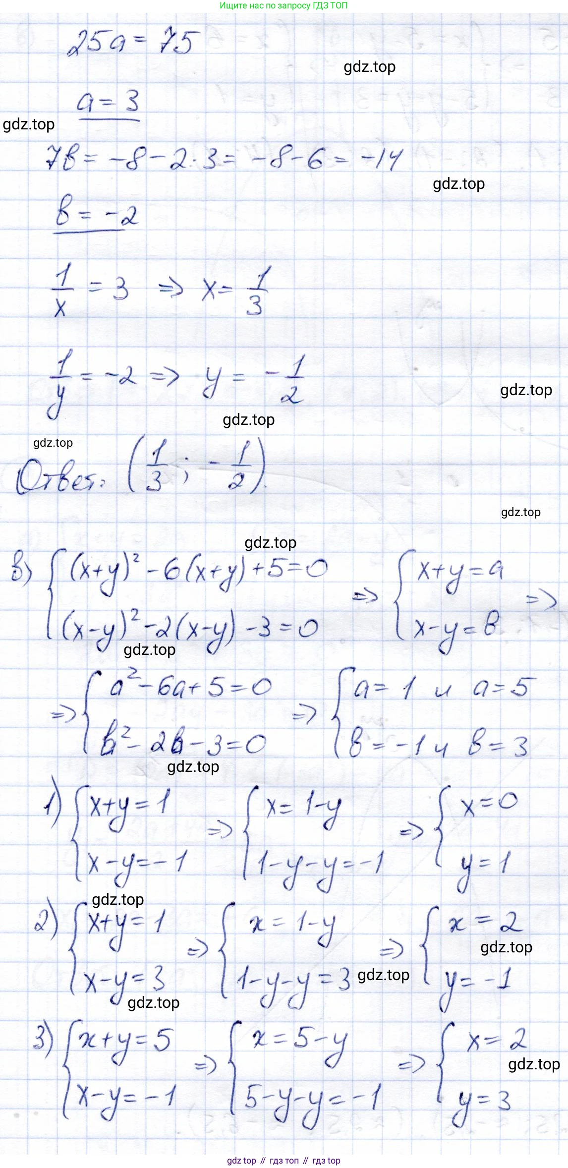
Решим эту систему методом сложения. Умножим первое уравнение на 2, а второе на -3:$\begin{cases}6u - 4v = 26, \\-6u - 21v = 24.\end{cases}$
Сложим два уравнения:
$(6u - 4v) + (-6u - 21v) = 26 + 24$
$-25v = 50$
$v = -2$
Подставим значение $v$ в первое уравнение исходной системы для $u$ и $v$:
$3u - 2(-2) = 13$
$3u + 4 = 13$
$3u = 9$
$u = 3$
Сделаем обратную замену:
$\frac{1}{x} = u = 3 \implies x = \frac{1}{3}$
$\frac{1}{y} = v = -2 \implies y = -\frac{1}{2}$
Ответ: $(\frac{1}{3}, -\frac{1}{2})$.
в)Дана система уравнений:$\begin{cases}(x + y)^2 - 6(x + y) + 5 = 0, \\(x - y)^2 - 2(x - y) - 3 = 0.\end{cases}$
Введем новые переменные. Пусть $u = x + y$ и $v = x - y$. Система примет вид:$\begin{cases}u^2 - 6u + 5 = 0, \\v^2 - 2v - 3 = 0.\end{cases}$
Решим каждое уравнение отдельно.
Первое уравнение: $u^2 - 6u + 5 = 0$. По теореме Виета (или через дискриминант) находим корни: $u_1 = 1$, $u_2 = 5$.
Второе уравнение: $v^2 - 2v - 3 = 0$. По теореме Виета (или через дискриминант) находим корни: $v_1 = 3$, $v_2 = -1$.
Теперь рассмотрим все возможные комбинации значений $u$ и $v$ и решим соответствующие системы для $x$ и $y$.
1. $u = 1$, $v = 3$:$\begin{cases}x + y = 1, \\x - y = 3.\end{cases}$Складывая уравнения, получаем $2x = 4 \implies x = 2$. Тогда $2 + y = 1 \implies y = -1$. Решение: $(2, -1)$.
2. $u = 1$, $v = -1$:$\begin{cases}x + y = 1, \\x - y = -1.\end{cases}$Складывая уравнения, получаем $2x = 0 \implies x = 0$. Тогда $0 + y = 1 \implies y = 1$. Решение: $(0, 1)$.
3. $u = 5$, $v = 3$:$\begin{cases}x + y = 5, \\x - y = 3.\end{cases}$Складывая уравнения, получаем $2x = 8 \implies x = 4$. Тогда $4 + y = 5 \implies y = 1$. Решение: $(4, 1)$.
4. $u = 5$, $v = -1$:$\begin{cases}x + y = 5, \\x - y = -1.\end{cases}$Складывая уравнения, получаем $2x = 4 \implies x = 2$. Тогда $2 + y = 5 \implies y = 3$. Решение: $(2, 3)$.
Система имеет четыре решения.
Ответ: $(2, -1)$, $(0, 1)$, $(4, 1)$, $(2, 3)$.
Другие задания:
Помогло решение? Оставьте отзыв в комментариях ниже.
Присоединяйтесь к Телеграм-группе @top_gdz
ПрисоединитьсяМы подготовили для вас ответ c подробным объяснением домашего задания по алгебре за 9 класс, для упражнения номер 92 расположенного на странице 32 к учебнику 2019 года издания для учащихся школ и гимназий.
Теперь на нашем сайте ГДЗ.ТОП вы всегда легко и бесплатно найдёте условие с правильным ответом на вопрос «Как решить ДЗ» и «Как сделать» задание по алгебре к упражнению №92 (с. 32), авторов: Солтан (Генадий Николаевич), Солтан (Алла Евгеньевна), Жумадилова (Аманбала Жумадиловна), учебного пособия издательства Кокшетау.