Номер 85, страница 31 - гдз по алгебре 9 класс учебник Солтан, Солтан

Авторы: Солтан Г. Н., Солтан А. Е., Жумадилова А. Ж.
Тип: Учебник
Издательство: Кокшетау
Год издания: 2019 - 2025
Цвет обложки:
ISBN: 978-601-317-424-2
Рекомендовано Министерством образования и науки Республики Казахстан
Популярные ГДЗ в 9 классе
2. Системы нелинейных уравнений с двумя переменными. I. Уравнения, неравенства с двумя переменными и их системы - номер 85, страница 31.
№85 (с. 31)
Условие. №85 (с. 31)
скриншот условия

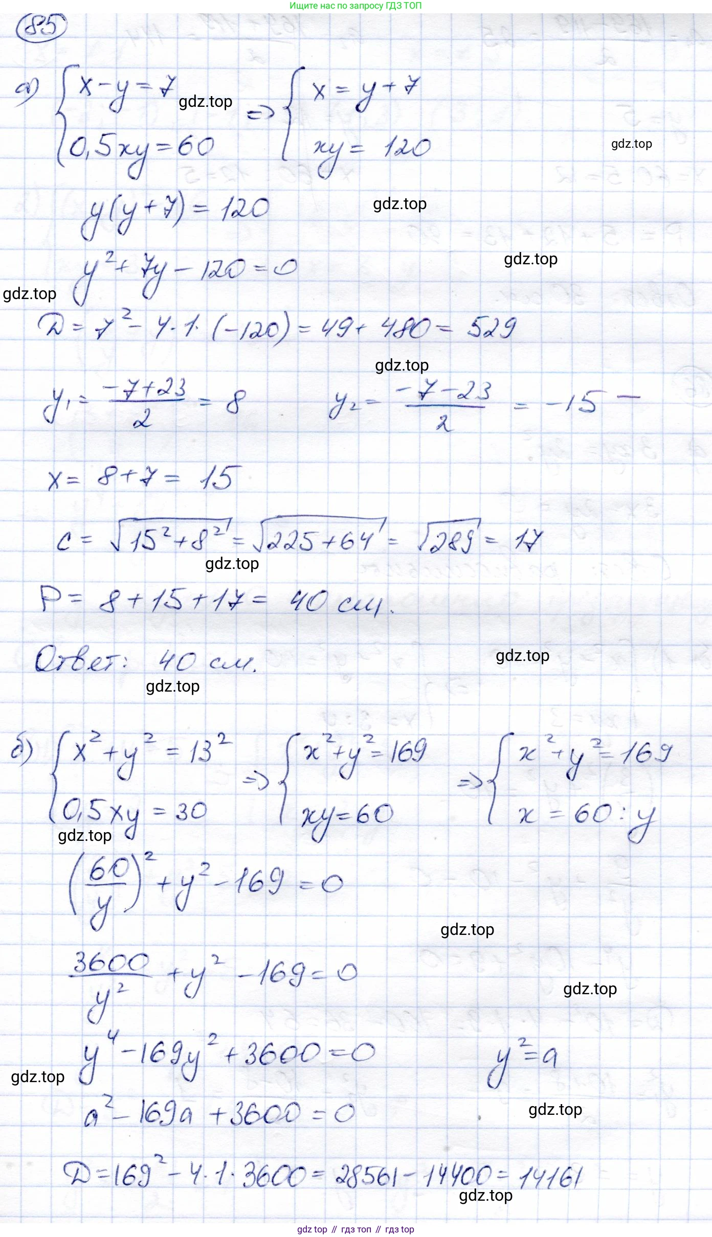
85. a) Площадь прямоугольного треугольника равна 60 $cm^2$, а разность длин его катетов равна 7 см. Найдите периметр этого треугольника. б) Найдите периметр прямоугольного треугольника, гипотенуза которого равна 13 см, а площадь 30 $cm^2$.
Решение. №85 (с. 31)


Решение 2 (rus). №85 (с. 31)
а) Пусть катеты прямоугольного треугольника равны $a$ и $b$.
Площадь прямоугольного треугольника вычисляется по формуле $S = \frac{1}{2}ab$. По условию, $S = 60$ см².
$ \frac{1}{2}ab = 60 \implies ab = 120 $.
Также по условию, разность длин катетов равна 7 см. Пусть $a - b = 7$, откуда $a = b + 7$.
Подставим выражение для $a$ в уравнение произведения катетов:
$(b + 7) \cdot b = 120$
$b^2 + 7b - 120 = 0$
Это квадратное уравнение. Найдем его корни с помощью дискриминанта:
$D = 7^2 - 4 \cdot 1 \cdot (-120) = 49 + 480 = 529 = 23^2$
$b_{1,2} = \frac{-7 \pm \sqrt{529}}{2} = \frac{-7 \pm 23}{2}$
Так как длина катета не может быть отрицательной, выбираем положительный корень:
$b = \frac{-7 + 23}{2} = \frac{16}{2} = 8$ см.
Теперь найдем длину второго катета:
$a = b + 7 = 8 + 7 = 15$ см.
Чтобы найти периметр, нам нужна длина гипотенузы $c$. Воспользуемся теоремой Пифагора $c^2 = a^2 + b^2$:
$c^2 = 15^2 + 8^2 = 225 + 64 = 289$
$c = \sqrt{289} = 17$ см.
Периметр треугольника $P$ равен сумме длин всех его сторон:
$P = a + b + c = 15 + 8 + 17 = 40$ см.
Ответ: 40 см.
б) Пусть катеты прямоугольного треугольника равны $a$ и $b$, а гипотенуза $c$.
По условию, $c = 13$ см, а площадь $S = 30$ см².
Площадь прямоугольного треугольника: $S = \frac{1}{2}ab = 30 \implies ab = 60$.
По теореме Пифагора: $a^2 + b^2 = c^2 = 13^2 = 169$.
Периметр треугольника $P = a + b + c$. Нам нужно найти сумму катетов $a+b$.
Рассмотрим квадрат суммы катетов: $(a+b)^2 = a^2 + 2ab + b^2$.
Мы можем перегруппировать члены: $(a+b)^2 = (a^2 + b^2) + 2(ab)$.
Подставим известные нам значения:
$(a+b)^2 = 169 + 2 \cdot 60 = 169 + 120 = 289$.
Тогда сумма катетов $a+b = \sqrt{289} = 17$ см.
Теперь найдем периметр:
$P = (a+b) + c = 17 + 13 = 30$ см.
Ответ: 30 см.
Другие задания:
Помогло решение? Оставьте отзыв в комментариях ниже.
Присоединяйтесь к Телеграм-группе @top_gdz
ПрисоединитьсяМы подготовили для вас ответ c подробным объяснением домашего задания по алгебре за 9 класс, для упражнения номер 85 расположенного на странице 31 к учебнику 2019 года издания для учащихся школ и гимназий.
Теперь на нашем сайте ГДЗ.ТОП вы всегда легко и бесплатно найдёте условие с правильным ответом на вопрос «Как решить ДЗ» и «Как сделать» задание по алгебре к упражнению №85 (с. 31), авторов: Солтан (Генадий Николаевич), Солтан (Алла Евгеньевна), Жумадилова (Аманбала Жумадиловна), учебного пособия издательства Кокшетау.