Номер 81, страница 30 - гдз по алгебре 9 класс учебник Солтан, Солтан

Авторы: Солтан Г. Н., Солтан А. Е., Жумадилова А. Ж.
Тип: Учебник
Издательство: Кокшетау
Год издания: 2019 - 2025
Цвет обложки:
ISBN: 978-601-317-424-2
Рекомендовано Министерством образования и науки Республики Казахстан
Популярные ГДЗ в 9 классе
2. Системы нелинейных уравнений с двумя переменными. I. Уравнения, неравенства с двумя переменными и их системы - номер 81, страница 30.
№81 (с. 30)
Условие. №81 (с. 30)
скриншот условия

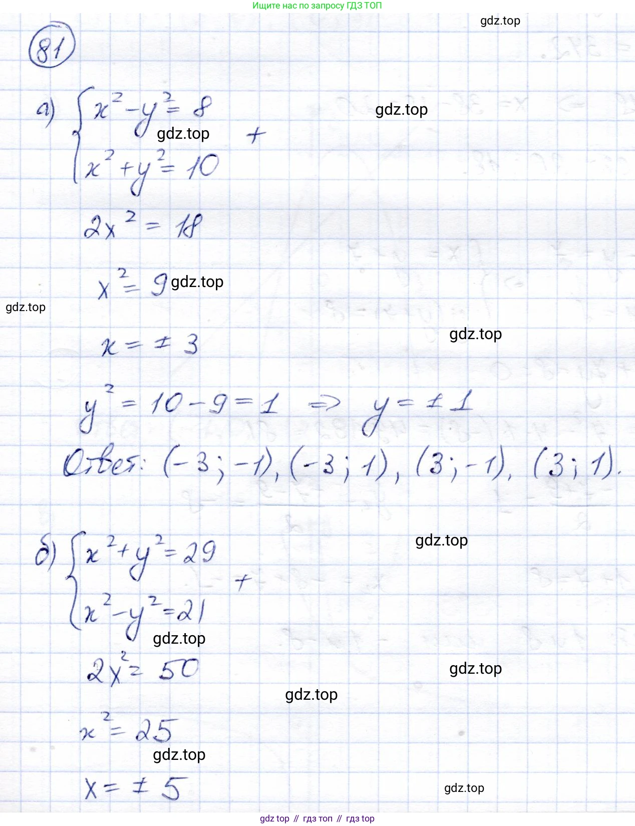
81. Решите систему уравнений, используя способ сложения:
a) $\begin{cases} x^2 - y^2 = 8, \\ x^2 + y^2 = 10; \end{cases}$
б) $\begin{cases} x^2 + y^2 = 29, \\ x^2 - y^2 = 21. \end{cases}$
Решение. №81 (с. 30)


Решение 2 (rus). №81 (с. 30)
а)
Дана система уравнений:
$ \begin{cases} x^2 - y^2 = 8, \\ x^2 + y^2 = 10. \end{cases} $
Чтобы решить систему способом сложения, сложим левые и правые части обоих уравнений:
$(x^2 - y^2) + (x^2 + y^2) = 8 + 10$
$2x^2 = 18$
Разделим обе части на 2:
$x^2 = 9$
Отсюда находим возможные значения для $x$: $x_1 = 3$ и $x_2 = -3$.
Теперь подставим найденное значение $x^2 = 9$ в любое из исходных уравнений. Возьмем второе уравнение $x^2 + y^2 = 10$:
$9 + y^2 = 10$
$y^2 = 10 - 9$
$y^2 = 1$
Отсюда находим возможные значения для $y$: $y_1 = 1$ и $y_2 = -1$.
Решениями системы являются все пары $(x, y)$, которые можно составить из найденных значений.
Ответ: $(3; 1)$, $(3; -1)$, $(-3; 1)$, $(-3; -1)$.
б)
Дана система уравнений:
$ \begin{cases} x^2 + y^2 = 29, \\ x^2 - y^2 = 21. \end{cases} $
Сложим левые и правые части обоих уравнений:
$(x^2 + y^2) + (x^2 - y^2) = 29 + 21$
$2x^2 = 50$
Разделим обе части на 2:
$x^2 = 25$
Отсюда находим возможные значения для $x$: $x_1 = 5$ и $x_2 = -5$.
Подставим найденное значение $x^2 = 25$ в первое уравнение системы $x^2 + y^2 = 29$:
$25 + y^2 = 29$
$y^2 = 29 - 25$
$y^2 = 4$
Отсюда находим возможные значения для $y$: $y_1 = 2$ и $y_2 = -2$.
Решениями системы являются все пары $(x, y)$, которые можно составить из найденных значений.
Ответ: $(5; 2)$, $(5; -2)$, $(-5; 2)$, $(-5; -2)$.
Другие задания:
Помогло решение? Оставьте отзыв в комментариях ниже.
Присоединяйтесь к Телеграм-группе @top_gdz
ПрисоединитьсяМы подготовили для вас ответ c подробным объяснением домашего задания по алгебре за 9 класс, для упражнения номер 81 расположенного на странице 30 к учебнику 2019 года издания для учащихся школ и гимназий.
Теперь на нашем сайте ГДЗ.ТОП вы всегда легко и бесплатно найдёте условие с правильным ответом на вопрос «Как решить ДЗ» и «Как сделать» задание по алгебре к упражнению №81 (с. 30), авторов: Солтан (Генадий Николаевич), Солтан (Алла Евгеньевна), Жумадилова (Аманбала Жумадиловна), учебного пособия издательства Кокшетау.