Номер 82, страница 30 - гдз по алгебре 9 класс учебник Солтан, Солтан

Авторы: Солтан Г. Н., Солтан А. Е., Жумадилова А. Ж.
Тип: Учебник
Издательство: Кокшетау
Год издания: 2019 - 2025
Цвет обложки:
ISBN: 978-601-317-424-2
Рекомендовано Министерством образования и науки Республики Казахстан
Популярные ГДЗ в 9 классе
2. Системы нелинейных уравнений с двумя переменными. I. Уравнения, неравенства с двумя переменными и их системы - номер 82, страница 30.
№82 (с. 30)
Условие. №82 (с. 30)
скриншот условия

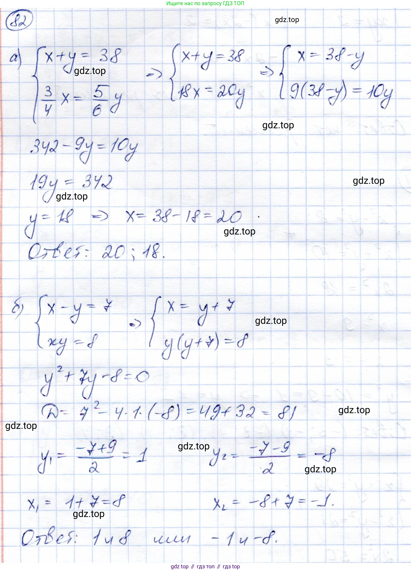
82. a) Сумма двух чисел равна 38, а $\frac{3}{4}$ большего числа составляет $\frac{5}{6}$ меньшего. Найдите эти числа.
б) Исследуйте, существуют ли два числа, разность которых равна 7, а произведение равно 8.
Решение. №82 (с. 30)

Решение 2 (rus). №82 (с. 30)
а) Пусть большее число равно $x$, а меньшее число равно $y$. Согласно условию задачи, мы можем составить систему из двух уравнений:
$x + y = 38$
$\frac{3}{4}x = \frac{5}{6}y$
Из первого уравнения выразим $y$ через $x$: $y = 38 - x$.
Подставим это выражение во второе уравнение:
$\frac{3}{4}x = \frac{5}{6}(38 - x)$
Чтобы избавиться от дробей, умножим обе части уравнения на наименьшее общее кратное знаменателей 4 и 6, то есть на 12:
$12 \cdot \frac{3}{4}x = 12 \cdot \frac{5}{6}(38 - x)$
$3 \cdot 3x = 2 \cdot 5(38 - x)$
$9x = 10(38 - x)$
$9x = 380 - 10x$
$9x + 10x = 380$
$19x = 380$
$x = \frac{380}{19}$
$x = 20$
Теперь найдем $y$, подставив найденное значение $x$:
$y = 38 - 20$
$y = 18$
Таким образом, большее число равно 20, а меньшее — 18. Проверим второе условие: $\frac{3}{4}$ от 20 это $\frac{3}{4} \cdot 20 = 15$. $\frac{5}{6}$ от 18 это $\frac{5}{6} \cdot 18 = 15$. Условие $15 = 15$ выполняется.
Ответ: 20 и 18.
б) Пусть искомые числа равны $a$ и $b$. По условию, их разность равна 7, а произведение равно 8. Запишем это в виде системы уравнений:
$a - b = 7$
$a \cdot b = 8$
Из первого уравнения выразим $a$: $a = 7 + b$.
Подставим это выражение во второе уравнение:
$(7 + b) \cdot b = 8$
$7b + b^2 = 8$
Перенесем все члены уравнения в одну сторону, чтобы получить квадратное уравнение стандартного вида $Ax^2+Bx+C=0$:
$b^2 + 7b - 8 = 0$
Чтобы определить, существуют ли действительные решения этого уравнения (а значит, и искомые числа), найдем его дискриминант $D$ по формуле $D = B^2 - 4AC$, где $A=1$, $B=7$, $C=-8$.
$D = 7^2 - 4 \cdot 1 \cdot (-8) = 49 + 32 = 81$
Поскольку дискриминант $D = 81 > 0$, квадратное уравнение имеет два различных действительных корня. Это означает, что такие два числа существуют.
При необходимости мы можем найти эти числа. Корни уравнения для $b$ вычисляются по формуле $b = \frac{-B \pm \sqrt{D}}{2A}$:
$b = \frac{-7 \pm \sqrt{81}}{2 \cdot 1} = \frac{-7 \pm 9}{2}$
Получаем два решения: $b_1 = \frac{-7+9}{2} = 1$ и $b_2 = \frac{-7-9}{2} = -8$.
Соответствующие значения для $a$: $a_1 = 7 + 1 = 8$ и $a_2 = 7 + (-8) = -1$.
Существуют две пары таких чисел: (8; 1) и (-1; -8).
Ответ: Да, такие числа существуют.
Другие задания:
Помогло решение? Оставьте отзыв в комментариях ниже.
Присоединяйтесь к Телеграм-группе @top_gdz
ПрисоединитьсяМы подготовили для вас ответ c подробным объяснением домашего задания по алгебре за 9 класс, для упражнения номер 82 расположенного на странице 30 к учебнику 2019 года издания для учащихся школ и гимназий.
Теперь на нашем сайте ГДЗ.ТОП вы всегда легко и бесплатно найдёте условие с правильным ответом на вопрос «Как решить ДЗ» и «Как сделать» задание по алгебре к упражнению №82 (с. 30), авторов: Солтан (Генадий Николаевич), Солтан (Алла Евгеньевна), Жумадилова (Аманбала Жумадиловна), учебного пособия издательства Кокшетау.