Номер 80, страница 30 - гдз по алгебре 9 класс учебник Солтан, Солтан

Авторы: Солтан Г. Н., Солтан А. Е., Жумадилова А. Ж.
Тип: Учебник
Издательство: Кокшетау
Год издания: 2019 - 2025
Цвет обложки:
ISBN: 978-601-317-424-2
Рекомендовано Министерством образования и науки Республики Казахстан
Популярные ГДЗ в 9 классе
2. Системы нелинейных уравнений с двумя переменными. I. Уравнения, неравенства с двумя переменными и их системы - номер 80, страница 30.
№80 (с. 30)
Условие. №80 (с. 30)
скриншот условия

80. Решите способом подстановки систему уравнений:
а) $\begin{cases} x + y = 2, \\ x^2 - y^2 = 100; \end{cases}$
б) $\begin{cases} x + y = -5, \\ x^2 - y^2 = 5; \end{cases}$
в) $\begin{cases} y - 3x = 0, \\ x^2 + y^2 = 40; \end{cases}$
г) $\begin{cases} 2x + y = 0, \\ xy = 2. \end{cases}$
Решение. №80 (с. 30)


Решение 2 (rus). №80 (с. 30)
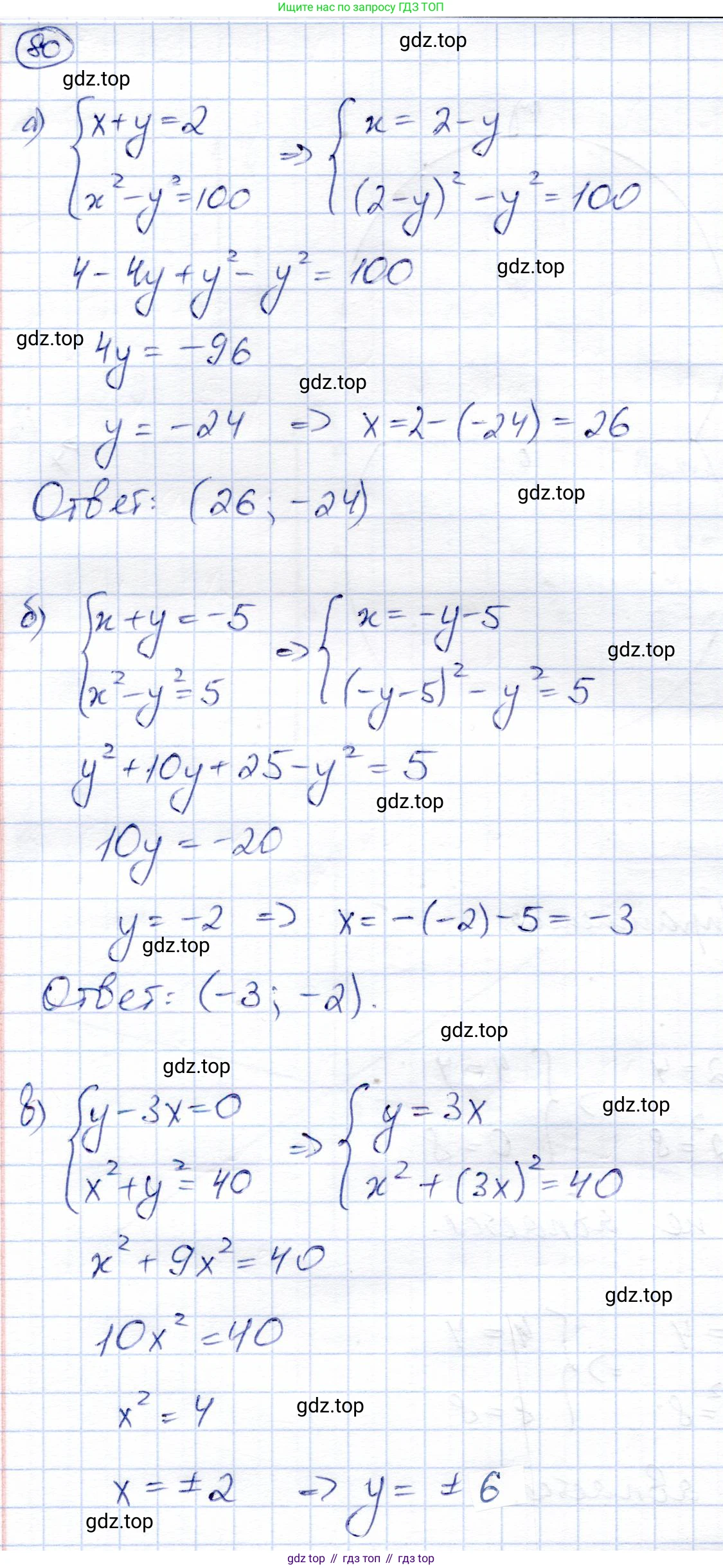
а) Дана система уравнений:$ \begin{cases} x + y = 2 \\ x^2 - y^2 = 100 \end{cases} $
Метод подстановки заключается в том, чтобы выразить одну переменную через другую из одного уравнения и подставить это выражение в другое уравнение.
Из первого уравнения выразим переменную $y$ через $x$:$y = 2 - x$
Теперь подставим полученное выражение для $y$ во второе уравнение системы:$x^2 - (2 - x)^2 = 100$
Раскроем скобки, используя формулу квадрата разности $(a - b)^2 = a^2 - 2ab + b^2$:$x^2 - (4 - 4x + x^2) = 100$
$x^2 - 4 + 4x - x^2 = 100$
Приведем подобные слагаемые:$4x - 4 = 100$
Решим полученное линейное уравнение относительно $x$:$4x = 100 + 4$
$4x = 104$
$x = \frac{104}{4}$
$x = 26$
Найдем соответствующее значение $y$, подставив найденное значение $x$ в выражение $y = 2 - x$:$y = 2 - 26$
$y = -24$
Таким образом, решение системы — это пара чисел $(26, -24)$.
Ответ: $(26, -24)$.
б) Дана система уравнений:$ \begin{cases} x + y = -5 \\ x^2 - y^2 = 5 \end{cases} $
Из первого уравнения выразим переменную $y$ через $x$:$y = -5 - x$
Подставим это выражение во второе уравнение системы:$x^2 - (-5 - x)^2 = 5$
Раскроем скобки. Обратим внимание, что $(-a - b)^2 = (a + b)^2 = a^2 + 2ab + b^2$:$x^2 - ((-5)^2 + 2(-5)(-x) + (-x)^2) = 5$
$x^2 - (25 + 10x + x^2) = 5$
$x^2 - 25 - 10x - x^2 = 5$
Приведем подобные слагаемые:$-10x - 25 = 5$
Решим полученное линейное уравнение:$-10x = 5 + 25$
$-10x = 30$
$x = \frac{30}{-10}$
$x = -3$
Теперь найдем соответствующее значение $y$, подставив $x = -3$ в выражение $y = -5 - x$:$y = -5 - (-3)$
$y = -5 + 3$
$y = -2$
Решением системы является пара чисел $(-3, -2)$.
Ответ: $(-3, -2)$.
в) Дана система уравнений:$ \begin{cases} y - 3x = 0 \\ x^2 + y^2 = 40 \end{cases} $
Из первого уравнения легко выразить $y$:$y = 3x$
Подставим это выражение для $y$ во второе уравнение:$x^2 + (3x)^2 = 40$
Возведем в квадрат:$x^2 + 9x^2 = 40$
Сложим подобные слагаемые:$10x^2 = 40$
Решим полученное неполное квадратное уравнение:$x^2 = \frac{40}{10}$
$x^2 = 4$
Это уравнение имеет два корня:$x_1 = 2$ и $x_2 = -2$
Для каждого значения $x$ найдем соответствующее значение $y$, используя подстановку $y = 3x$:
1) При $x_1 = 2$:$y_1 = 3 \cdot 2 = 6$
2) При $x_2 = -2$:$y_2 = 3 \cdot (-2) = -6$
Система имеет две пары решений.
Ответ: $(2, 6)$, $(-2, -6)$.
г) Дана система уравнений:$ \begin{cases} 2x + y = 0 \\ xy = 2 \end{cases} $
Из первого уравнения выразим переменную $y$ через $x$:$y = -2x$
Подставим это выражение во второе уравнение системы:$x(-2x) = 2$
Упростим левую часть уравнения:$-2x^2 = 2$
Разделим обе части уравнения на -2:$x^2 = -1$
В множестве действительных чисел это уравнение не имеет решений, так как квадрат любого действительного числа не может быть отрицательным. Следовательно, исходная система уравнений не имеет действительных решений.
Ответ: решений нет.
Другие задания:
Помогло решение? Оставьте отзыв в комментариях ниже.
Присоединяйтесь к Телеграм-группе @top_gdz
ПрисоединитьсяМы подготовили для вас ответ c подробным объяснением домашего задания по алгебре за 9 класс, для упражнения номер 80 расположенного на странице 30 к учебнику 2019 года издания для учащихся школ и гимназий.
Теперь на нашем сайте ГДЗ.ТОП вы всегда легко и бесплатно найдёте условие с правильным ответом на вопрос «Как решить ДЗ» и «Как сделать» задание по алгебре к упражнению №80 (с. 30), авторов: Солтан (Генадий Николаевич), Солтан (Алла Евгеньевна), Жумадилова (Аманбала Жумадиловна), учебного пособия издательства Кокшетау.