Номер 87, страница 31 - гдз по алгебре 9 класс учебник Солтан, Солтан

Авторы: Солтан Г. Н., Солтан А. Е., Жумадилова А. Ж.
Тип: Учебник
Издательство: Кокшетау
Год издания: 2019 - 2025
Цвет обложки:
ISBN: 978-601-317-424-2
Рекомендовано Министерством образования и науки Республики Казахстан
Популярные ГДЗ в 9 классе
2. Системы нелинейных уравнений с двумя переменными. I. Уравнения, неравенства с двумя переменными и их системы - номер 87, страница 31.
№87 (с. 31)
Условие. №87 (с. 31)
скриншот условия

87. Используя способ подстановки, найдите все пары (m; n) чисел, являющиеся решениями системы уравнений:
a) $\begin{cases} m + n = -50, \\ mn = 96; \end{cases}$
б) $\begin{cases} m^2 - n^2 = 5, \\ mn = 6; \end{cases}$
в) $\begin{cases} m^2 + mn + n^2 = 13, \\ m + n = 4; \end{cases}$
г) $\begin{cases} 3m - n = 0, \\ m^2 + n^2 + 2n = 9. \end{cases}$
Решение. №87 (с. 31)



Решение 2 (rus). №87 (с. 31)
а)
Дана система уравнений:
$\begin{cases} m + n = -50 \\ mn = 96 \end{cases}$
1. Выразим m из первого уравнения:
$m = -50 - n$
2. Подставим это выражение во второе уравнение:
$(-50 - n)n = 96$
3. Раскроем скобки и решим полученное квадратное уравнение:
$-50n - n^2 = 96$
$n^2 + 50n + 96 = 0$
Для решения используем формулу корней квадратного уравнения $n = \frac{-b \pm \sqrt{b^2 - 4ac}}{2a}$.
Дискриминант $D = b^2 - 4ac = 50^2 - 4 \cdot 1 \cdot 96 = 2500 - 384 = 2116$.
Корень из дискриминанта $\sqrt{2116} = 46$.
$n_1 = \frac{-50 + 46}{2} = \frac{-4}{2} = -2$
$n_2 = \frac{-50 - 46}{2} = \frac{-96}{2} = -48$
4. Найдем соответствующие значения m:
Если $n_1 = -2$, то $m_1 = -50 - (-2) = -48$.
Если $n_2 = -48$, то $m_2 = -50 - (-48) = -2$.
Таким образом, решениями системы являются две пары чисел.
Ответ: $(-48; -2)$ и $(-2; -48)$.
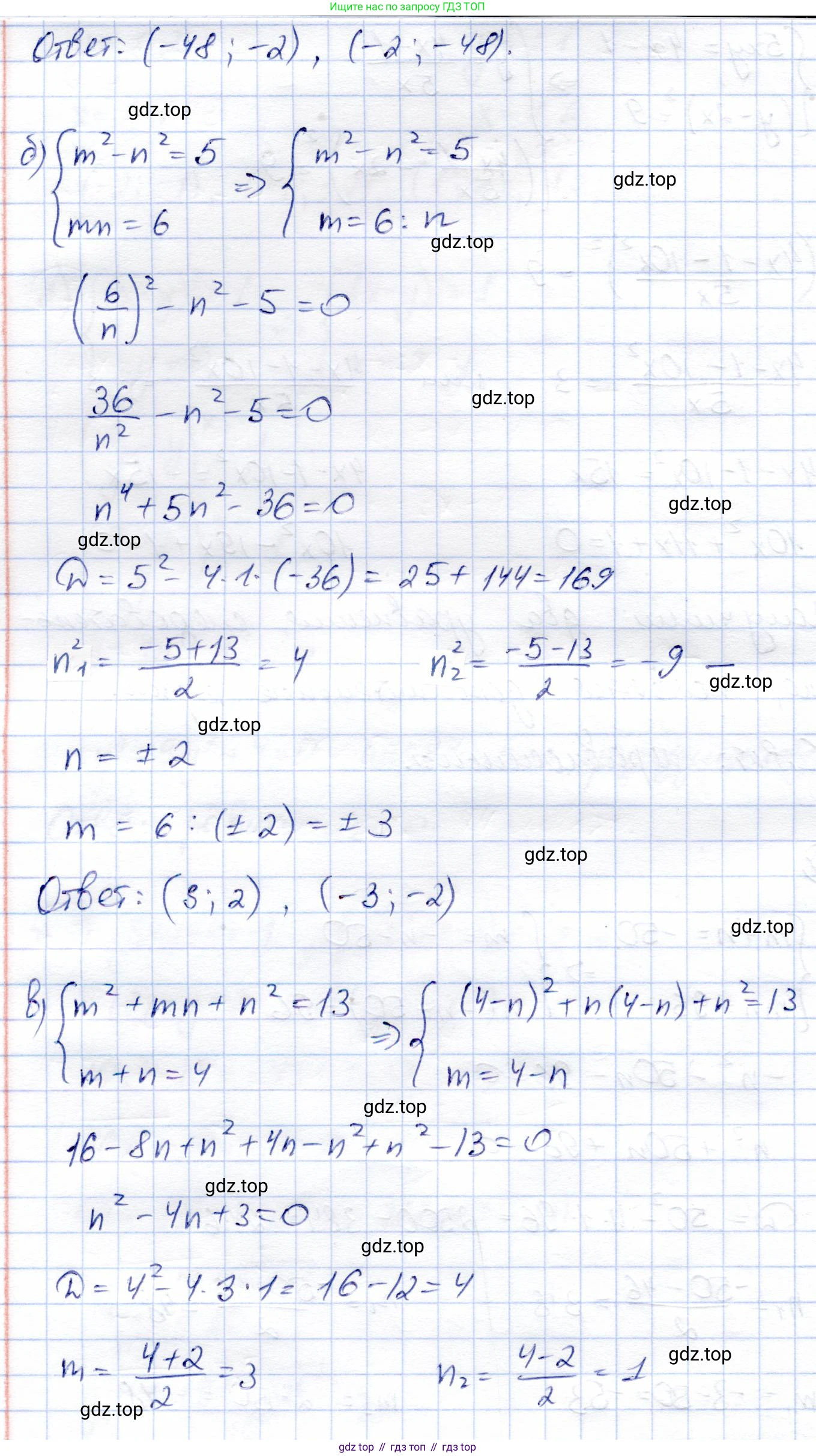
б)
Дана система уравнений:
$\begin{cases} m^2 - n^2 = 5 \\ mn = 6 \end{cases}$
1. Выразим m из второго уравнения (при $n \neq 0$):
$m = \frac{6}{n}$
2. Подставим это выражение в первое уравнение:
$(\frac{6}{n})^2 - n^2 = 5$
3. Решим полученное уравнение:
$\frac{36}{n^2} - n^2 = 5$
Умножим обе части уравнения на $n^2$ (это возможно, так как $n \neq 0$):
$36 - n^4 = 5n^2$
$n^4 + 5n^2 - 36 = 0$
4. Сделаем замену переменной. Пусть $t = n^2$, где $t \ge 0$.
$t^2 + 5t - 36 = 0$
Решим это квадратное уравнение относительно t. По теореме Виета, корни $t_1 = 4$ и $t_2 = -9$.
Корень $t_2 = -9$ не удовлетворяет условию $t \ge 0$, поэтому его отбрасываем.
5. Вернемся к переменной n:
$n^2 = 4$
Отсюда $n_1 = 2$ и $n_2 = -2$.
6. Найдем соответствующие значения m:
Если $n_1 = 2$, то $m_1 = \frac{6}{2} = 3$.
Если $n_2 = -2$, то $m_2 = \frac{6}{-2} = -3$.
Получаем две пары чисел в качестве решения.
Ответ: $(3; 2)$ и $(-3; -2)$.
в)
Дана система уравнений:
$\begin{cases} m^2 + mn + n^2 = 13 \\ m + n = 4 \end{cases}$
1. Выразим m из второго уравнения:
$m = 4 - n$
2. Подставим это выражение в первое уравнение:
$(4 - n)^2 + (4 - n)n + n^2 = 13$
3. Раскроем скобки и упростим:
$(16 - 8n + n^2) + (4n - n^2) + n^2 = 13$
$16 - 8n + n^2 + 4n - n^2 + n^2 - 13 = 0$
$n^2 - 4n + 3 = 0$
4. Решим полученное квадратное уравнение. По теореме Виета, корни $n_1 = 1$ и $n_2 = 3$.
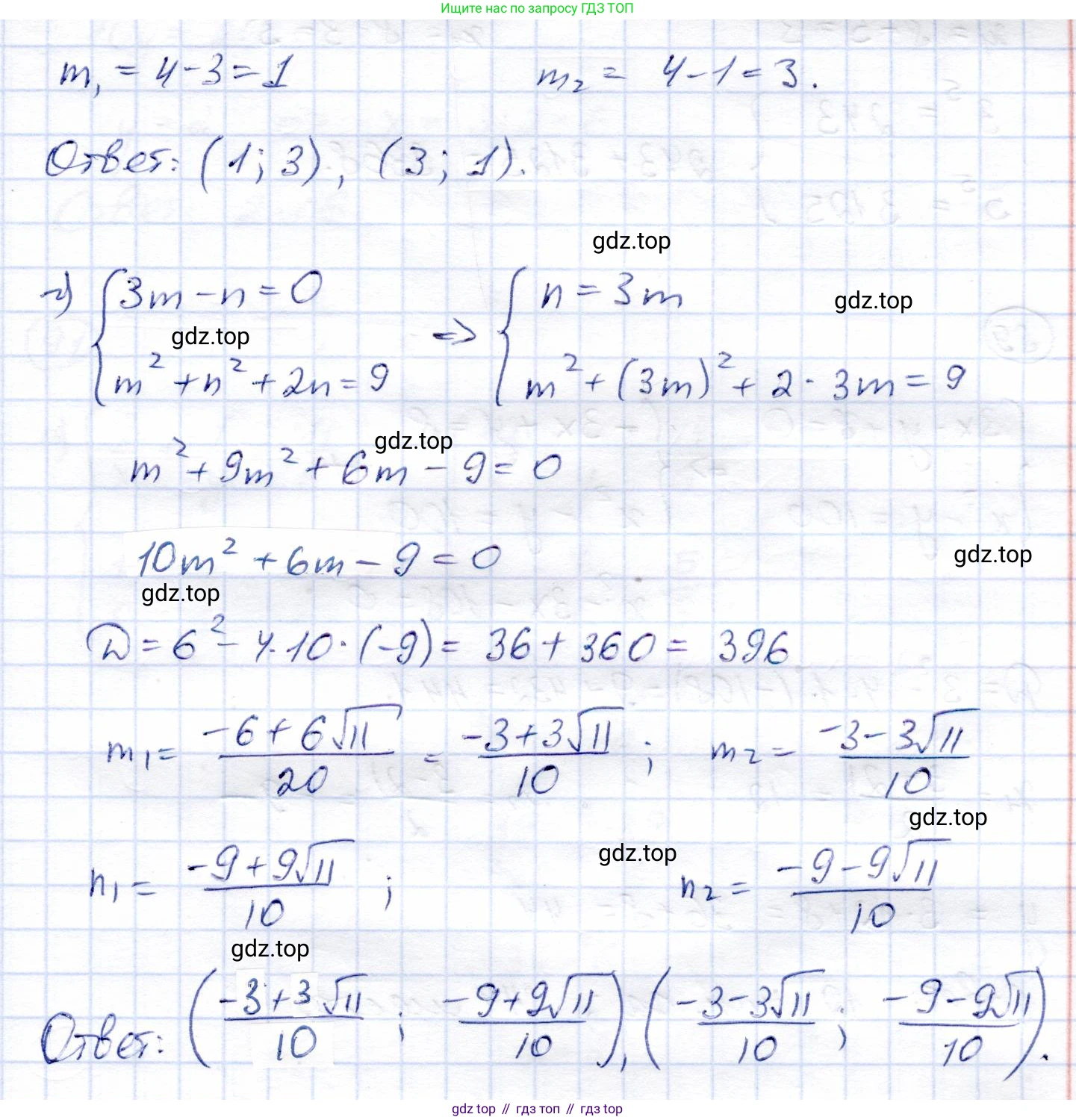
5. Найдем соответствующие значения m:
Если $n_1 = 1$, то $m_1 = 4 - 1 = 3$.
Если $n_2 = 3$, то $m_2 = 4 - 3 = 1$.
Таким образом, решениями являются две пары чисел.
Ответ: $(3; 1)$ и $(1; 3)$.
г)
Дана система уравнений:
$\begin{cases} 3m - n = 0 \\ m^2 + n^2 + 2n = 9 \end{cases}$
1. Выразим n из первого уравнения:
$n = 3m$
2. Подставим это выражение во второе уравнение:
$m^2 + (3m)^2 + 2(3m) = 9$
3. Раскроем скобки и решим полученное уравнение:
$m^2 + 9m^2 + 6m = 9$
$10m^2 + 6m - 9 = 0$
4. Решим это квадратное уравнение, используя формулу для корней:
Дискриминант $D = b^2 - 4ac = 6^2 - 4 \cdot 10 \cdot (-9) = 36 + 360 = 396$.
$\sqrt{D} = \sqrt{396} = \sqrt{36 \cdot 11} = 6\sqrt{11}$.
$m = \frac{-b \pm \sqrt{D}}{2a} = \frac{-6 \pm 6\sqrt{11}}{2 \cdot 10} = \frac{-6 \pm 6\sqrt{11}}{20} = \frac{-3 \pm 3\sqrt{11}}{10}$.
Получаем два значения для m:
$m_1 = \frac{-3 + 3\sqrt{11}}{10}$
$m_2 = \frac{-3 - 3\sqrt{11}}{10}$
5. Найдем соответствующие значения n по формуле $n = 3m$:
Если $m_1 = \frac{-3 + 3\sqrt{11}}{10}$, то $n_1 = 3 \cdot (\frac{-3 + 3\sqrt{11}}{10}) = \frac{-9 + 9\sqrt{11}}{10}$.
Если $m_2 = \frac{-3 - 3\sqrt{11}}{10}$, то $n_2 = 3 \cdot (\frac{-3 - 3\sqrt{11}}{10}) = \frac{-9 - 9\sqrt{11}}{10}$.
Получаем две пары чисел в качестве решения.
Ответ: $(\frac{-3 + 3\sqrt{11}}{10}; \frac{-9 + 9\sqrt{11}}{10})$ и $(\frac{-3 - 3\sqrt{11}}{10}; \frac{-9 - 9\sqrt{11}}{10})$.
Другие задания:
Помогло решение? Оставьте отзыв в комментариях ниже.
Присоединяйтесь к Телеграм-группе @top_gdz
ПрисоединитьсяМы подготовили для вас ответ c подробным объяснением домашего задания по алгебре за 9 класс, для упражнения номер 87 расположенного на странице 31 к учебнику 2019 года издания для учащихся школ и гимназий.
Теперь на нашем сайте ГДЗ.ТОП вы всегда легко и бесплатно найдёте условие с правильным ответом на вопрос «Как решить ДЗ» и «Как сделать» задание по алгебре к упражнению №87 (с. 31), авторов: Солтан (Генадий Николаевич), Солтан (Алла Евгеньевна), Жумадилова (Аманбала Жумадиловна), учебного пособия издательства Кокшетау.