Номер 91, страница 32 - гдз по алгебре 9 класс учебник Солтан, Солтан

Авторы: Солтан Г. Н., Солтан А. Е., Жумадилова А. Ж.
Тип: Учебник
Издательство: Кокшетау
Год издания: 2019 - 2025
Цвет обложки:
ISBN: 978-601-317-424-2
Рекомендовано Министерством образования и науки Республики Казахстан
Популярные ГДЗ в 9 классе
2. Системы нелинейных уравнений с двумя переменными. I. Уравнения, неравенства с двумя переменными и их системы - номер 91, страница 32.
№91 (с. 32)
Условие. №91 (с. 32)
скриншот условия

91. Решите способом сложения систему уравнений:
а)
$\begin{cases} \frac{3}{x} + \frac{1}{y} = \frac{11}{6}, \\ \frac{1}{x} - \frac{4}{y} = -\frac{5}{6}. \end{cases}$
б)
$\begin{cases} x^2 + y^2 = 82, \\ xy = -9; \end{cases}$
в)
$\begin{cases} \frac{x}{y} + xy = -10, \\ \frac{5x}{y} - 2xy = 13; \end{cases}$
г)
$\begin{cases} 3x^2 + 2xy - y^2 = 4, \\ x^2 - 2xy - 3y^2 = -4. \end{cases}$
Решение. №91 (с. 32)



Решение 2 (rus). №91 (с. 32)
а) Исходная система уравнений:
$\begin{cases}\frac{3}{x} + \frac{1}{y} = \frac{11}{6} \\\frac{1}{x} - \frac{4}{y} = -\frac{5}{6}\end{cases}$
Для решения этой системы удобно ввести новые переменные. Пусть $u = \frac{1}{x}$ и $v = \frac{1}{y}$. Тогда система примет вид:
$\begin{cases}3u + v = \frac{11}{6} \\u - 4v = -\frac{5}{6}\end{cases}$
Чтобы использовать метод сложения, умножим первое уравнение на 4, чтобы коэффициенты при $v$ стали противоположными:
$\begin{cases}12u + 4v = \frac{44}{6} \\u - 4v = -\frac{5}{6}\end{cases}$
Теперь сложим два уравнения почленно:
$(12u + 4v) + (u - 4v) = \frac{44}{6} - \frac{5}{6}$
$13u = \frac{39}{6}$
$13u = \frac{13}{2}$
$u = \frac{1}{2}$
Подставим найденное значение $u$ в одно из уравнений системы для $u$ и $v$, например, во второе $u - 4v = -\frac{5}{6}$:
$\frac{1}{2} - 4v = -\frac{5}{6}$
$-4v = -\frac{5}{6} - \frac{1}{2}$
$-4v = -\frac{5}{6} - \frac{3}{6}$
$-4v = -\frac{8}{6}$
$-4v = -\frac{4}{3}$
$v = \frac{1}{3}$
Теперь выполним обратную замену, чтобы найти $x$ и $y$:
$u = \frac{1}{x} \implies \frac{1}{2} = \frac{1}{x} \implies x = 2$
$v = \frac{1}{y} \implies \frac{1}{3} = \frac{1}{y} \implies y = 3$
Ответ: $(2, 3)$.
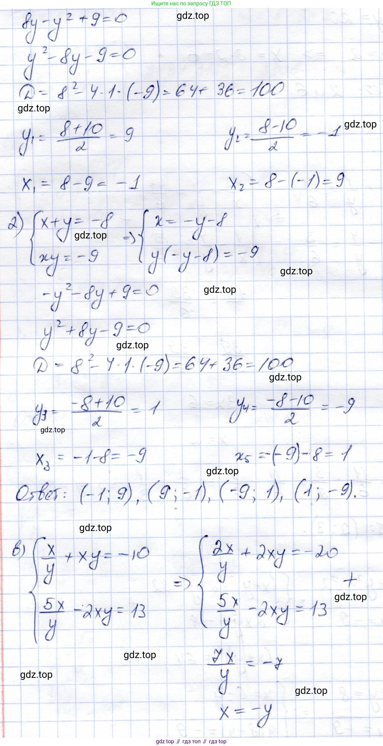
б) Исходная система уравнений:
$\begin{cases}x^2 + y^2 = 82 \\xy = -9\end{cases}$
Для применения метода сложения, умножим второе уравнение на 2 и сложим с первым:
$\begin{cases}x^2 + y^2 = 82 \\2xy = -18\end{cases}$
Складываем уравнения:
$(x^2 + y^2) + 2xy = 82 - 18$
$x^2 + 2xy + y^2 = 64$
$(x+y)^2 = 64$
Отсюда получаем два возможных уравнения: $x+y=8$ или $x+y=-8$.
Теперь умножим второе исходное уравнение на -2 и снова сложим с первым:
$\begin{cases}x^2 + y^2 = 82 \\-2xy = 18\end{cases}$
Складываем уравнения:
$(x^2 + y^2) - 2xy = 82 + 18$
$x^2 - 2xy + y^2 = 100$
$(x-y)^2 = 100$
Отсюда получаем еще два возможных уравнения: $x-y=10$ или $x-y=-10$.
Теперь решим четыре системы линейных уравнений:
1) $\begin{cases} x+y=8 \\ x-y=10 \end{cases}$. Сложив уравнения, получим $2x=18$, $x=9$. Тогда $9+y=8$, $y=-1$. Решение: $(9, -1)$.
2) $\begin{cases} x+y=8 \\ x-y=-10 \end{cases}$. Сложив уравнения, получим $2x=-2$, $x=-1$. Тогда $-1+y=8$, $y=9$. Решение: $(-1, 9)$.
3) $\begin{cases} x+y=-8 \\ x-y=10 \end{cases}$. Сложив уравнения, получим $2x=2$, $x=1$. Тогда $1+y=-8$, $y=-9$. Решение: $(1, -9)$.
4) $\begin{cases} x+y=-8 \\ x-y=-10 \end{cases}$. Сложив уравнения, получим $2x=-18$, $x=-9$. Тогда $-9+y=-8$, $y=1$. Решение: $(-9, 1)$.
Ответ: $(9, -1)$, $(-1, 9)$, $(1, -9)$, $(-9, 1)$.
в) Исходная система уравнений:
$\begin{cases}\frac{x}{y} + xy = -10 \\\frac{5x}{y} - 2xy = 13\end{cases}$
Введем новые переменные: $u = \frac{x}{y}$ и $v = xy$. Система примет вид:
$\begin{cases}u + v = -10 \\5u - 2v = 13\end{cases}$
Умножим первое уравнение на 2, чтобы применить метод сложения:
$\begin{cases}2u + 2v = -20 \\5u - 2v = 13\end{cases}$
Сложим уравнения:
$(2u + 2v) + (5u - 2v) = -20 + 13$
$7u = -7$
$u = -1$
Подставим $u=-1$ в первое уравнение $u+v=-10$:
$-1 + v = -10$
$v = -9$
Теперь вернемся к исходным переменным:
$u = \frac{x}{y} = -1 \implies x = -y$
$v = xy = -9$
Подставим $x=-y$ во второе уравнение $xy=-9$:
$(-y)y = -9$
$-y^2 = -9$
$y^2 = 9$
Отсюда $y=3$ или $y=-3$.
Если $y=3$, то $x=-y=-3$. Получаем решение $(-3, 3)$.
Если $y=-3$, то $x=-y=-(-3)=3$. Получаем решение $(3, -3)$.
Ответ: $(-3, 3)$, $(3, -3)$.
г) Исходная система уравнений:
$\begin{cases}3x^2 + 2xy - y^2 = 4 \\x^2 - 2xy - 3y^2 = -4\end{cases}$
Коэффициенты при $2xy$ противоположны, поэтому можно сразу применить метод сложения. Сложим два уравнения системы:
$(3x^2 + 2xy - y^2) + (x^2 - 2xy - 3y^2) = 4 + (-4)$
$4x^2 - 4y^2 = 0$
$x^2 - y^2 = 0$
$(x-y)(x+y) = 0$
Это уравнение дает два случая: $x=y$ или $x=-y$.
Случай 1: $x=y$.
Подставим $x=y$ в первое исходное уравнение:
$3(y)^2 + 2(y)y - y^2 = 4$
$3y^2 + 2y^2 - y^2 = 4$
$4y^2 = 4$
$y^2 = 1$
Отсюда $y=1$ или $y=-1$.
Если $y=1$, то $x=y=1$. Решение: $(1, 1)$.
Если $y=-1$, то $x=y=-1$. Решение: $(-1, -1)$.
Случай 2: $x=-y$.
Подставим $x=-y$ в первое исходное уравнение:
$3(-y)^2 + 2(-y)y - y^2 = 4$
$3y^2 - 2y^2 - y^2 = 4$
$0 = 4$
Это неверное равенство, значит, в этом случае решений нет.
Проверим найденные решения $(1, 1)$ и $(-1, -1)$ подстановкой во второе исходное уравнение $x^2 - 2xy - 3y^2 = -4$.
Для $(1, 1)$: $1^2 - 2(1)(1) - 3(1)^2 = 1 - 2 - 3 = -4$. Верно.
Для $(-1, -1)$: $(-1)^2 - 2(-1)(-1) - 3(-1)^2 = 1 - 2 - 3 = -4$. Верно.
Ответ: $(1, 1)$, $(-1, -1)$.
Другие задания:
Помогло решение? Оставьте отзыв в комментариях ниже.
Присоединяйтесь к Телеграм-группе @top_gdz
ПрисоединитьсяМы подготовили для вас ответ c подробным объяснением домашего задания по алгебре за 9 класс, для упражнения номер 91 расположенного на странице 32 к учебнику 2019 года издания для учащихся школ и гимназий.
Теперь на нашем сайте ГДЗ.ТОП вы всегда легко и бесплатно найдёте условие с правильным ответом на вопрос «Как решить ДЗ» и «Как сделать» задание по алгебре к упражнению №91 (с. 32), авторов: Солтан (Генадий Николаевич), Солтан (Алла Евгеньевна), Жумадилова (Аманбала Жумадиловна), учебного пособия издательства Кокшетау.